ناپایداری دو قوس در تماس
معرفی
این مثال مفهومی نحوه محاسبه نقاط بحرانی در مدل های با تماس را نشان می دهد. این مدل شامل دو قوس تماسی است که با رابط Shell مدلسازی شدهاند. در حین بارگذاری، قوس پایینی رفتاری از خود نشان می دهد. تعریف مشکل بر اساس یک مثال معیار از Ref. 1 .
تعریف مدل
هندسه مدل شامل یک قوس و یک بلوک است که در شکل 1 نشان داده شده است . از آنجایی که قوس ها با رابط Shell مدل شده اند، از هندسه سه بعدی استفاده می شود. با این حال، یک رفتار کرنش صفحه دوبعدی در نظر گرفته شده است، و در نتیجه شرایط تقارن برای تمام لبهها در جهت y اعمال میشود تا هرگونه تغییر شکل خارج از صفحه را سرکوب کند.
.

شکل 1: هندسه مدل.
فقط تماس بدون اصطکاک در نظر گرفته شده و از روش تماس پنالتی استفاده می شود.
انتهای قوس بالایی در برابر جابجایی در جهت x محدود شده و تحت بارهای لبه عمودی قرار می گیرند. بزرگی بارهای لبه توسط افزایش یکنواخت انحراف قوس بالایی کنترل می شود که امکان ردیابی کل مسیر بار را فراهم می کند، حتی اگر نیرو به طور یکنواخت افزایش نیابد. انتهای قوس پایین ثابت است.
نتایج و بحث
شکل 2 شکل تغییر شکل یافته و توزیع تنش فون میزس را در آخرین مرحله شبیه سازی نشان می دهد. شکاف قوس پایینی به وضوح قابل مشاهده است. هر دو قوس با یک مجموعه داده پوسته نشان داده می شوند که هر دو سطح بالا و پایین آنها را نشان می دهد.

شکل 2: تغییر شکل و تنش فون میزس در مرحله نهایی.
سه منحنی بار متفاوت در مقابل انحراف در شکل 3 نشان داده شده است . بار با یک ضریب بار بی بعد نشان داده می شود و بر اساس انحرافات میانی دو قوس یا انحراف متوسط انتهای قوس بالایی رسم می شود. چندین نقطه بحرانی را می توان مشاهده کرد. به عنوان مثال، با نگاه کردن به قوس پایین، اولین نقطه حد برای ضریب بار برابر با 107.5 و انحراف 13 میلی متر به دست می آید. در این مرحله قوس پایینی ناپایدار می شود و یک ضربه ناگهانی رخ می دهد. هنگامی که انحراف به 45 میلی متر می رسد، ضریب بار به 45 کاهش می یابد. در این نقطه به نقطه حد دوم رسیده است و مدل پیکربندی پایدار جدیدی پیدا می کند. پس از این نقطه ضریب بار با افزایش انحراف افزایش می یابد.
چندین نقطه انشعاب نیز وجود دارد که ماهیت ناپایدار مشکل و انشعاب احتمالی مسیر بار را نشان می دهد. به عنوان مثال، اولین نقطه در حال حاضر در انحراف 1 میلی متر قابل مشاهده است، جایی که تغییر واضحی در شیب منحنی بار-انحراف وجود دارد.

شکل 3: منحنی های بار در مقابل انحراف.
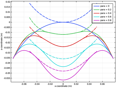
تغییر شکل پیشرونده دو قوس، از جمله گذر از قوس پایین، در شکل 4 برای پنج مقدار پارامتر ادامه نشان داده شده است. در شکل همچنین به وضوح قابل مشاهده است که چگونه مشکل تماس در طول شبیه سازی تغییر می کند. شکل 5 فشار تماس اعمال شده توسط قوس بالایی روی قوس پایینی را در مرحله پس از بحران نشان می دهد.

شکل 4: تغییر شکل مدل برای پنج مقدار پارامتر مختلف

شکل 5: فشار تماسی که روی قوس پایینی اعمال می شود.
نکاتی درباره پیاده سازی COMSOL
مشکلات تماس اغلب در پیکربندی اولیه خود ناپایدار هستند. برای کمک به حل کننده در یافتن راه حل اولیه، در مرحله اول پارامتر، یک پایه فنری به قوس فوقانی بدون محدودیت اضافه می شود.
مدل سازی رفتار پس بحرانی یک سیستم با افزایش تدریجی بار مرزی امکان پذیر نیست. رفتار ناپایدار در صورت وجود تماس بارزتر می شود. برای یافتن تمام نقاط حد و ردیابی منحنی بار کامل در مقابل انحراف، از طرح بار کنترل شده با جابجایی با افزودن یک معادله جهانی استفاده می شود . در اینجا، بزرگی بارهای لبه از طریق افزایش یکنواخت انحراف قوس بالایی کنترل می شود. روش دیگر، جابجایی عمودی را می توان در نقاط انتهایی قوس بالایی تجویز کرد، اما این یک تکنیک کمتر عمومی است که در برخی موارد شکست می خورد.
این مشکل بسیار ناپایدار است و چندین شاخه از مسیر تعادل ممکن است. برای سرکوب اینها به طوری که یک راه حل پایدار به دست آید، نقطه میانی هر دو قوس در برابر جابجایی جانبی از طریق شرایط تقارن محدود می شود. با غیرفعال کردن این محدودیت می توان انشعاب مسیر تعادل را مطالعه کرد.
ارجاع
1. P. Wriggers, Computational Contact Mechanics , Springer-Verlag, 2006
مسیر کتابخانه برنامه: ماژول_مکانیک_ساختاری/نمونه_های_تأیید/دو_طاق
دستورالعمل های مدل سازی
از منوی File ، New را انتخاب کنید .
جدید
در پنجره جدید ، روی
Model Wizard کلیک کنید .
مدل جادوگر
1 | در پنجره Model Wizard ، روی |
2 | در درخت Select Physics ، Structural Mechanics>Shell (پوسته) را انتخاب کنید . |
3 | روی افزودن کلیک کنید . |
4 |
5 | در درخت انتخاب مطالعه ، General Studies>Stationary را انتخاب کنید . |
6 |
تعاریف جهانی
پارامترهای 1
1 | در پنجره Model Builder ، در قسمت Global Definitions روی Parameters 1 کلیک کنید . |
2 | در پنجره تنظیمات برای پارامترها ، بخش پارامترها را پیدا کنید . |
3 |
4 | به پوشه Application Libraries مدل بروید و روی فایل two_arches_parameters.txt دوبار کلیک کنید . |
هندسه 1
صفحه کار 1 (wp1)
1 | در نوار ابزار هندسه ، روی صفحه |
2 | در پنجره تنظیمات برای صفحه کار ، قسمت تعریف هواپیما را پیدا کنید . |
3 | از لیست هواپیما ، xz-plane را انتخاب کنید . |
4 |
صفحه کار 1 (wp1)> دایره 1 (c1)
1 | در نوار ابزار Work Plane ، روی |
2 | در پنجره تنظیمات دایره ، قسمت Object Type را پیدا کنید . |
3 | از لیست Type ، Curve را انتخاب کنید . |
4 | قسمت Size and Shape را پیدا کنید . در قسمت متن Radius ، Ri_upper را تایپ کنید . |
5 | در قسمت نوشتار زاویه بخش ، seg_upper را تایپ کنید . |
6 | قسمت Position را پیدا کنید . در قسمت متن yw ، Ri_upper را تایپ کنید . |
7 | قسمت Rotation Angle را پیدا کنید . در قسمت متن Rotation ، -90-seg_upper/2 را تایپ کنید . |
8 |
9 |
صفحه کار 1 (wp1)> دایره 2 (c2)
1 | در نوار ابزار Work Plane ، روی |
2 | در پنجره تنظیمات دایره ، قسمت Object Type را پیدا کنید . |
3 | از لیست Type ، Curve را انتخاب کنید . |
4 | قسمت Size and Shape را پیدا کنید . در قسمت متن Radius ، Ri_lower را تایپ کنید . |
5 | در قسمت متنی Sector angle ، seg_lower را تایپ کنید . |
6 | قسمت Position را پیدا کنید . در قسمت متن yw ، -Ri_lower را تایپ کنید . |
7 | قسمت Rotation Angle را پیدا کنید . در قسمت متن Rotation ، 90-seg_lower/2 را تایپ کنید . |
8 |
9 |
صفحه کار 1 (wp1)> حذف نهادهای 1 (del1)
1 | در پنجره Model Builder ، روی Plane Geometry کلیک راست کرده و Delete Entities را انتخاب کنید . |
2 | در شی c1 فقط مرزهای 2 و 3 را انتخاب کنید. |
3 | در شیء c2 ، فقط مرزهای 3 و 4 را انتخاب کنید. |
Work Plane 1 (wp1)> Partition Edges 1 (pare1)
1 | در نوار ابزار Work Plane ، روی |
2 | در شی del1(1) ، فقط مرز 1 را انتخاب کنید. |
صفحه کار 1 (wp1)
1 | در پنجره Model Builder ، در قسمت Component 1 (comp1)>Geometry 1 روی Work Plane 1 (wp1) کلیک کنید . |
2 | در پنجره تنظیمات برای صفحه کار ، بخش Unite Objects را پیدا کنید . |
3 | چک باکس Unite objects را پاک کنید . |
اکسترود 1 (ext1)
1 | در نوار ابزار Geometry ، روی |
2 | در پنجره تنظیمات برای Extrude ، بخش Distances را پیدا کنید . |
3 | در جدول تنظیمات زیر را وارد کنید: |
فواصل (متر) |
د |
4 |
5 |
طاق بالا
1 | در نوار ابزار Geometry ، روی |
2 | در پنجره تنظیمات برای انتخاب صریح ، در قسمت نوشتار برچسب، قوس بالایی را تایپ کنید . |
3 | قسمت Entities to Select را پیدا کنید . از لیست سطح نهاد هندسی ، Object را انتخاب کنید . |
4 | فقط شیء ext1(2) را انتخاب کنید. |
5 | قسمت Color را پیدا کنید . از لیست Color ، Color 4 را انتخاب کنید . |
6 |
طاق پایین
1 | روی Upper Arch کلیک راست کرده و Duplicate را انتخاب کنید . |
2 | در پنجره تنظیمات برای انتخاب صریح ، Lower Arch را در قسمت نوشتار Label تایپ کنید . |
3 | قسمت Entities to Select را پیدا کنید . در لیست، ext1(2) را انتخاب کنید . |
4 | فقط شیء ext1(1) را انتخاب کنید. |
5 | قسمت Color را پیدا کنید . از لیست Color ، رنگ 12 را انتخاب کنید . |
فرم اتحادیه (فین)
1 | در پنجره Model Builder ، در قسمت Component 1 (comp1)>Geometry 1 روی Form Union (fin) کلیک کنید . |
2 | در پنجره تنظیمات Form Union/Assembly ، بخش Form Union/Assembly را پیدا کنید . |
3 | از لیست Action ، Form an assembly را انتخاب کنید . |
4 |
5 |
مواد
مواد 1 (mat1)
1 | در پنجره Model Builder ، در قسمت Component 1 (comp1) روی Materials راست کلیک کرده و Blank Material را انتخاب کنید . |
2 | در پنجره تنظیمات برای مواد ، قسمت انتخاب موجودیت هندسی را پیدا کنید . |
3 | از لیست Selection ، Lower Arch را انتخاب کنید . |
4 | قسمت محتوای مواد را پیدا کنید . در جدول تنظیمات زیر را وارد کنید: |
ویژگی | متغیر | ارزش | واحد | گروه اموال |
مدول یانگ | E | 40 [GPa] | پا | مدول یانگ و نسبت پواسون |
نسبت پواسون | نه | 0.2 | 1 | مدول یانگ و نسبت پواسون |
تراکم | rho | 1 | کیلوگرم بر متر مکعب | پایه ای |
مواد 2 (mat2)
1 | روی Materials کلیک راست کرده و Blank Material را انتخاب کنید . |
2 | در پنجره تنظیمات برای مواد ، قسمت انتخاب موجودیت هندسی را پیدا کنید . |
3 | از لیست Selection ، Upper Arch را انتخاب کنید . |
4 | قسمت محتوای مواد را پیدا کنید . در جدول تنظیمات زیر را وارد کنید: |
ویژگی | متغیر | ارزش | واحد | گروه اموال |
مدول یانگ | E | 20 [GPa] | پا | مدول یانگ و نسبت پواسون |
نسبت پواسون | نه | 0.3 | 1 | مدول یانگ و نسبت پواسون |
تراکم | rho | 1 | کیلوگرم بر متر مکعب | پایه ای |
تعاریف
میانگین 1 (aveop1)
1 | در نوار ابزار تعاریف ، روی |
2 | در پنجره تنظیمات برای میانگین ، بخش انتخاب منبع را پیدا کنید . |
3 | از لیست سطح نهاد هندسی ، نقطه را انتخاب کنید . |
4 | فقط نقطه 9 را انتخاب کنید. |
میانگین 2 (aveop2)
1 | روی میانگین 1 (aveop1) کلیک راست کرده و Duplicate را انتخاب کنید . |
2 | در پنجره تنظیمات برای میانگین ، بخش انتخاب منبع را پیدا کنید . |
3 |
4 | فقط نقطه 3 را انتخاب کنید. |
میانگین 3 (aveop3)
1 | روی میانگین 2 (aveop2) کلیک راست کرده و Duplicate را انتخاب کنید . |
2 | در پنجره تنظیمات برای میانگین ، بخش انتخاب منبع را پیدا کنید . |
3 |
4 | فقط نقاط 7 و 11 را انتخاب کنید. |
متغیرهای 1
1 | در پنجره Model Builder ، روی Definitions کلیک راست کرده و Variables را انتخاب کنید . |
2 | در پنجره تنظیمات برای متغیرها ، بخش متغیرها را پیدا کنید . |
3 | در جدول تنظیمات زیر را وارد کنید: |
نام | اصطلاح | واحد | شرح |
disp_upper | aveop1(-w) | متر | جابجایی قوس بالایی |
disp_lower | aveop2(-w) | متر | جابجایی قوس پایین |
disp_load | aveop3(-w) | متر | میانگین جابجایی نقطه بار |
جفت تماس 1 (p1)
1 | در نوار ابزار تعاریف ، روی |
2 | در پنجره تنظیمات برای جفت ، قسمت Source Boundaries را پیدا کنید . |
3 | از لیست Selection ، Upper Arch را انتخاب کنید . |
4 | قسمت Destination Boundaries را پیدا کنید . از لیست Selection ، Lower Arch را انتخاب کنید . |
پوسته (پوسته)
ضخامت و افست 1
1 | در پنجره Model Builder ، در قسمت Component 1 (comp1)> Shell (Shell) روی Thickness and Offset 1 کلیک کنید . |
2 | در پنجره تنظیمات برای Thickness and Offset ، قسمت Thickness and Offset را پیدا کنید . |
3 | در قسمت متنی d 0 ، d را تایپ کنید . |
4 | از لیست موقعیت ، سطح بالا در مرز را انتخاب کنید . |
تقارن 1
1 | در نوار ابزار فیزیک ، روی |
2 | فقط لبه های 2، 3، 5، 6، 9، 10، 12 و 13 را انتخاب کنید. |
جابجایی / چرخش تجویز شده 1
1 | در نوار ابزار Physics ، روی |
2 | فقط لبه های 8 و 14 را انتخاب کنید. |
3 | در پنجره تنظیمات برای جابجایی/چرخش تجویز شده ، بخش جابجایی تجویز شده را پیدا کنید . |
4 | تیک Prescribed in x direction را انتخاب کنید . |
5 | کادر بررسی تجویز شده در جهت y را انتخاب کنید . |
جابجایی / چرخش تجویز شده 2
1 | در نوار ابزار Physics ، روی |
2 | فقط لبه های 1 و 7 را انتخاب کنید. |
3 | در پنجره تنظیمات برای جابجایی/چرخش تجویز شده ، بخش جابجایی تجویز شده را پیدا کنید . |
4 | تیک Prescribed in x direction را انتخاب کنید . |
5 | کادر بررسی تجویز شده در جهت y را انتخاب کنید . |
6 | تیک Prescribed in z direction را انتخاب کنید . |
7 | بخش چرخش تجویز شده را پیدا کنید . از لیست By ، چرخش را انتخاب کنید . |
بار لبه 1
1 | در نوار ابزار Physics ، روی |
2 | فقط لبه های 8 و 14 را انتخاب کنید. |
3 | در پنجره تنظیمات برای Edge Load ، بخش Force را پیدا کنید . |
4 | بردار F L را به صورت مشخص کنید |
0 | ایکس |
0 | y |
load*F_ref | z |
بار متغیر وابسته در مرحله بعد با استفاده از یک معادله جهانی ایجاد می شود.
5 |
6 | در کادر محاورهای Show More Options ، در درخت، کادر را برای گره Physics>Equation-Based Contributions انتخاب کنید . |
7 | روی OK کلیک کنید . |
معادلات جهانی 1
1 | در نوار ابزار Physics ، روی |
2 | در پنجره تنظیمات برای معادلات جهانی ، بخش معادلات جهانی را پیدا کنید . |
3 | در جدول تنظیمات زیر را وارد کنید: |
نام | F(U,UT,UTT,T) (1) | مقدار اولیه (U_0) (1) | مقدار اولیه (U_T0) (1/S) | شرح |
بار | disp_upper-max_disp* به | 0 | 0 | ضریب بار |
4 | قسمت Units را پیدا کنید . |
5 | در کادر محاورهای Physical Quantity ، جابجایی را در قسمت متن تایپ کنید. |
6 |
7 | در درخت، General>Displacement (m) را انتخاب کنید . |
8 | روی OK کلیک کنید . |
برای تثبیت مدل در مرحله اولیه، یک سفتی فنری کوچک به قوس بالایی اضافه کنید.
بنیاد بهار 1
1 | در نوار ابزار Physics ، روی |
2 | در پنجره تنظیمات برای Spring Foundation ، بخش Spring را پیدا کنید . |
3 | در قسمت متن k A ، 1e3* (para<0.01) را تایپ کنید . |
4 | قسمت انتخاب مرز را پیدا کنید . از لیست Selection ، Upper Arch را انتخاب کنید . |
چندین انشعاب احتمالی در طول snap-through امکان پذیر است. افزودن یک محدودیت به هر قوس، یک راه حل متقارن و پایدار را اعمال می کند.
تقارن 2
1 | در نوار ابزار فیزیک ، روی |
2 | فقط لبه های 4 و 11 را انتخاب کنید. |
مش 1
نقشه برداری 1
1 | در نوار ابزار Mesh ، روی |
2 | در پنجره تنظیمات برای Mapped ، بخش انتخاب مرز را پیدا کنید . |
3 | از لیست انتخاب ، همه مرزها را انتخاب کنید . |
توزیع 1
1 | روی Mapped 1 کلیک راست کرده و Distribution را انتخاب کنید . |
2 | فقط لبه های 2 و 5 را انتخاب کنید. |
3 | در پنجره تنظیمات برای توزیع ، بخش توزیع را پیدا کنید . |
4 | در قسمت متنی Number of elements ، n_elem_lower را تایپ کنید . |
توزیع 2
1 | در پنجره Model Builder ، روی Mapped 1 کلیک راست کرده و Distribution را انتخاب کنید . |
2 | فقط لبه های 9 و 12 را انتخاب کنید. |
3 | در پنجره تنظیمات برای توزیع ، بخش توزیع را پیدا کنید . |
4 | در قسمت متنی Number of elements ، n_elem_upper را تایپ کنید . |
5 | در پنجره Model Builder ، روی Mesh 1 کلیک راست کرده و Build All را انتخاب کنید . |
6 | ![]() |
مطالعه 1
مرحله 1: ثابت
1 | در پنجره Model Builder ، در بخش مطالعه 1 ، روی Step 1: Stationary کلیک کنید . |
2 | در پنجره تنظیمات برای Stationary ، برای گسترش بخش Study Extensions کلیک کنید . |
3 | کادر بررسی جارو کمکی را انتخاب کنید . |
4 |
5 | در جدول تنظیمات زیر را وارد کنید: |
نام پارامتر | لیست مقادیر پارامتر | واحد پارامتر |
به (بارگیری پارامتر) | محدوده (0,0.02,1) |
راه حل 1 (sol1)
1 | در نوار ابزار مطالعه ، روی |
2 | در پنجره Model Builder ، گره Solution 1 (sol1) را گسترش دهید ، سپس روی Stationary Solver 1 کلیک کنید . |
3 | در پنجره تنظیمات برای حل ثابت ، بخش عمومی را پیدا کنید . |
4 | در قسمت متنی Relative tolerance ، 0.0005 را تایپ کنید . |
5 | در پنجره Model Builder ، گره Study 1>Solver Configurations>Solution 1 (sol1)>Stationary Solver 1 را گسترش دهید ، سپس روی Parametric 1 کلیک کنید . |
6 | در پنجره تنظیمات برای پارامتر ، برای گسترش بخش ادامه کلیک کنید . |
7 | تیک گزینه Tuning of step size را انتخاب کنید . |
8 | در قسمت متنی Minimum step size ، 1e-6 را تایپ کنید . |
9 | روی Study 1>Solver Configurations>Solution 1 (sol1)>Stationary Solver 1>Parametric 1 کلیک راست کرده و گزینه Stop Condition را انتخاب کنید . |
10 | در پنجره تنظیمات برای وضعیت توقف ، قسمت عبارات توقف را پیدا کنید . |
11 |
12 | در جدول تنظیمات زیر را وارد کنید: |
بیان را متوقف کنید | توقف کنید اگر | فعال | شرح |
comp1.load/250 | درست (>=1) | √ | توقف بیان 1 |
13 | قسمت Output at Stop را پیدا کنید . از لیست افزودن راه حل ، مرحله قبل از توقف را انتخاب کنید . |
14 | در پنجره Model Builder ، در قسمت Study 1>Solver Configurations>Solution 1 (sol1)>Stationary Solver 1 روی Fully Coupled 1 کلیک کنید . |
15 | در پنجره Settings for Fully Coupled ، برای گسترش بخش Method and Termination کلیک کنید . |
16 | از لیست روش غیر خطی ، Constant (نیوتن) را انتخاب کنید . |
17 | در نوار ابزار مطالعه ، |
نتایج
استرس (پوسته)
1 | در پنجره Settings for 3D Plot Group ، قسمت Plot Settings را پیدا کنید . |
2 | از لیست Frame ، Spatial (x، y، z) را انتخاب کنید . |
3 | در نوار ابزار استرس (پوسته) ، روی |
4 |
5 |
6 | در نوار ابزار صفحه اصلی ، روی |
طرح از پیش تعریف شده را اضافه کنید
1 | به پنجره Add Predefined Plot بروید . |
2 | در درخت، مطالعه 1/راه حل 1 (sol1)>Shell>Contact Forces (پوسته) را انتخاب کنید . |
3 | روی Add Plot در نوار ابزار پنجره کلیک کنید . |
4 | در نوار ابزار صفحه اصلی ، روی |
نتایج
نیروهای تماس (پوسته)
1 | در پنجره Model Builder ، در قسمت Results روی Contact Forces (Shell) کلیک کنید . |
2 | در پنجره Settings for 3D Plot Group ، بخش Data را پیدا کنید . |
3 | از لیست مقدار پارامتر (para) ، 0.6 را انتخاب کنید . |
تماس 1، فشار
1 | در پنجره Model Builder ، گره Contact Forces (پوسته) را گسترش دهید ، سپس روی Contact 1, Pressure کلیک کنید . |
2 | در پنجره تنظیمات برای Arrow Surface ، بخش Coloring and Style را پیدا کنید . |
3 | چک باکس Scale factor را انتخاب کنید . در قسمت متن مرتبط، 2e-10 را تایپ کنید . |
سطوح خاکستری
در پنجره Model Builder ، روی Gray Surfaces کلیک کنید .
انیمیشن 1
1 | در نوار ابزار Contact Forces (پوسته) ، روی |
2 | در پنجره تنظیمات برای انیمیشن ، بخش Frames را پیدا کنید . |
3 | از فهرست انتخاب فریم ، همه را انتخاب کنید . |
4 |
بار در مقابل انحراف
1 | در نوار ابزار صفحه اصلی ، روی |
2 | در پنجره تنظیمات برای گروه طرح 1 بعدی ، Load vs. Delection را در قسمت نوشتار Label تایپ کنید . |
جهانی 1
1 | روی Load vs. Delection کلیک راست کرده و Global را انتخاب کنید . |
2 | در پنجره تنظیمات برای جهانی ، بخش y-Axis Data را پیدا کنید . |
3 | در جدول تنظیمات زیر را وارد کنید: |
اصطلاح | واحد | شرح |
disp_upper | میلی متر | جابجایی قوس بالایی |
disp_lower | میلی متر | جابجایی قوس پایین |
disp_load | میلی متر | میانگین جابجایی نقطه بار |
4 | قسمت x-Axis Data را پیدا کنید . از لیست Parameter ، Expression را انتخاب کنید . |
5 | در قسمت Expression text، load را تایپ کنید . |
6 | برای گسترش بخش Coloring and Style کلیک کنید . زیربخش نشانگرهای خط را پیدا کنید . از لیست نشانگر ، چرخه را انتخاب کنید . |
7 | از لیست موقعیت یابی ، Interpolated را انتخاب کنید . |
بار در مقابل انحراف
1 | در پنجره Model Builder ، روی Load vs. Delection کلیک کنید . |
2 | در پنجره Settings for 1D Plot Group ، قسمت Plot Settings را پیدا کنید . |
3 | کادر بررسی Flip the x- and y-axes را انتخاب کنید . |
4 | قسمت Legend را پیدا کنید . از لیست موقعیت ، سمت چپ بالا را انتخاب کنید . |
5 | قسمت Plot Settings را پیدا کنید . |
6 | چک باکس x-axis label را انتخاب کنید . در فیلد متن مرتبط، Delection (mm) را تایپ کنید . |
7 | در نوار ابزار Load vs. Delection ، روی |
تغییر شکل
1 | در نوار ابزار صفحه اصلی ، روی |
2 | در پنجره تنظیمات برای گروه طرح 1 بعدی ، تغییر شکل را در قسمت متن برچسب تایپ کنید . |
3 | قسمت Data را پیدا کنید . از لیست انتخاب پارامتر (پارا) ، دستی را انتخاب کنید . |
4 | در قسمت متنی شاخص های پارامتر (1-46) ، range(1,10,41) را تایپ کنید . |
5 | برای گسترش بخش عنوان کلیک کنید . از لیست نوع عنوان ، هیچکدام را انتخاب کنید . |
نمودار خطی 1
1 | روی Deformation کلیک راست کرده و Line Graph را انتخاب کنید . |
2 | فقط لبه های 2 و 5 را انتخاب کنید. |
3 | در پنجره تنظیمات برای نمودار خط ، بخش y-Axis Data را پیدا کنید . |
4 | در قسمت Expression text، z را تایپ کنید . |
5 | قسمت x-Axis Data را پیدا کنید . از لیست Parameter ، Expression را انتخاب کنید . |
6 | در قسمت Expression text، x را تایپ کنید . |
7 | برای گسترش بخش Coloring and Style کلیک کنید . از لیست Width ، 2 را انتخاب کنید . |
نمودار خط 2
1 | روی Line Graph 1 کلیک راست کرده و Duplicate را انتخاب کنید . |
2 | در پنجره تنظیمات برای نمودار خط ، بخش Selection را پیدا کنید . |
3 |
4 | فقط لبه های 9 و 12 را انتخاب کنید. |
5 | قسمت Coloring and Style را پیدا کنید . زیربخش Line style را پیدا کنید . از لیست Line ، Dashed را انتخاب کنید . |
6 | از لیست رنگ ، چرخه (بازنشانی) را انتخاب کنید . |
نمودار خطی 1
1 | در پنجره Model Builder ، روی Line Graph 1 کلیک کنید . |
2 | در پنجره تنظیمات برای نمودار خط ، برای گسترش بخش Legends کلیک کنید . |
3 | تیک Show legends را انتخاب کنید . |
4 | زیربخش پیشوند و پسوند را پیدا کنید . در قسمت متن پیشوند ، para = را تایپ کنید . |
5 | در نوار ابزار تغییر شکل ، روی |
استرس (پوسته)
