کوپلر کالیبراسیون فشار متقابل با مشخصات دقیق مواد هوای مرطوب
معرفی
هنگامی که میکروفون های اندازه گیری با کیفیت بالا کالیبره می شوند، از روش کالیبراسیون متقابل فشار استفاده می شود. در طول کالیبراسیون، دو میکروفون در هر انتهای یک حفره استوانه ای بسته به هم متصل می شوند. برای روش کالیبراسیون، درک میدان صوتی در داخل چنین حفره ای، از جمله تمام اثرات صوتی ترموویسکوز، به عنوان مثال، لایه های مرزی آکوستیک در فرکانس های بالاتر و انتقال به رفتار همدما در فرکانس های پایین، مهم است.
این مدل یک مدل جفتکننده کالیبراسیون ساده را تنظیم میکند و ملاحظات مهم را هنگام انجام یک شبیهسازی ارزش مطلق با دقت بالا مورد بحث قرار میدهد. نتایج مدل شامل امپدانس انتقال آکوستیک مورد استفاده برای کالیبراسیون متقابل و فشار در کوپلر است. نتایج با پیش بینی های تحلیلی مقایسه می شود.
این مدل همچنین شامل برآورد دقیق خواص مواد با استفاده از عملکرد ترمودینامیک در COMSOL Multiphysics است. این اجازه می دهد تا یک ماده هوای مرطوب را تنظیم کنید که به فشار محیط، دما و رطوبت نسبی بستگی دارد. این قابلیت با ماژول خواص مایع و گاز در دسترس است. همچنین میتوان این مدل را با استفاده از مواد هوای پیشفرض موجود در Material Library تنظیم کرد، اما این نشاندهنده هوای خشک است.

شکل 1: طرحی از یک کوپلر کالیبراسیون فشار متقابل معمولی با دو میکروفون. سیستم مختصات rz استوانه ای استفاده شده در مدل نیز نشان داده شده است و همچنین مرزهای منبع و گیرنده نیز مشخص شده است.
تعریف مدل
به منظور کالیبره کردن میکروفن ها، یک روش رایج مورد استفاده، رویکرد کالیبراسیون متقابل است. این روش متکی بر استفاده از میکروفون ها به عنوان منبع و گیرنده است (آنها متقابل هستند) در یک تنظیم جفت شده به خوبی توضیح داده شده (رجوع کنید به 1 و 2 مراجعه کنید ). تنظیمات متشکل از دو میکروفون و یک ولوم کوپلر، در شکل 1 ترسیم شده است . کوپلر دارای طول L و شعاع a است . هر دو پارامترهایی هستند که میتوانند در مدل COMSOL برای تناسب با ابعاد کوپلرهای استاندارد مختلف تغییر کنند. یک نمایش متقارن محوری دوبعدی در مدل COMSOL استفاده شده است.
نسبت بین جریان ورودی I و ولتاژ خروجی V ، امپدانس انتقال الکتریکی Z e است (این کمیت اندازهگیری میشود) . امپدانس انتقال صوتی Z a کوپلر، نسبت بین فشار متوسط در مرز گیرنده p av ,r و سرعت حجم در مرز منبع Qs است . حاصلضرب حساسیت میکروفون M میکروفون A و میکروفون B به صورت داده شده است
استفاده از سه میکروفون (A، B و C)، در تمام ترکیبات منبع و گیرنده، منجر به یک سیستم سه معادله با سه حساسیت به عنوان مجهول می شود. این سیستم برای تولید حساسیت های میکروفون کالیبره شده M A ، M B و M C حل شده است . در این روش، فرض بر این است که امپدانس انتقال صوتی Z a حجم کوپلر مشخص است. برای دستیابی به کالیبراسیون با دقت بالا، امپدانس انتقال صوتی باید برای یک فرکانس بزرگ به خوبی تعریف شود. خواص مواد هوا نیز باید به خوبی توضیح داده شود.
روش کالیبراسیون، امپدانس انتقال صوتی، و خواص مواد توسط استاندارد بین المللی، IEC 61094-2:2009، Ref. 3 . به عنوان جایگزینی برای استاندارد IEC، میتوانید امپدانس انتقال آکوستیک را با جزئیات کامل با استفاده از رابط فیزیک Thermoviscous Acoustics، Frequency Domain مدلسازی کنید. مشخصات دقیق مواد هوای مرطوب را می توان با استفاده از ترمودینامیک محاسبه کردویژگی. این یک امپدانس انتقال آکوستیک ایجاد می کند که در همه فرکانس ها صحیح است. شبیهسازی تنها آکوستیک خطی را فرض میکند، در حالی که تمام اثرات ترموویسکوز را با جزئیات مدلسازی میکند. یعنی دینامیک لایههای مرزی گرمایی و چسبناک و همچنین انتقال پیچیده از رفتار آدیاباتیک به همدما برای کاهش فرکانسها. در محدوده جفتکنندههای بزرگ و فرکانسهای بالا، رفتار انتشار موج صحیح نیز مشاهده میشود.
امپدانس انتقال آکوستیک در این مدل محاسبه شده و با سه مدل تحلیلی مختلف مقایسه شده است که در زیر توضیح داده شده است.
حد همدما، فرکانس بسیار پایین
در فرکانس های بسیار پایین، سیستم به صورت همدما رفتار می کند (لایه های مرزی حرارتی کل حجم کوپلر را پر می کنند). تغییر فشار d p ، در حجم V ، برای تغییر حجم معین d V ، از تعریف تراکم پذیری همدما ناشی می شود.

متغیرهای این عبارت در زیر Definitions>Variables – Isothermal Limit (فرکانس بسیار کم) قرار دارند .
خط انتقال، فرکانس بالا
در حد فرکانس بالا، بدون در نظر گرفتن اثرات لایه مرزی بر روی مرزهای منبع و گیرنده، کوپلر را می توان با یک خط انتقال تعریف شده توسط ماتریس انتقال T تقریب زد . این مدل تلفات لایه مرزی در دیواره های جفت را از طریق یک امپدانس خاص مشخصه با ارزش پیچیده و ثابت انتشار در نظر می گیرد. جزئیات و عبارتی برای ماتریس انتقال در آموزش Wax Guard Acoustics: Transfer Matrix Computation توضیح داده شده است . امپدانس انتقال آکوستیک (زمانی که گیرنده صدا سخت است) به سادگی به صورت Za = 1/ T 21 تعریف می شود . و پذیرش مستقیماً توسط T 21 داده می شود .
متغیرهای این مدل تحلیلی در زیر Definitions>Transmission Line (فرکانس بالا) قرار دارند .
مدل توسط وینسنت و دیگران، فرکانس پایین
مدلهای تحلیلی پیشرفتهتری برای محاسبه امپدانس انتقال یک سیلندر، شامل تمام اثرات چسبناک و حرارتی وجود دارد. در کار اخیر وینسنت و دیگران (رجوع کنید به مرجع 5 )، کار گربر (نگاه کنید به مرجع 4 ) گسترش یافته است تا در محدوده فرکانس کامل پایین (از متوسط تا فرکانسهای بسیار پایین و حد همدما) معتبر باشد. ). فشار در کوپلر و امپدانس انتقال توسط معادلات 24، 26، 27 و 30 در Ref آورده شده است. 5 . توجه داشته باشید که ورودی های منبع و گیرنده 0 هستند (منبع عالی و دیوار سخت صدا).
یکی از عبارات تحلیلی شامل مجموع بی نهایت است. در COMSOL، جمع با استفاده از عملگر sum() با 10 عبارت در مجموع پیاده سازی می شود. مدل تحلیلی همچنین شامل صفرهای تابع بسل است، 10 مورد اول استفاده شده در تابع درون یابی lam_n() که در زیر تعریف شده است جدول بندی شده است .
متغیرهای این مدل تحلیلی در زیر Definitions>Vincent et al قرار دارند. (فرکانس پایین) .
نتایج و بحث
ریشه میانگین سرعت مربع (RMS) در کوپلر و نوسانات دما، برای چهار فرکانس ارزیابی 0.1 هرتز، 1 هرتز، 10 هرتز و 100 هرتز، به ترتیب در شکل 2 و شکل 3 نشان داده شده است . وابستگی لایه های مرزی چسبناک و حرارتی به فرکانس و وسعت به هندسه، به صورت گرافیکی قابل مشاهده است. در مدل، کوپلر دارای طول L 5 میلی متر و شعاع a 4.5 میلی متر است.
قسمت واقعی و فرضی فشار در کوپلر به ترتیب در شکل 4 و شکل 5 نشان داده شده است . نمودارها همبستگی مورد انتظار بین مدل COMSOL و مدل های تحلیلی را نشان می دهد. حد همدما نشان دهنده رفتار مجانبی برای فرکانس رفتن به 0 است. مدل خط انتقال بهترین توافق را در حد فرکانس بالا نشان می دهد، بدون اینکه تطابق کاملی داشته باشد. مدل وینسنت و دیگران به خوبی با مدل COMSOL (در 0.01 دسی بل) در قسمت واقعی زیر 150 هرتز و برای قسمت خیالی زیر حدود 5 هرتز موافق است.
بخش واقعی و خیالی امپدانس انتقال صوتی Z a ، به عنوان تابعی از فرکانس در شکل 6 ترسیم شده است . نمودار دوباره همبستگی خوبی را بین مدل وینسنت و سایر مدل ها برای فرکانس های زیر 100 هرتز نشان می دهد. داشتن مقادیر ثابت و صحیح امپدانس انتقال آکوستیک برای کالیبراسیون با وفاداری بالا ضروری است.
در این آموزش از مواد هوای مرطوب تولید شده با استفاده از گزینه سیستم از پیش تعریف شده برای هوای مرطوب از ویژگی ترمودینامیک استفاده شده است. این قابلیت به ماژول خواص مایع و گاز نیاز دارد. هنگامی که مخلوط با استفاده از مراحل جادوگر تنظیم شد، یک ماده هوای مرطوب با استفاده از گزینه Generate Material تولید می شود . توجه داشته باشید که محتوای گونههای مختلف (کسرهای مول) که هوا را تشکیل میدهند را میتوان در جدول خصوصیات محلی داخل مواد Materials>Gas: Moist Air 1 تغییر داد . این اجازه می دهد تا هر نوع هوا را مدل کنید.
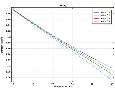
به عنوان مثال، وابستگی به دمای محیط چگالی، ویسکوزیته دینامیکی، هدایت حرارتی و سرعت صوت در شکل 7 نشان داده شده است . نمودارها مقادیر چهار مقدار رطوبت نسبی را نشان می دهد. این وابستگی به طور خودکار در نتایج مدل COMSOL به عنوان رطوبت نسبی
، یک ورودی مدل در هنگام استفاده از مواد هوای مرطوب گنجانده می شود.

شکل 2: نوسانات سرعت آکوستیک (RMS) در حجم کوپلر در 0.1، 1، 10 و 100 هرتز.

شکل 3: نوسانات دمای آکوستیک در کوپلر در 0.1، 1، 10 و 100 هرتز.

شکل 4: بخش واقعی فشار در کوپلر با استفاده از مدل COMSOL و سه تقریب تحلیلی ارزیابی شده است.

شکل 5: بخش فرضی فشار در کوپلر با استفاده از مدل COMSOL و سه تقریب تحلیلی ارزیابی شده است.

شکل 6: امپدانس انتقال آکوستیک برای حجم کوپلر ارزیابی شده با استفاده از مدل COMSOL و همچنین مدل های فرکانس پایین و بالا.

شکل 7: خواص مواد مختلف هوای مرطوب (چگالی، ویسکوزیته دینامیکی، هدایت حرارتی و سرعت صوت) که به عنوان تابعی از دما (از 0 تا 50 درجه سانتیگراد) برای چهار مقدار مختلف رطوبت نسبی (0.0، 0.2، 0.4) ارزیابی شده است. و 0.8).
نکاتی درباره پیاده سازی COMSOL
تلفات انبوه
هنگام مدلسازی سیالات با رابط صوتی ترموویسکوز، میرایی و اتلاف ناشی از لایههای مرزی حرارتی و ویسکوز با جزئیات کامل گنجانده شده است. در حجم / حجم سیال (دور از مرزها) مدل تضعیف را نشان می دهد که مربوط به تضعیف ترموویسکوز کلاسیک α tv است . این تضعیف عمده صحیح نیست زیرا شامل تلفات ناشی از آرامش نمی شود. این تلفات که به عنوان مثال هنگام استفاده از اتمسفر گرفته می شودمدل تضعیف در آکوستیک فشار در بیشتر کاربردهای میکروآکوستیک تلفات لایه مرزی مرتبهای بالاتر از تلفات حجیم است، بنابراین مهم نیست. در کاربرد کوپلر کنونی، تلفات عمده ممکن است در فرکانس های بسیار بالا نقش کوچکی را ایفا کنند. در این مورد، تلفات حجیم واقعی ممکن است با تعریف ویسکوزیته حجیم وابسته به فرکانس μB = μB ( f ) لحاظ شود.
که در آن ω = 2 π f و α تضعیف واقعی جو است. این تلفات حجمی ثابتی را معرفی می کند که شامل فرآیندهای آرام سازی و مکانیسم های دیگر موجود در عبارت α است .
تغییر شکل غشا
در این مدل، انتشار موج مسطح فرض شده است. برای جفتکنندههای بزرگتر، اثرات تغییر شکل واقعی غشاء میتواند در فرکانسهای بالا نقش داشته باشد. در این مورد، غشاء را می توان در مدل گنجاند. به عنوان مثال به آموزش میکروفون خازنی Brüel & Kjær 4134 مراجعه کنید .
مش
مش به کار رفته در این مدل از دو شبکه لایه مرزی استفاده می کند. اولی با حل ضخامت لایه مرزی حرارتی و چسبناک (همچنین به عنوان عمق نفوذ شناخته می شود) فیزیک را حل می کند. دومی یک لایه کوچک کوچک اضافه می کند که برای حل تکینگی های عددی در گوشه های هندسه استفاده می شود.
منابع
1. آزمایشگاه اولیه دانمارکی برنامه محاسبه کالیبراسیون متقابل میکروفون آکوستیک برای کالیبراسیون متقابل، بررسی فنی شماره 1-1998، Brüel & Kjær، دانمارک.
2. E. Frederiksen، “مترولوژی آکوستیک – مروری بر روش های کالیبراسیون و عدم قطعیت آنها”، Int. جی مترول. کیفیت مهندس ، جلد 4، صص 97-107، 2013.
3. استاندارد بین المللی، الکتروآکوستیک – میکروفون های اندازه گیری – قسمت 2: روش اولیه برای کالیبراسیون فشار میکروفون های استاندارد آزمایشگاهی با تکنیک متقابل ، IEC 61094-2:2009.
4. H. Gerber، “ویژگی های صوتی اتاق های پر شده از Flui.Filled در فرکانس های مادون صوت در غیاب همرفت”، J. Acoust. Soc. صبح. ، جلد 36، ص. 1427، 1964.
5. P. Vincent, D. Rodrigues, F. Larsonnier, C. Guianvarc’h, and S. Durand, “پذیرش انتقال صوتی حفره های استوانه ای در محدوده فرکانس فروصوت” Metrologia ، جلد. 56، ص. 015003، 2019.
مسیر کتابخانه برنامه: ماژول_آکوستیک/آموزش،_آکوستیک_ترموویسکوز/ کوپلر_کالیبراسیون_فشار_مقابله
دستورالعمل مدلسازی
از منوی File ، New را انتخاب کنید .
جدید
در پنجره جدید ، روی
Model Wizard کلیک کنید .
مدل جادوگر
1 | در پنجره Model Wizard ، روی |
2 | در درخت Select Physics ، Acoustics>Thermoviscous Acoustics>Thermoviscous Acoustics، Frequency Domain (ta) را انتخاب کنید . |
3 | روی افزودن کلیک کنید . |
4 |
5 | در درخت انتخاب مطالعه ، General Studies>Frequency Domain را انتخاب کنید . |
6 |
تعاریف جهانی
پارامترها – فیزیک
1 | در پنجره Model Builder ، در قسمت Global Definitions روی Parameters 1 کلیک کنید . |
2 | در پنجره تنظیمات برای پارامترها ، پارامترها – فیزیک را در قسمت متن برچسب تایپ کنید . |
3 | قسمت Parameters را پیدا کنید . |
4 | به پوشه Application Libraries مدل بروید و روی فایل press_reciprocity_calibration_coupler_parameters_physics.txt دوبار کلیک کنید . |
پارامترها – هندسه
1 | در نوار ابزار Home ، روی |
2 | در پنجره تنظیمات برای پارامترها ، پارامترها – هندسه را در قسمت متن برچسب تایپ کنید . |
3 | قسمت Parameters را پیدا کنید . |
4 | به پوشه Application Libraries مدل بروید و روی فایل press_reciprocity_calibration_coupler_parameters_geometry.txt دوبار کلیک کنید . |
هندسه 1
مستطیل 1 (r1)
1 | در نوار ابزار Geometry ، روی |
2 | در پنجره تنظیمات برای Rectangle ، بخش Size and Shape را پیدا کنید . |
3 | در قسمت متن Width ، a را تایپ کنید . |
4 | در قسمت متن ارتفاع ، L را تایپ کنید . |
5 |
مواد را اضافه کنید
1 | در نوار ابزار Home ، روی |
2 | به پنجره Add Material بروید . |
3 | در درخت، Built-in>Air را انتخاب کنید . |
4 | روی Add to Component در نوار ابزار پنجره کلیک کنید . |
5 | در نوار ابزار Home ، روی |
مواد
هوا (خشک)
1 | در پنجره تنظیمات برای مواد ، در قسمت نوشتار برچسب، Air (dry) را تایپ کنید . |
شما فقط مواد هوای پیش فرض را از Material Library اضافه کردید . این مدلی از هوای خشک است که در آن خواص خاصی مانند چگالی و سرعت صوت بر اساس قانون گاز ایده آل است. یک ماده هوای مرطوب دقیق را می توان به راحتی با استفاده از یک سیستم از پیش تعریف شده تعریف شده توسط ویژگی ترمودینامیک تنظیم کرد .
تنظیم مواد هوای مرطوب به ماژول خواص مایع و گاز نیاز دارد. اگر آن محصول را ندارید، می توانید مراحل بعدی را نادیده بگیرید و به جای آن از مواد هوا (خشک) استفاده کنید .
تعاریف جهانی
در نوار ابزار فیزیک ، روی
ترمودینامیک کلیک کنید و سیستم از پیش تعریف شده را انتخاب کنید .
SYSTEM را انتخاب کنید
1 | به پنجره Select System بروید . |
2 | از لیست سیستم ترمودینامیکی از پیش تعریف شده ، هوای مرطوب را انتخاب کنید . |
3 | در نوار ابزار پنجره روی Next کلیک کنید . |
گونه ها را انتخاب کنید
1 | به پنجره Select Species بروید . |
2 | در نوار ابزار پنجره روی Next کلیک کنید . |
مدل ترمودینامیکی را انتخاب کنید
1 | به پنجره Select Thermodynamic Model بروید . |
2 | از لیست مدل فاز گاز ، پنگ رابینسون را انتخاب کنید . |
انتخاب مدل فاز گاز به شرایط بیرونی مانند فشار و دمای محیط بستگی دارد. مدلهای مختلف در راهنمای کاربر ماژول ویژگیهای مایع و گاز در بخش مدلهای ترمودینامیک توضیح داده شدهاند.
3 | روی Finish در نوار ابزار پنجره کلیک کنید . |
تعاریف جهانی
هوای مرطوب 1 (pp1)
در پنجره Model Builder ، در قسمت Global Definitions> Thermodynamics روی Moist Air 1 (pp1) کلیک راست کرده و Generate Material را انتخاب کنید .
گونه ها را انتخاب کنید
1 | به پنجره Select Species بروید . |
2 | در نوار ابزار پنجره روی Next کلیک کنید . |
PROPERTIES را انتخاب کنید
1 | به پنجره Select Properties بروید . |
2 | در نوار ابزار پنجره روی Next کلیک کنید . |
متریال را تعریف کنید
1 | به پنجره Define Material بروید . |
2 | روی Finish در نوار ابزار پنجره کلیک کنید . |
توجه داشته باشید که ویسکوزیته حجیم بر اساس ویسکوزیته دینامیکی تعریف می شود. این رابطه مانند مواد هوای پیش فرض (خشک) است. مقادیر ویسکوزیته توده به طور تجربی با استفاده از تکنیک های جذب فرکانس بالا به دست می آیند. جزئیات بیشتر را میتوانید در بخش ویژگیهای صوتی سیالات راهنمای کاربر ماژول آکوستیک بیابید .
از مواد هوای مرطوب برای مدل استفاده کنید.
مواد
گاز: هوای مرطوب 1 (pp1mat1)
1 | در پنجره Model Builder ، در قسمت Component 1 (comp1)>Materials روی Gas: Moist Air 1 (pp1mat1) کلیک کنید . |
2 | فقط دامنه 1 را انتخاب کنید. |
تعاریف
متغیرها – خواص مواد
1 | در پنجره Model Builder ، گره Component 1 (comp1)>Definitions را گسترش دهید . |
2 | روی Definitions کلیک راست کرده و Variables را انتخاب کنید . |
3 | در پنجره تنظیمات برای متغیرها ، متغیرها – خواص مواد را در قسمت نوشتار برچسب تایپ کنید . |
4 | قسمت Variables را پیدا کنید . |
5 | به پوشه Application Libraries مدل بروید و روی فایل press_reciprocity_calibration_coupler_variables_material.txt دوبار کلیک کنید . |
متغیرها – حد همدما (فرکانس بسیار پایین)
1 | روی Definitions کلیک راست کرده و Variables را انتخاب کنید . |
2 | در پنجره تنظیمات برای متغیرها ، متغیرها – حد همدما (فرکانس بسیار کم) را در قسمت نوشتار برچسب تایپ کنید . |
3 | قسمت Variables را پیدا کنید . |
4 | به پوشه Application Libraries مدل بروید و روی فایل press_reciprocity_calibration_coupler_variables_isothermal.txt دوبار کلیک کنید . |
متغیرها – خط انتقال (فرکانس بالا)
1 | روی Definitions کلیک راست کرده و Variables را انتخاب کنید . |
2 | در پنجره تنظیمات برای متغیرها ، متغیرها – خط انتقال (فرکانس بالا) را در قسمت نوشتار برچسب تایپ کنید . |
3 | قسمت Variables را پیدا کنید . |
4 | به پوشه Application Libraries مدل بروید و روی فایل press_reciprocity_calibration_coupler_variables_transmission.txt دوبار کلیک کنید . |
متغیرها – وینسنت و همکاران. (فرکانس پایین)
1 | روی Definitions کلیک راست کرده و Variables را انتخاب کنید . |
2 | در پنجره تنظیمات برای متغیرها ، Variables – Vincent et al. (فرکانس پایین) در قسمت Label text. |
3 | قسمت Variables را پیدا کنید . |
4 | به پوشه Application Libraries مدل بروید و روی فایل press_reciprocity_calibration_coupler_variables_vincent.txt دوبار کلیک کنید . |
ادغام 1 (در اول)
1 | در نوار ابزار تعاریف ، روی |
2 | در پنجره تنظیمات برای ادغام ، عبارت intop_s را در قسمت متن نام اپراتور تایپ کنید . |
3 | بخش انتخاب منبع را پیدا کنید . از لیست سطح نهاد هندسی ، Boundary را انتخاب کنید . |
4 | فقط مرز 2 را انتخاب کنید. |
ادغام 2 (intop2)
1 | در نوار ابزار تعاریف ، روی |
2 | در پنجره تنظیمات برای ادغام ، عبارت intop_r را در قسمت متن نام اپراتور تایپ کنید . |
3 | بخش انتخاب منبع را پیدا کنید . از لیست سطح نهاد هندسی ، Boundary را انتخاب کنید . |
4 | فقط مرز 3 را انتخاب کنید. |
ادغام 3 (intop3)
1 | در نوار ابزار تعاریف ، روی |
2 | در پنجره تنظیمات برای ادغام ، عبارت intop_pnt را در قسمت متنی نام اپراتور تایپ کنید . |
3 | بخش انتخاب منبع را پیدا کنید . از لیست سطح نهاد هندسی ، نقطه را انتخاب کنید . |
4 | فقط نقطه 4 را انتخاب کنید. |
5 | قسمت Advanced را پیدا کنید . چک باکس Compute integral in revolved geometry را پاک کنید . |
درون یابی 1 (int1)
1 | در نوار ابزار تعاریف ، روی |
2 | در پنجره تنظیمات برای درون یابی ، قسمت Definition را پیدا کنید . |
3 | از فهرست منبع داده ، فایل را انتخاب کنید . |
4 |
5 | به پوشه Application Libraries مدل بروید و روی فایل press_reciprocity_calibration_coupler_bessel_zeros.txt دوبار کلیک کنید . |
6 |
7 | در قسمت متن نام تابع ، lam_n را تایپ کنید . |
8 | بخش Interpolation و Extrapolation را پیدا کنید . از لیست Interpolation ، نزدیکترین همسایه را انتخاب کنید . |
9 | قسمت Units را پیدا کنید . در جدول Argument تنظیمات زیر را وارد کنید: |
بحث و جدل | واحد |
تی | 1 |
10 | در جدول Function تنظیمات زیر را وارد کنید: |
تابع | واحد |
work_n | 1 |
11 |
12 | در کادر محاورهای Show More Options ، در درخت، کادر را برای گره Physics>Advanced Physics Options انتخاب کنید . |
13 | روی OK کلیک کنید . |
آکوستیک ترموویسکوز، دامنه فرکانس (TA)
آکوستیک ترموویسکوز مدل 1
1 | در پنجره Model Builder ، در قسمت Component 1 (comp1)> Thermoviscous Acoustics، Frequency Domain (ta) روی Thermoviscous Acoustics Model 1 کلیک کنید . |
2 | در پنجره تنظیمات برای مدل آکوستیک ترموویسکوز ، بخش ورودی مدل را پیدا کنید . |
3 | در قسمت متن φ w ، relH را تایپ کنید . |
از آنجا که رطوبت نسبی به عنوان ورودی مدل برای مواد هوای مرطوب تنظیم می شود ، به طور خودکار به عنوان ورودی در فیزیک ظاهر می شود.
سرعت 1
1 | در نوار ابزار Physics ، روی |
2 | فقط مرز 2 را انتخاب کنید. |
3 | در پنجره تنظیمات برای Velocity ، بخش Velocity را پیدا کنید . |
4 | کادر بررسی شده در جهت r را انتخاب کنید . |
5 | تیک Prescribed in z direction را انتخاب کنید . |
6 | در قسمت متنی u 0 z ، ta.iomega*dn را تایپ کنید . |
7 | برای گسترش بخش Excluded Points کلیک کنید . فقط نقطه 3 را انتخاب کنید. |
همدما 1
1 | در نوار ابزار Physics ، روی |
2 | فقط مرز 2 را انتخاب کنید. |
در این مدل مش به صورت دستی تنظیم می شود. با افزودن مستقیم جزء مش مورد نظر ادامه دهید.
مش 1
مثلثی رایگان 1
در نوار ابزار Mesh ، روی
Free Triangular کلیک کنید .
اندازه
1 | در پنجره Model Builder ، روی Size کلیک کنید . |
2 | در پنجره تنظیمات برای اندازه ، قسمت اندازه عنصر را پیدا کنید . |
3 | روی دکمه Custom کلیک کنید . |
4 | قسمت پارامترهای اندازه عنصر را پیدا کنید . در قسمت متن حداکثر اندازه عنصر ، a/10 را تایپ کنید . |
5 | در قسمت متنی Minimum size element ، dvisc0 را تایپ کنید . |
سایز 1
1 | در پنجره Model Builder ، روی Free Triangular 1 کلیک راست کرده و Size را انتخاب کنید . |
2 | در پنجره تنظیمات برای اندازه ، قسمت انتخاب موجودیت هندسی را پیدا کنید . |
3 | از لیست سطح نهاد هندسی ، Boundary را انتخاب کنید . |
4 | فقط مرزهای 2-4 را انتخاب کنید. |
5 | بخش اندازه عنصر را پیدا کنید . روی دکمه Custom کلیک کنید . |
6 | قسمت پارامترهای اندازه عنصر را پیدا کنید . |
7 | کادر انتخاب حداکثر اندازه عنصر را انتخاب کنید . در قسمت متن مرتبط، dvisc0 را تایپ کنید . |
لایه های مرزی 1
1 | در نوار ابزار Mesh ، روی |
2 | در پنجره تنظیمات برای لایه های مرزی ، برای گسترش بخش Transition کلیک کنید . |
3 | کادر بررسی Smooth transition to interior mesh را پاک کنید . |
ویژگی های لایه مرزی
1 | در پنجره Model Builder ، روی Boundary Layer Properties کلیک کنید . |
2 | فقط مرز 4 را انتخاب کنید. |
3 | در پنجره تنظیمات برای ویژگی های لایه مرزی ، قسمت لایه ها را پیدا کنید . |
4 | از لیست مشخصات ضخامت ، اولین لایه را انتخاب کنید . |
5 | در قسمت Thickness text 0.2*dvisc را تایپ کنید . |
لایه های مرزی 2
1 | در نوار ابزار Mesh ، روی |
2 | در پنجره تنظیمات برای لایه های مرزی ، بخش Transition را پیدا کنید . |
3 | کادر بررسی Smooth transition to interior mesh را پاک کنید . |
ویژگی های لایه مرزی
1 | در پنجره Model Builder ، روی Boundary Layer Properties کلیک کنید . |
2 | فقط مرزهای 2 و 3 را انتخاب کنید. |
3 | در پنجره تنظیمات برای ویژگی های لایه مرزی ، قسمت لایه ها را پیدا کنید . |
4 | از لیست مشخصات ضخامت ، اولین لایه را انتخاب کنید . |
5 | در قسمت Thickness text 0.2*dvisc را تایپ کنید . |
لایه های مرزی 3
1 | در نوار ابزار Mesh ، روی |
2 | در پنجره تنظیمات برای لایه های مرزی ، بخش Transition را پیدا کنید . |
3 | کادر بررسی Smooth transition to interior mesh را پاک کنید . |
ویژگی های لایه مرزی
1 | در پنجره Model Builder ، روی Boundary Layer Properties کلیک کنید . |
2 | فقط مرز 4 را انتخاب کنید. |
3 | در پنجره تنظیمات برای ویژگی های لایه مرزی ، قسمت لایه ها را پیدا کنید . |
4 | در قسمت متنی Number of layers عدد 1 را تایپ کنید . |
5 | از لیست مشخصات ضخامت ، اولین لایه را انتخاب کنید . |
6 | در قسمت متن Thickness ، 2e-6 را تایپ کنید . |
لایه های مرزی 4
1 | در نوار ابزار Mesh ، روی |
2 | در پنجره تنظیمات برای لایه های مرزی ، بخش Transition را پیدا کنید . |
3 | کادر بررسی Smooth transition to interior mesh را پاک کنید . |
ویژگی های لایه مرزی
1 | در پنجره Model Builder ، روی Boundary Layer Properties کلیک کنید . |
2 | فقط مرزهای 2 و 3 را انتخاب کنید. |
3 | در پنجره تنظیمات برای ویژگی های لایه مرزی ، قسمت لایه ها را پیدا کنید . |
4 | در قسمت متنی Number of layers عدد 1 را تایپ کنید . |
5 | از لیست مشخصات ضخامت ، اولین لایه را انتخاب کنید . |
6 | در قسمت متن Thickness ، 2e-6 را تایپ کنید . |
7 |
مطالعه 1
مرحله 1: دامنه فرکانس
1 | در پنجره Model Builder ، در بخش مطالعه 1 ، روی مرحله 1: دامنه فرکانس کلیک کنید . |
2 | در پنجره تنظیمات دامنه فرکانس ، بخش تنظیمات مطالعه را پیدا کنید . |
3 |
4 | در کادر محاورهای Range ، فرکانسهای ترجیحی ISO را از لیست روش ورود انتخاب کنید . |
5 | در قسمت متن فرکانس شروع ، 0.05 را تایپ کنید . |
6 | در قسمت متنی توقف فرکانس ، 10000 را تایپ کنید . |
7 | از لیست فاصله ، 1/3 اکتاو را انتخاب کنید . |
8 | روی Replace کلیک کنید . |
9 | در نوار ابزار صفحه اصلی ، |
نتایج
فشار صوتی (ta)

سرعت صوتی RMS (ta)
1 | در پنجره Model Builder ، در بخش Results روی Acoustic Velocity (ta) کلیک کنید . |
2 | در پنجره تنظیمات برای گروه دوبعدی Plot ، RMS Acoustic Velocity (ta) را در قسمت نوشتار Label تایپ کنید. |
سطح
1 | در پنجره Model Builder ، گره RMS Acoustic Velocity (ta) را گسترش دهید ، سپس روی Surface کلیک کنید . |
2 | در پنجره تنظیمات برای Surface ، بخش Expression را پیدا کنید . |
3 | در قسمت متن Expression ، ta.v_rms را تایپ کنید . |
4 | در نوار ابزار RMS Acoustic Velocity (ta) ، روی ![]() |
تغییرات دما (ta)

فشار در کوپلر: واقعی (p)
1 | در نوار ابزار صفحه اصلی ، روی |
2 | در پنجره تنظیمات برای گروه طرح 1 بعدی ، فشار در جفت: real(p) را در قسمت نوشتار Label تایپ کنید. |
3 | برای گسترش بخش عنوان کلیک کنید . از لیست نوع عنوان ، Label را انتخاب کنید . |
4 | قسمت Plot Settings را پیدا کنید . |
5 | چک باکس x-axis label را انتخاب کنید . در قسمت متن مرتبط، f (Hz) را تایپ کنید . |
6 | کادر بررسی برچسب محور y را انتخاب کنید . در قسمت متن مربوطه، Pressure (Pa) را تایپ کنید . |
7 | قسمت Legend را پیدا کنید . از لیست موقعیت ، سمت چپ بالا را انتخاب کنید . |
نمودار نقطه 1
1 | روی Pressure in Coupler: real(p) کلیک راست کرده و Point Graph را انتخاب کنید . |
2 | فقط نقطه 2 را انتخاب کنید. |
3 | در پنجره تنظیمات نمودار نقطهای ، بخش y-Axis Data را پیدا کنید . |
4 | در قسمت Expression text real(ta.p_t) را تایپ کنید . |
5 | برای گسترش بخش Legends کلیک کنید . تیک Show legends را انتخاب کنید . |
6 | از فهرست Legends ، Manual را انتخاب کنید . |
7 | در جدول تنظیمات زیر را وارد کنید: |
افسانه ها |
مدل COMSOL |
جهانی 1
1 | در پنجره Model Builder ، روی Pressure in Coupler: real(p) کلیک راست کرده و Global را انتخاب کنید . |
2 | در پنجره تنظیمات برای جهانی ، بخش y-Axis Data را پیدا کنید . |
3 | در جدول تنظیمات زیر را وارد کنید: |
اصطلاح | واحد | شرح |
واقعی (dpT) | پا | حد همدما (فرکانس بسیار پایین) |
واقعی (i*omega*dV/Y_tl) | پا | خط انتقال (فرکانس بالا) |
واقعی (p_golf) | پا | وینسنت و همکاران (فرکانس پایین) |
4 | در نوار ابزار Pressure in Coupler: real(p) ، روی |
5 |
6 | ![]() |
فشار در کوپلر: image(p)
1 | روی Pressure در Coupler: real(p) کلیک راست کرده و Duplicate را انتخاب کنید . |
2 | در پنجره تنظیمات برای گروه طرح 1 بعدی ، فشار را در جفت تایپ کنید: imag(p) در قسمت نوشتار برچسب . |
3 | قسمت Legend را پیدا کنید . از لیست موقعیت ، سمت راست بالا را انتخاب کنید . |
نمودار نقطه 1
1 | در پنجره Model Builder ، گره Pressure in Coupler: imag(p) را گسترش دهید ، سپس روی Point Graph 1 کلیک کنید . |
2 | در پنجره تنظیمات نمودار نقطهای ، بخش y-Axis Data را پیدا کنید . |
3 | در قسمت Expression text imag(ta.p_t) را تایپ کنید . |
جهانی 1
1 | در پنجره Model Builder ، روی Global 1 کلیک کنید . |
2 | در پنجره تنظیمات برای جهانی ، بخش y-Axis Data را پیدا کنید . |
3 | در جدول تنظیمات زیر را وارد کنید: |
اصطلاح | واحد | شرح |
تصویر (dpT) | پا | حد همدما (فرکانس بسیار پایین) |
تصویر (i*omega*dV/Y_tl) | پا | خط انتقال (فرکانس بالا) |
تصویر (p_galf) | پا | وینسنت و همکاران (فرکانس پایین) |
4 | در نوار ابزار Pressure in Coupler: imag(p) ، روی |
5 | ![]() |
امپدانس انتقال آکوستیک: واقعی (Z) و تصویر (Z)
1 | در نوار ابزار صفحه اصلی ، روی |
2 | در پنجره تنظیمات برای گروه طرح 1 بعدی ، امپدانس انتقال صوتی: real(Z) و imag(Z) را در قسمت نوشتار Label تایپ کنید . |
3 | قسمت عنوان را پیدا کنید . از لیست نوع عنوان ، Label را انتخاب کنید . |
4 | قسمت Plot Settings را پیدا کنید . |
5 | چک باکس x-axis label را انتخاب کنید . در قسمت متن مرتبط، f (Hz) را تایپ کنید . |
6 | کادر بررسی برچسب محور y را انتخاب کنید . در قسمت متن مرتبط، Z<sub>a,12</sub> (kg/(m<sup>4</sup>s)) را تایپ کنید . |
7 | قسمت Axis را پیدا کنید . کادر بررسی مقیاس گزارش محور x را انتخاب کنید . |
8 | کادر بررسی مقیاس گزارش محور y را انتخاب کنید . |
9 | قسمت Legend را پیدا کنید . از لیست موقعیت ، پایین سمت چپ را انتخاب کنید . |
جهانی 1
1 | روی Acoustic Transfer Impedance: real(Z) و imag(Z) کلیک راست کرده و Global را انتخاب کنید . |
2 | در پنجره تنظیمات برای جهانی ، بخش y-Axis Data را پیدا کنید . |
3 | در جدول تنظیمات زیر را وارد کنید: |
اصطلاح | واحد | شرح |
real((intop_s(ta.p_t)/S)/(ta.iomega*dn*S)) | کیلوگرم/(m^4*s) | real(Z)، مدل COMSOL |
-imag((intop_s(ta.p_t)/S)/(ta.iomega*dn*S)) | کیلوگرم/(m^4*s) | -imag(Z)، مدل COMSOL |
4 | برای گسترش بخش Coloring and Style کلیک کنید . از لیست Width ، 2 را انتخاب کنید . |
جهانی 2
1 | در پنجره Model Builder ، روی Acoustic Transfer Impedance: real(Z) و imag(Z) کلیک راست کرده و Global را انتخاب کنید . |
2 | در پنجره تنظیمات برای جهانی ، بخش y-Axis Data را پیدا کنید . |
3 | در جدول تنظیمات زیر را وارد کنید: |
اصطلاح | واحد | شرح |
واقعی (1/Y_tl) | کیلوگرم/(m^4*s) | واقعی (Z)، خط انتقال |
-imag(1/Y_tl) | کیلوگرم/(m^4*s) | -imag(Z)، خط انتقال |
4 | قسمت Coloring and Style را پیدا کنید . زیربخش Line style را پیدا کنید . از لیست Line ، Dashed را انتخاب کنید . |
5 | از لیست رنگ ، چرخه (بازنشانی) را انتخاب کنید . |
جهانی 3
1 | روی Acoustic Transfer Impedance: real(Z) و imag(Z) کلیک راست کرده و Global را انتخاب کنید . |
2 | در پنجره تنظیمات برای جهانی ، بخش y-Axis Data را پیدا کنید . |
3 | در جدول تنظیمات زیر را وارد کنید: |
اصطلاح | واحد | شرح |
واقعی (1/سال) | کیلوگرم/(m^4*s) | واقعی (Z)، وینسنت و همکاران. |
-imag (1/بله) | کیلوگرم/(m^4*s) | -image(Z)، وینسنت و همکاران. |
4 | قسمت Coloring and Style را پیدا کنید . زیربخش Line style را پیدا کنید . از لیست Line ، هیچکدام را انتخاب کنید . |
5 | از لیست رنگ ، چرخه (بازنشانی) را انتخاب کنید . |
6 | زیربخش نشانگرهای خط را پیدا کنید . از لیست نشانگر ، نقطه را انتخاب کنید . |
7 | از لیست موقعیت یابی ، Interpolated را انتخاب کنید . |
8 | در قسمت متن شماره ، 25 را تایپ کنید . |
9 | در نوار ابزار انتقال صوتی: real(Z) و imag(Z) ، روی ![]() |
سپس یک مجموعه داده شبکه ای ایجاد کنید که برای رسم خواص مواد به عنوان تابعی از دما برای چندین مقدار رطوبت نسبی استفاده می شود.
شبکه 1D 1
1 | در نوار ابزار نتایج ، روی |
2 | در پنجره تنظیمات برای Grid 1D ، قسمت پارامترها را پیدا کنید . |
3 | در قسمت متن نام ، Tg را تایپ کنید . |
4 | در قسمت حداقل متن، 273.15 را تایپ کنید . |
5 | در قسمت Maximum text 323.15 را تایپ کنید . |
تراکم
1 | در نوار ابزار نتایج ، روی |
2 | در پنجره تنظیمات برای گروه طرح 1 بعدی ، تراکم را در قسمت نوشتار برچسب تایپ کنید . |
3 | قسمت Data را پیدا کنید . از لیست Dataset ، Grid 1D 1 را انتخاب کنید . |
4 | از لیست انتخاب پارامتر (فرکانس) ، First را انتخاب کنید . |
5 | قسمت عنوان را پیدا کنید . از لیست نوع عنوان ، Label را انتخاب کنید . |
6 | قسمت Plot Settings را پیدا کنید . |
7 | چک باکس x-axis label را انتخاب کنید . در قسمت متن مرتبط، Temperature (<sup>o</sup>C) را تایپ کنید . |
8 | کادر بررسی برچسب محور y را انتخاب کنید . در قسمت متن مرتبط، تراکم (kg/m<sup>3</sup>) را تایپ کنید . |
نمودار خطی 1
1 | روی Density کلیک راست کرده و Line Graph را انتخاب کنید . |
2 | در پنجره تنظیمات برای نمودار خط ، بخش y-Axis Data را پیدا کنید . |
3 | در قسمت متن Expression ، subst(pp1mat1.def.rho,minput.T,Tg[K/m],minput.pA,p0,minput.phi,0) را تایپ کنید . |
4 | برای گسترش بخش Legends کلیک کنید . تیک Show legends را انتخاب کنید . |
5 | از فهرست Legends ، Manual را انتخاب کنید . |
6 | در جدول تنظیمات زیر را وارد کنید: |
افسانه ها |
relH = 0.0 |
7 | در نوار ابزار تراکم ، روی |
نمودار خط 2
1 | روی Line Graph 1 کلیک راست کرده و Duplicate را انتخاب کنید . |
2 | در پنجره تنظیمات برای نمودار خط ، بخش y-Axis Data را پیدا کنید . |
3 | در قسمت متن Expression ، subst(pp1mat1.def.rho,minput.T,Tg[K/m],minput.pA,p0,minput.phi,0.2) را تایپ کنید . |
4 | قسمت Legends را پیدا کنید . در جدول تنظیمات زیر را وارد کنید: |
افسانه ها |
relH = 0.2 |
5 | در نوار ابزار تراکم ، روی |
نمودار خط 3
1 | روی Line Graph 2 کلیک راست کرده و Duplicate را انتخاب کنید . |
2 | در پنجره تنظیمات برای نمودار خط ، بخش y-Axis Data را پیدا کنید . |
3 | در قسمت متن Expression ، subst(pp1mat1.def.rho,minput.T,Tg[K/m],minput.pA,p0,minput.phi,0.4) را تایپ کنید . |
4 | قسمت Legends را پیدا کنید . در جدول تنظیمات زیر را وارد کنید: |
افسانه ها |
relH = 0.4 |
5 | در نوار ابزار تراکم ، روی |
نمودار خط 4
1 | روی Line Graph 3 کلیک راست کرده و Duplicate را انتخاب کنید . |
2 | در پنجره تنظیمات برای نمودار خط ، بخش y-Axis Data را پیدا کنید . |
3 | در قسمت متن Expression ، subst(pp1mat1.def.rho,minput.T,Tg[K/m],minput.pA,p0,minput.phi,0.8) را تایپ کنید . |
4 | قسمت Legends را پیدا کنید . در جدول تنظیمات زیر را وارد کنید: |
افسانه ها |
relH = 0.8 |
5 | در نوار ابزار تراکم ، روی ![]() |
نمودار چگالی را به منظور ایجاد نمودارهای ویسکوزیته دینامیکی ( pp1mat1.def.mu )، هدایت حرارتی ( pp1mat1.def.k_iso )، و سرعت صوت ( pp1mat1.def.c ) کپی کنید. در نهایت، نمودارها را در یک Node Group گروه بندی کنید . تمام طرح ها در بخش نتایج و بحث اسناد به تصویر کشیده شده است.




