دو مانع 1D
این آموزش از یک مدل 1 بعدی ساده از یک ساختار مانع دوگانه برای نشان دادن مراحل ضروری برای انجام شبیهسازیهای مکانیکی کوانتومی استفاده میکند. موضوعات مورد بحث شامل انرژی های ویژه و تکامل زمانی حالت های شبه محدود، پدیده تونل زنی رزونانس و منحنی های انتقال در مقابل انرژی است. نتایج عددی به خوبی با حل های تحلیلی مطابقت دارد.
معرفی
ساختار مانع دوگانه هم به دلیل عملکرد آموزشی آن به عنوان نمونه ای برای نشان دادن مفاهیم تونل زنی و آمار شبه محدود به دانشجویان مکانیک کوانتومی، و همچنین کاربرد عملی آن در دستگاه های نیمه هادی مانند دیودهای تونل زنی تشدید (نفوذ . 1 ).
برای حفظ ارتباط با فیزیک نیمه هادی ها بدون از دست دادن کلیت، فرض می شود که مدل از لایه های GaAs و AlGaAs ساخته شده است. تقریب تابع پاکت (فصل 1، بخش 1.7 در مرجع 2 ) را می توان برای توجیه استفاده از معادله شرودینگر تک ذره ای به کار برد. توجه داشته باشید که نه تنها انرژی پتانسیل الکترون، بلکه جرم موثر نیز تابعی از ترکیب مواد است. برای مراقبت صحیح از ناپیوستگی در جرم مؤثر، رابط فیزیک معادله شرودینگر شرط مرزی BenDaniel-Duke (فصل 2، بخش 2.6 در مرجع 2 ) را به طور پیش فرض اعمال می کند.
تعریف مدل
کسر Al در مواد AlGaAs 0.32 در نظر گرفته شده است . عرض چاه 10  نانومتر و عرض موانع 5  نانومتر در نظر گرفته شده است. دامنه مدل شده دارای عرض 40  نانومتر است.
چهار مطالعه برای بحث در مورد جنبه های مختلف مربوط به ساختار مانع دوگانه تنظیم شده است. ابتدا، انرژیهای ویژه برای حالتهای شبه محدود با استفاده از یک مطالعه ارزش ویژه، با شرایط مرزی باز برای امواج خروجی در هر دو انتهای حوزه مدلسازی، حل میشوند. سپس، تکامل زمانی یکی از حالتهای شبه محدود در یک مطالعه وابسته به زمان حل میشود. در مرحله بعد، شرایط تونل زنی تشدید در یک مطالعه ارزش ویژه، با نوع خاصی از شرایط مرزی باز برای امواج ورودی در یک انتهای حوزه مدلسازی حل میشود. در نهایت، ضرایب انتقال و بازتاب با استفاده از یک مطالعه ثابت، با شرایط مرزی باز منظم و یک موج ورودی تجویز شده از یک انتهای حوزه مدلسازی محاسبه میشوند.
نتایج و بحث
شکل 1 نتیجه حالتهای شبه کران را خلاصه میکند: انرژی پتانسیل الکترون (خط جامد سیاه)، بخش واقعی انرژیهای ویژه (خط نقطهدار سیاه)، و بخشهای واقعی و خیالی توابع موج به صورت عمودی به مرکز اطراف انرژیهای ویژه خود تغییر میکنند. (رنگ منحنی های یکدست و چین دار).

شکل 1: نمودار خلاصه برای حالتهای شبه محدود، از جمله انرژی پتانسیل الکترون (خط جامد سیاه)، بخش واقعی انرژیهای ویژه (خط نقطهدار سیاه)، و بخشهای واقعی و خیالی توابع موج که به صورت عمودی به مرکز اطراف خود تغییر میکنند. eigenenergies (منحنی های جامد رنگی و چین دار).
انرژی های ویژه را می توان به صورت تحلیلی با استفاده از روش ماتریس انتقال محاسبه کرد (فصل 2، بخش 2.10 در مرجع 2 ). ما دریافتیم که راهحل عددی بهدستآمده با استفاده از مطالعه ارزش ویژه با راهحل تحلیلی حداقل با 6 رقم مهم برای هر دو بخش واقعی و خیالی انرژیهای ویژه مطابقت دارد.
تکامل زمانی حالتهای شبه محدود را میتوان با استفاده از یک مطالعه وابسته به زمان با یکی از تابع موج حالتهای شبه محدود به عنوان شرط اولیه حل کرد. نتیجه نشان می دهد که تابع موج همانطور که انتظار می رود از حوزه مدل سازی خارج می شود. همانطور که در دستورالعملهای مدلسازی زیر توضیح داده شده است، بهتر است با یک فیلم انیمیشن تجسم شود.
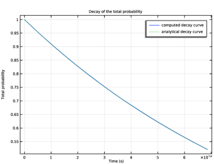
زوال احتمال کل در طول زمان را می توان مانند شکل 2 ترسیم کرد . منحنی فروپاشی محاسبهشده به خوبی با منحنی تحلیلی محاسبهشده از بخش خیالی انرژی ویژه تحلیلی مطابقت دارد.

شکل 2: زوال محاسبه شده احتمال کل در طول زمان به خوبی با حل تحلیلی مطابقت دارد.
شکل 3 خلاصه ای از شرایط تونل زنی رزونانسی را نشان می دهد. همانطور که انتظار می رود توابع موج و انرژی های ویژه شباهت زیادی به حالت های شبه محدود دارند. در این ساختار سد دوگانه متقارن، انتقال 100٪ تحت شرایط تونل زنی رزونانس است و انرژی های ویژه ارزش واقعی دارند. راه حل عددی با حل تحلیلی حداقل 7 رقم برای انرژی های ویژه مطابقت دارد.

شکل 3: نمودار خلاصه وضعیت تونل زنی رزونانس.
مطالعه ثابت نهایی منحنی انتقال در مقابل انرژی را با جارو کردن کل انرژی در معادله ثابت شرودینگر حل می کند. شکل 4 توابع موج را برای پنج انرژی مختلف خلاصه می کند. اول، سوم و پنجم در شرایط تونل زنی تشدید هستند و توابع موج شبیه به آنهایی از مطالعه قبلی است که انتظار می رود.
دوم و چهارم در انرژی های بینابینی هستند، جایی که احتمال انتقال بسیار کم است و بیشتر تابع موج به سمت چپ منعکس می شود. این به وضوح در دامنه بزرگ تابع موج در سمت چپ و دامنه بسیار کوچک در سمت راست دیده می شود.

شکل 4: راه حل های مطالعه ثابت پنج انرژی انتخاب شده.
شکل 5 ضرایب انتقال و انعکاس محاسبه شده را در مقابل انرژی در منحنی های رنگی و ضرایب انتقال تحلیلی را در دایره های قرمز نشان می دهد. توافق بسیار خوبی است.

شکل 5: منحنی انتقال به خوبی با نتایج تحلیلی مطابقت دارد.
منابع
Google Scholar Crossref, CAS 1. SM Sze and KK Ng, Physics of Semiconductor Devices , 3rd ed. 8، ثانیه 8.4.
2. پی. هریسون، کوانتوم ولز، سیم و نقطه ، ویرایش سوم، جان وایلی و پسران، شرکت، 2009.
مسیر کتابخانه برنامه: Semiconductor_Module/Verification_Examples/double_barrier_1d
دستورالعمل های مدل سازی
از منوی File ، New را انتخاب کنید .
جدید
در پنجره جدید ، روی  Model  Wizard کلیک کنید .
 Model  Wizard کلیک کنید .
 Model  Wizard کلیک کنید .
 Model  Wizard کلیک کنید .مدل جادوگر
| 1 | در پنجره Model  Wizard ، روی   1D کلیک کنید . | 
| 2 | در درخت Select  Physics ، Semiconductor>Schrödinger  Equation  (schr) را انتخاب کنید . | 
| 3 | روی افزودن کلیک کنید . | 
| 4 |  روی مطالعه کلیک کنید . | 
| 5 | در درخت Select  Study ، Preset  Studies  for  Selected  Physics  Interfaces>Eigenvalue را انتخاب کنید . | 
| 6 |  روی Done کلیک کنید . | 
هندسه 1
جادوگر مدل، دسکتاپ COMSOL را با انتخاب گره هندسه راه اندازی می کند . ما میتوانیم از این فرصت استفاده کنیم که واحد طول را روی یک واحد راحتتر تنظیم کنیم.
| 1 | در پنجره Model  Builder ، در قسمت Component  1  (comp1) روی Geometry  1 کلیک کنید . | 
| 2 | در پنجره تنظیمات هندسه ، بخش Units را پیدا کنید . | 
| 3 | از لیست واحد طول  ، nm را انتخاب کنید . | 
اکنون برخی از پارامترهای جهانی را تنظیم کنید.
تعاریف جهانی
پارامترهای 1
| 1 | در پنجره Model  Builder ، در قسمت Global  Definitions روی Parameters  1 کلیک کنید . | 
| 2 | در پنجره تنظیمات برای پارامترها ، بخش پارامترها را پیدا کنید . | 
| 3 |  روی Load  from  File کلیک کنید . | 
| 4 | به پوشه Application Libraries مدل بروید و روی فایل double_barrier_1d_param.txt دوبار کلیک کنید . | 
سپس هندسه ساختار حائل دوگانه را رسم کنید.
هندسه 1
فاصله 1 (i1)
| 1 | در پنجره Model  Builder ، در قسمت Component  1  (comp1) روی Geometry  1 کلیک راست کرده و Interval را انتخاب کنید . | 
| 2 | در پنجره تنظیمات برای فاصله ، قسمت فاصله را بیابید . | 
| 3 | از لیست Specify ، Interval  lengths را انتخاب کنید . | 
| 4 | در قسمت متنی Left  endpoint ، -L/2 را تایپ کنید . | 
| 5 | در جدول تنظیمات زیر را وارد کنید: | 
| طول (NM) | 
| lw | 
| پوند | 
| L-2*lw-2*lb | 
| پوند | 
| lw | 
| 6 |  روی Build  All  Objects کلیک کنید . | 
حالا ما فیزیک را تنظیم می کنیم. ابتدا مقیاس مقدار ویژه را وارد کنید که دارای واحد انرژی است. مقدار ویژه برگردانده شده توسط مرحله مطالعه مقدار ویژه بدون واحد است. سپس انرژی ویژه با حاصلضرب مقدار ویژه و مقیاس ارزش ویژه داده می شود.
معادله شرودینگر (SCHR)
| 1 | در پنجره Model  Builder ، در بخش  1  (comp1) روی معادله شرودینگر  (schr) کلیک کنید . | 
| 2 | در پنجره تنظیمات معادله شرودینگر  ، بخش ویژگی های مدل را پیدا کنید . | 
| 3 | زیربخش مطالعه مقدار ویژه  را پیدا کنید . در قسمت متنی مقیاس λ ، lmbd0 را تایپ کنید . | 
سپس جرم موثر و انرژی پتانسیل را در مناطق چاه وارد کنید. انتخابها بهطور پیشفرض برای همه دامنهها هستند، اما مناطق مانع را در مراحل بعدی اصلاح خواهیم کرد.
جرم موثر 1
| 1 | در پنجره Model  Builder ، در قسمت Component  1  (comp1)> Schrödinger  Equation  (schr) روی Effective  Mass  1 کلیک کنید . | 
| 2 | در پنجره تنظیمات برای Effective  Mass ، بخش Effective  Mass را پیدا کنید . | 
| 3 | در قسمت متن m eff,e , 11 ، mw را تایپ کنید . | 
انرژی پتانسیل الکترون 1
| 1 | در پنجره Model  Builder ، روی Electron  Potential  Energy  1 کلیک کنید . | 
| 2 | در پنجره تنظیمات برای انرژی پتانسیل الکترون  ، بخش انرژی پتانسیل الکترون را پیدا کنید . | 
| 3 | از لیست V e ، User  defined را انتخاب کنید . در قسمت متن مرتبط، 0 را تایپ کنید . | 
اکنون جرم موثر و انرژی پتانسیل را در مناطق مانع وارد می کنیم.
جرم موثر 2
| 1 | در نوار ابزار Physics ، روی   Domains کلیک کنید و Effective  Mass را انتخاب کنید . | 
| 2 | فقط دامنه های 2 و 4 را انتخاب کنید. | 
| 3 | در پنجره تنظیمات برای Effective  Mass ، بخش Effective  Mass را پیدا کنید . | 
| 4 | در قسمت متن m eff,e , 11 ، mb را تایپ کنید . | 
به مثلث قرمز رنگی که در گره Effective Mass 1 ظاهر می شود توجه کنید ، جایی که جرم موثر در مناطق چاه را در مرحله قبل روی همه دامنه ها قرار می دهیم. این مثلث قرمز نشان می دهد که برخی از انتخاب ها در آن گره ( جرم مؤثر 1 ) توسط گره فعلی ( جرم مؤثر 2 ) لغو می شوند.
ما می توانیم این را با کلیک روی گره Effective Mass 1 ببینیم و مشاهده کنیم که دامنه های 2 و 4 در کادر انتخاب اکنون با “(overridden)” اضافه شده اند.
جرم موثر 1
همچنین به مثلث قرمز رنگی که روی گره Effective Mass 2 ظاهر می شود توجه کنید که منبع ویژگی اصلی را نشان می دهد.
انرژی پتانسیل الکترون 2
| 1 | در نوار ابزار Physics ، روی   Domains کلیک کنید و Electron  Potential  Energy را انتخاب کنید . | 
| 2 | فقط دامنه های 2 و 4 را انتخاب کنید. | 
| 3 | در پنجره تنظیمات برای انرژی پتانسیل الکترون  ، بخش انرژی پتانسیل الکترون را پیدا کنید . | 
| 4 | از لیست V e ، User  defined را انتخاب کنید . در قسمت متن مرتبط، Vb را تایپ کنید . | 
به دایره نارنجی رنگی که اکنون روی گره Electron Potential Energy 1 ظاهر می شود توجه کنید که نشان می دهد انرژی پتانسیل وارد شده در گره فعلی به آن گره اضافه می شود. این ویژگی در COMSOL یک ویژگی “مشارکت کننده” نامیده می شود. به طور خلاصه، یک ویژگی «اغلب» (مانند گره جرم مؤثر ) جایگزین مقدار کمیت فیزیکی وارد شده می شود و یک ویژگی «مشارکت کننده» (مانند گره انرژی پتانسیل الکترون ) به مقدار کمیت فیزیکی موجود می افزاید. وارد شد. به لطف ماهیت “مشارکت کننده” گره انرژی پتانسیل الکترون ، می توان یک پروفایل پتانسیل پیچیده به راحتی با استفاده از چندین گره با انتخاب های همپوشانی ایجاد کرد.
برای حالتهای شبه محدود، ما به دنبال راهحلهایی با توابع موجی میگردیم که از حوزه مدلسازی بدون بازتاب از نقاط انتهایی حوزه مدلسازی به بیرون نشت میکنند. این کار با استفاده از شرط Open Boundary انجام می شود .
باز کردن مرز 1
| 1 | در نوار ابزار Physics ، روی   Boundaries کلیک کنید و Open  Boundary را انتخاب کنید . | 
| 2 | در پنجره تنظیمات برای Open  Boundary ، قسمت Boundary  Selection را پیدا کنید . | 
| 3 | از لیست انتخاب ، همه  مرزها را انتخاب کنید . | 
این شرط مرزی فقط برای مرزهای خارجی اعمال میشود، بنابراین ما فقط «همه مرزها» را برای راحتی انتخاب کردیم.
برای اهداف راستیآزمایی، ما یک مش ریز برای دقت بهتر در محلول تنظیم میکنیم.
مش 1
لبه 1
در نوار ابزار Mesh ، روی  Edge کلیک کنید .
 Edge کلیک کنید .
 Edge کلیک کنید .
 Edge کلیک کنید .توزیع 1
| 1 | روی Edge  1 کلیک راست کرده و Distribution را انتخاب کنید . | 
| 2 | در پنجره تنظیمات برای توزیع ، بخش توزیع را پیدا کنید . | 
| 3 | در قسمت متنی Number  of  Elements عدد 50 را تایپ کنید . | 
اکنون مطالعه ارزش ویژه را تنظیم می کنیم. شرط مرز باز غیرخطی بودن را در مسئله مقدار ویژه معرفی می کند. این معمولاً به یک فرآیند تکراری نیاز دارد که در آن راهحل یک مرحله مطالعه ارزش ویژه قبلی به عنوان نقطه خطیسازی برای تکرار بعدی وارد میشود تا زمانی که مقدار ویژه همگرا شود. در اینجا ما یک میانبر با تغذیه راه حل تحلیلی به عنوان نقطه خطی سازی می گیریم.
مطالعه 1
مرحله 1: مقدار ویژه
| 1 | در پنجره Model  Builder ، در بخش مطالعه  1 ، روی Step  1:  Eigenvalue کلیک کنید . | 
| 2 | در پنجره تنظیمات برای مقدار ویژه ، بخش تنظیمات مطالعه  را پیدا کنید . | 
| 3 | در قسمت متنی Desired  number  of  eigenvalues عدد 1 را تایپ کنید . | 
| 4 | در قسمت جستجو  برای  مقادیر ویژه  در اطراف متن، reE_anal/lmbd0 را تایپ کنید . | 
همانطور که قبلا ذکر شد، انرژی ویژه از حاصل ضرب مقدار ویژه و مقیاس مقدار ویژه به دست می آید. بنابراین در اینجا انرژی ویژه تحلیلی بر مقیاس مقدار ویژه تقسیم می شود تا حدس برای مقدار ویژه به دست آید.
برای دسترسی به تنظیمات نقطه خطی سازی، حل کننده پیش فرض را نشان دهید.
| 5 | در پنجره Model  Builder ، روی Study  1 کلیک کنید . | 
| 6 | در پنجره تنظیمات برای مطالعه ، Study 1 Quasi bound states را در قسمت نوشتار Label تایپ کنید . | 
راه حل 1 (sol1)
| 1 | در نوار ابزار مطالعه ، روی   Show  Default  Solver کلیک کنید . | 
| 2 | در پنجره Model  Builder ، گره Solution  1  (sol1) را گسترش دهید ، سپس روی Eigenvalue  Solver  1 کلیک کنید . | 
| 3 | در پنجره تنظیمات برای حل ارزش ویژه  ، بخش عمومی را پیدا کنید . | 
| 4 | در قسمت متنی Value  of  eigenvalue  point linearization point  reE_anal/lmbd0 را تایپ کنید . | 
از یک جارو پارامتریک برای حل هر سه حالت شبه کران در یک دنباله استفاده کنید.
جارو پارامتریک
| 1 | در نوار ابزار مطالعه ، روی   پارامتر  Sweep کلیک کنید . | 
| 2 | در پنجره تنظیمات برای جابجایی پارامتری  ، بخش تنظیمات مطالعه را پیدا کنید . | 
| 3 |  دوبار روی Add کلیک کنید  . | 
| 4 | در جدول تنظیمات زیر را وارد کنید: | 
| نام پارامتر | لیست مقادیر پارامتر | واحد پارامتر | 
| reE_anal (پارامتر Sweeping برای حالتهای شبه محدود) | reE1anal reE2anal reE3anal | جی | 
| imE_anal (پارامتر Sweeping برای حالتهای شبه محدود) | imE1anal imE2anal imE3anal | جی | 
پارامتر imE_anal در فرآیند حل استفاده نمی شود. هدف از گنجاندن آن در جاروب پارامتری، مقایسه آسان با حل تحلیلی پس از به دست آوردن جواب عددی است.
| 5 | در نوار ابزار مطالعه ،   روی محاسبه کلیک کنید . | 
نتایج
تابع موج نرمال شده (schr)
نتیجه مدلسازی برای حالتهای شبه محدود در گروه طرح 1 بعدی انرژی بالقوه، انرژی ویژه و تابع موج خلاصه میشود .
نمودار خلاصه حالت شبه مقید
| 1 | در پنجره Model  Builder ، در بخش Results روی Potential  Energy،  Eigeneenergy  و  Wave  Function  (schr) کلیک کنید . | 
| 2 | در پنجره تنظیمات برای گروه طرح 1 بعدی  ، نمودار خلاصه حالت شبه محدود را در قسمت متن برچسب تایپ کنید . | 
| 3 | برای گسترش بخش عنوان کلیک کنید . از لیست نوع عنوان  ، دستی را انتخاب کنید . | 
| 4 | در قسمت متن عنوان ، نمودار خلاصه را برای حالت های شبه کران تایپ کنید . | 
| 5 | قسمت Plot  Settings را پیدا کنید . | 
| 6 | چک باکس x-axis  label را انتخاب کنید . در قسمت متن مرتبط، X (nm) را تایپ کنید . | 
| 7 | کادر بررسی برچسب محور y  را انتخاب کنید . در قسمت متن مرتبط، Energy (eV) را تایپ کنید . | 
| 8 | قسمت Legend را پیدا کنید . تیک Show  legends را پاک کنید . | 
| 9 | در نوار ابزار طرح خلاصه حالت شبه محدود ، روی   Plot کلیک کنید .  | 
همچنین میتوانیم برخی ارزیابیهای جهانی را برای مقایسه نتیجه با راهحلهای تحلیلی انجام دهیم.
مقدار خاص
| 1 | در پنجره Model  Builder ، گره Results>Derived  Values را گسترش دهید ، سپس روی Eigenvalue کلیک کنید . | 
| 2 | در پنجره تنظیمات برای ارزیابی جهانی  ، بخش عبارات را پیدا کنید . | 
| 3 | در جدول تنظیمات زیر را وارد کنید: | 
| اصطلاح | واحد | شرح | 
| real(schr.Ei)/reE_anal-1 | 1 | خطای قسمت واقعی | 
| imag(schr.Ei)/imE_anal-1 | 1 | خطای قسمت خیالی | 
| 4 |  روی ارزیابی کلیک کنید . | 
جدول
| 1 | به پنجره Table بروید . | 
می بینیم که هم بخش واقعی و هم بخش خیالی انرژی ویژه با حل تحلیلی 6 رقم مهم یا بیشتر موافق است.
توابع موج حالتهای شبه محدود به مرور زمان از کوانتوم دو مانع به بیرون نشت میکنند و چگالی احتمال به همین ترتیب کاهش مییابد. با اجرای یک مطالعه گذرا می توانیم این رفتار را به صراحت مشاهده کنیم. یک مطالعه وابسته به زمان با تنظیم شرط اولیه به تابع موج نرمال شده سومین حالت شبه کران اضافه کنید.
اضافه کردن مطالعه
| 1 | در نوار ابزار Home ، روی   Add  Study کلیک کنید تا پنجره Add  Study باز شود . | 
| 2 | به پنجره Add  Study بروید . | 
| 3 | زیربخش مطالعات را پیدا کنید . در درخت انتخاب  مطالعه ، General  Studies>Time  Dependent را انتخاب کنید . | 
| 4 | روی Add  Study در نوار ابزار پنجره کلیک کنید . | 
| 5 | در نوار ابزار Home ، روی   Add  Study کلیک کنید تا پنجره Add  Study بسته شود . | 
مطالعه 2
مرحله 1: وابسته به زمان
| 1 | در پنجره تنظیمات مربوط به زمان  وابسته ، کلیک کنید تا بخش Values  of  Dependent  Variables گسترش یابد . | 
| 2 | مقادیر اولیه  متغیرهای حل شده برای زیربخش را بیابید . از لیست تنظیمات ، کنترل کاربر را انتخاب کنید . | 
| 3 | از لیست مطالعه ، وضعیت های شبه محدود مطالعه  1  ، مقدار ویژه را انتخاب کنید . | 
| 4 | در پنجره Model  Builder ، روی Study  2 کلیک کنید . | 
| 5 | در پنجره تنظیمات برای مطالعه ، Study 2 Time evolution of the 3nd quasi bound state را در قسمت نوشتار Label تایپ کنید. | 
معادله شرودینگر (SCHR)
مقادیر اولیه 2 برای مطالعه وابسته به زمان
| 1 | در نوار ابزار Physics ، روی   Domains کلیک کنید و مقادیر اولیه  را انتخاب کنید . | 
| 2 | در پنجره تنظیمات مقادیر اولیه ،  مقادیر اولیه 2 را برای مطالعه وابسته به زمان در قسمت نوشتار Label تایپ کنید . | 
| 3 | قسمت انتخاب دامنه  را پیدا کنید . از لیست انتخاب ، همه دامنه ها را انتخاب کنید . | 
| 4 | قسمت مقادیر اولیه  را پیدا کنید . در قسمت متن psi ، schr.Psi را تایپ کنید . | 
زمان چرخه تناوبی T3 و ثابت زمان واپاشی tau3 برای سومین حالت شبه محدود در جدول پارامترهای جهانی محاسبه شده است. مراحل زمانی را بر این اساس تنظیم کنید، به طوری که افزایش زمان به اندازه کافی کوچک باشد تا رفتار نوسانی تابع موج را نشان دهد و زمان کل شبیه سازی به اندازه کافی طولانی باشد تا فروپاشی حالت شبه کران را نشان دهد.
مطالعه 2 تکامل زمانی سومین حالت شبه محدود
مرحله 1: وابسته به زمان
| 1 | در پنجره Model  Builder ، در مطالعه  2  تکامل زمانی  سومین حالت شبه محدود ، مرحله 1: وابسته به زمان را کلیک کنید . | 
| 2 | در پنجره تنظیمات مربوط به زمان  وابسته ، قسمت تنظیمات مطالعه  را پیدا کنید . | 
| 3 | در قسمت متن زمان خروجی ،  range(0,T3/10,tau3/3) را تایپ کنید . | 
| 4 | در نوار ابزار صفحه اصلی ،   روی محاسبه کلیک کنید . | 
نتایج
تابع موج (schr)
تکامل زمانی تابع موج و چگالی احتمال را می توان به راحتی با قابلیت انیمیشن COMSOL نشان داد.
انیمیشن 1
| 1 | در نوار ابزار Wave Function (schr) ، روی   انیمیشن کلیک کنید و Player را انتخاب کنید . | 
| 2 | در پنجره تنظیمات برای انیمیشن ، بخش Frames را پیدا کنید . | 
| 3 | از فهرست انتخاب فریم  ، همه را انتخاب کنید . | 
| 4 |  روی دکمه Play در نوار ابزار Graphics کلیک کنید . | 
انتشار به بیرون (نشت) تابع موج به وضوح در انیمیشن دیده می شود.
انیمیشن 2
| 1 | روی انیمیشن  1 کلیک راست کرده و Duplicate را انتخاب کنید . | 
| 2 | در پنجره تنظیمات انیمیشن ، بخش صحنه را پیدا کنید . | 
| 3 | از لیست موضوع ، تراکم احتمال  (schr) 1 را انتخاب کنید . | 
| 4 |  روی دکمه Play در نوار ابزار Graphics کلیک کنید . | 
کاهش چگالی احتمال نیز به وضوح در انیمیشن دیده می شود.
ما همچنین میتوانیم زوال احتمال کل را با استفاده از نمودار سراسری مقایسه کنیم. ابتدا تعدادی نمودار پیش فرض را حذف کنید تا لیست گره های نمودار در درخت Model Builder کوتاه شود.
انرژی بالقوه (schr) 1
در پنجره Model  Builder ، در زیر Results روی Potential  Energy  (schr)  1 کلیک راست کرده و Delete را انتخاب کنید .
جرم مؤثر (schr) 1
در پنجره Model  Builder ، روی Effective  Mass  (schr)  1 راست کلیک کرده و Delete را انتخاب کنید .
زوال احتمال کل را مقایسه کنید
| 1 | در نوار ابزار صفحه اصلی ، روی   Add  Plot  Group کلیک کنید و 1D  Plot  Group را انتخاب کنید . | 
| 2 | در پنجره تنظیمات برای گروه طرح 1 بعدی  ، Compare decay of total probability را در قسمت نوشتار Label تایپ کنید . | 
| 3 | قسمت Data را پیدا کنید . از لیست مجموعه داده ، مطالعه  2  تکامل زمانی  سومین حالت شبه محدود /راه حل 6 (sol6) را انتخاب کنید . | 
| 4 | قسمت عنوان را پیدا کنید . از لیست نوع عنوان  ، دستی را انتخاب کنید . | 
| 5 | در قسمت متن عنوان ، Decay of the total probability را تایپ کنید . | 
| 6 | قسمت Plot  Settings را پیدا کنید . | 
| 7 | کادر بررسی برچسب محور y  را انتخاب کنید . در فیلد متن مرتبط، Total probability را تایپ کنید . | 
جهانی 1
| 1 | روی Compare  decay  of  total  probabil کلیک راست کرده و Global را انتخاب کنید . | 
| 2 | در پنجره تنظیمات برای جهانی ، بخش y-Axis  Data را پیدا کنید . | 
| 3 | در جدول تنظیمات زیر را وارد کنید: | 
| اصطلاح | واحد | شرح | 
| schr.int(schr.Pr) | 1 | منحنی فروپاشی محاسبه شده | 
| exp(-t/tau3)^2 | منحنی فروپاشی تحلیلی | 
| 4 | برای گسترش بخش Coloring  and  Style کلیک کنید . زیربخش Line  style را پیدا کنید . از لیست خط ، چرخه را انتخاب کنید . | 
| 5 | در نوار ابزار Compare decay of total probability ، روی   Plot کلیک کنید .  | 
در مطالعه بعدی، ما به دنبال راه حل تونل زنی رزونانس هستیم. برخلاف حالتهای شبه کران، که تابع موج در هر دو مرز باز به بیرون منتشر میشود، برای شرایط تونل زنی رزونانس، تابع موج از یک مرز به داخل منتشر میشود و از مرز دیگر خارج میشود. با نادیده گرفتن شرط مرزی باز سمت چپ، شرایط مرزی را بر این اساس اصلاح می کنیم.
معادله شرودینگر (SCHR)
مرز 2 را برای مطالعه تونل زنی باز کنید
| 1 | در نوار ابزار Physics ، روی   Boundaries کلیک کنید و Open  Boundary را انتخاب کنید . | 
| 2 | در پنجره تنظیمات برای Open  Boundary ، Open Boundary 2 را برای مطالعه تونل رزونانسی در قسمت نوشتار Label تایپ کنید . | 
| 3 | فقط مرز 1 را انتخاب کنید. | 
برای معکوس کردن جهت انتشار تابع موج در سراسر مرز باز، ابتدا گزینه های فیزیک پیشرفته را روشن کنید، زیرا این گزینه به ندرت استفاده می شود و معمولاً پنهان است.
| 4 |  روی دکمه Show  More  Options در نوار ابزار Model Builder کلیک کنید . | 
| 5 | در کادر محاورهای Show  More  Options ، در درخت، کادر را برای گره Physics>Advanced  Physics  Options انتخاب کنید . | 
| 6 | روی OK کلیک کنید . | 
اکنون می توانیم جهت انتشار را تغییر دهیم.
| 7 | در پنجره Model  Builder ، روی Open  Boundary  2  برای  مطالعه تونل رزونانس  کلیک کنید . | 
| 8 | در پنجره تنظیمات برای Open  Boundary ، برای گسترش بخش Open  Boundary  Type کلیک کنید . | 
| 9 | از لیست، ورودی را انتخاب کنید . | 
یک مطالعه ارزش ویژه برای حل انرژی های تونل زنی تشدید، به دنبال روشی مشابه با مطالعه 1 تنظیم کنید.
اضافه کردن مطالعه
| 1 | در نوار ابزار Home ، روی   Add  Study کلیک کنید تا پنجره Add  Study باز شود . | 
| 2 | به پنجره Add  Study بروید . | 
| 3 | زیربخش مطالعات را پیدا کنید . در درخت Select  Study ، Preset  Studies  for  Selected  Physics  Interfaces>Eigenvalue را انتخاب کنید . | 
| 4 | روی Add  Study در نوار ابزار پنجره کلیک کنید . | 
| 5 | در نوار ابزار Home ، روی   Add  Study کلیک کنید تا پنجره Add  Study بسته شود . | 
مطالعه 3
مرحله 1: مقدار ویژه
| 1 | در پنجره تنظیمات برای مقدار ویژه ، بخش تنظیمات مطالعه  را پیدا کنید . | 
| 2 | در قسمت متنی Desired  number  of  eigenvalues عدد 1 را تایپ کنید . | 
| 3 | در قسمت جستجو  برای  مقادیر ویژه  در اطراف متن، E_anal/lmbd0 را تایپ کنید . | 
| 4 | قسمت Physics  and  Variables  Selection را پیدا کنید . تیک Modify  model  configuration  for  study  step را انتخاب کنید . | 
| 5 | در درخت، مؤلفه  1  (comp1)>  معادله شرودینگر  (schr)>  مقادیر اولیه  2 را  برای  مطالعه وابسته به زمان  انتخاب کنید . | 
| 6 |  روی Disable کلیک کنید . | 
| 7 | در پنجره Model  Builder ، روی Study  3 کلیک کنید . | 
| 8 | در پنجره تنظیمات برای مطالعه ، Study 3 Resonant tunneling را در قسمت نوشتار Label تایپ کنید . | 
راه حل 7 (sol7)
| 1 | در نوار ابزار مطالعه ، روی   Show  Default  Solver کلیک کنید . | 
| 2 | در پنجره Model  Builder ، گره Solution  7  (sol7) را گسترش دهید ، سپس روی Eigenvalue  Solver  1 کلیک کنید . | 
| 3 | در پنجره تنظیمات برای حل ارزش ویژه  ، بخش عمومی را پیدا کنید . | 
| 4 | در قسمت متنی Value  of  eigenvalue  point linearization point،  E_anal/lmbd0 را تایپ کنید . | 
جارو پارامتریک
| 1 | در نوار ابزار مطالعه ، روی   پارامتر  Sweep کلیک کنید . | 
| 2 | در پنجره تنظیمات برای جابجایی پارامتری  ، بخش تنظیمات مطالعه را پیدا کنید . | 
| 3 |  روی افزودن کلیک کنید . | 
| 4 | در جدول تنظیمات زیر را وارد کنید: | 
| نام پارامتر | لیست مقادیر پارامتر | واحد پارامتر | 
| E_anal (پارامتر Sweeping for transmission=1 محلول) | E1anal E2anal E3anal | جی | 
| 5 | در نوار ابزار مطالعه ،   روی محاسبه کلیک کنید . | 
نتایج
تابع موج نرمال شده (schr) 1
برخی از نمودارهای پیش فرض را حذف کرده و نمودار خلاصه اصلی را بررسی کنید.
| 1 | روی Results>Normalized  Wave  Function  (schr)  1 راست کلیک کرده و Delete را انتخاب کنید . | 
جرم مؤثر (schr) 1، انرژی پتانسیل (schr) 1، چگالی احتمال (schr) 2
| 1 | در پنجره Model Builder ، در بخش Results ، روی Ctrl کلیک کنید تا Probability  Density  (schr)  2 ، Potential  Energy  (schr)  1 و Effective  Mass  (schr)  1 را انتخاب کنید . | 
| 2 | کلیک راست کرده و Delete را انتخاب کنید . | 
طرح خلاصه تونل رزونانس
| 1 | در پنجره Model  Builder ، در بخش Results روی Potential  Energy،  Eigeneenergy  و  Wave  Function  (schr) کلیک کنید . | 
| 2 | در پنجره تنظیمات برای گروه طرح 1 بعدی  ، طرح خلاصه تونل رزونانس را در قسمت نوشتار برچسب تایپ کنید . | 
| 3 | قسمت عنوان را پیدا کنید . از لیست نوع عنوان  ، دستی را انتخاب کنید . | 
| 4 | در قسمت متن عنوان ، طرح خلاصه را برای شرایط تونل زنی رزونانس تایپ کنید . | 
| 5 | قسمت Plot  Settings را پیدا کنید . | 
| 6 | چک باکس x-axis  label را انتخاب کنید . در قسمت متن مرتبط، X (nm) را تایپ کنید . | 
| 7 | کادر بررسی برچسب محور y  را انتخاب کنید . در قسمت متن مرتبط، Energy (eV) را تایپ کنید . | 
| 8 | قسمت Legend را پیدا کنید . تیک Show  legends را پاک کنید . | 
| 9 | در نوار ابزار طرح خلاصه تونل رزونانس ، روی   Plot کلیک کنید .  | 
همانند حالتهای شبه محدود، در اینجا نیز میتوانیم برخی ارزیابیهای کلی را برای مقایسه نتیجه با راهحلهای تحلیلی انجام دهیم.
مقدار ویژه 1
| 1 | در پنجره Model  Builder ، در Results>Derived  Values روی Eigenvalue  1 کلیک کنید . | 
| 2 | در پنجره تنظیمات برای ارزیابی جهانی  ، بخش عبارات را پیدا کنید . | 
| 3 | در جدول تنظیمات زیر را وارد کنید: | 
| اصطلاح | واحد | شرح | 
| real(schr.Ei)/E_anal-1 | 1 | خطای قسمت واقعی | 
| imag(schr.Ei)/E_anal | 1 | خطای قسمت خیالی (قسمت خیالی دقیق صفر است) | 
| 4 |  روی ارزیابی کلیک کنید . | 
جدول
| 1 | به پنجره Table بروید . | 
می بینیم که بخش واقعی انرژی ویژه با حل تحلیلی 7 رقم مهم یا بیشتر مطابقت دارد. بخش خیالی اساساً با دقت عددی صفر است، همانطور که می توان از این واقعیت انتظار داشت که راه حل دقیق ارزش واقعی دارد.
شرایط تونل زنی تشدید شده در بالا در انرژی های خاص با انتقال 100٪ تابع موج ورودی از طریق مانع دوگانه است. برای به دست آوردن منحنی کلی انتقال در مقابل انرژی، معادله شرودینگر را با استفاده از یک مطالعه ثابت حل می کنیم. ابتدا انرژی تابع موج ورودی را پارامتر کنید.
معادله شرودینگر (SCHR)
| 1 | در پنجره Model  Builder ، در بخش  1  (comp1) روی معادله شرودینگر  (schr) کلیک کنید . | 
| 2 | در پنجره تنظیمات معادله شرودینگر  ، بخش ویژگی های مدل را پیدا کنید . | 
| 3 | زیربخش مطالعه ثابت را  پیدا کنید . در قسمت متن E ، E0 را تایپ کنید . | 
سپس یک شرط مرزی باز معمولی (نوع خروجی به طور پیش فرض) تنظیم کنید. یک موج ورودی با دامنه معین psi0 اضافه کنید .
باز کردن مرز 3 برای مطالعه انتقال در مقابل انرژی
| 1 | در نوار ابزار Physics ، روی   Boundaries کلیک کنید و Open  Boundary را انتخاب کنید . | 
| 2 | در پنجره تنظیمات برای Open  Boundary ، Open Boundary 3 را برای مطالعه انتقال در مقابل انرژی در قسمت نوشتار Label تایپ کنید . | 
| 3 | فقط مرز 1 را انتخاب کنید. | 
| 4 | قسمت Open  Boundary را پیدا کنید . چک باکس Incoming  Wave را انتخاب کنید . | 
| 5 | در فیلد متن ψ 0 ، psi0 را تایپ کنید . | 
اکنون یک مطالعه ثابت با یک جارو کمکی روی پارامتر انرژی E0 تنظیم کنید. لیست مقادیر برای E0 برای ثبت قله های بسیار تیز در انتقال در اطراف انرژی های تونل رزونانس انتخاب شده است.
اضافه کردن مطالعه
| 1 | در نوار ابزار Home ، روی   Add  Study کلیک کنید تا پنجره Add  Study باز شود . | 
| 2 | به پنجره Add  Study بروید . | 
| 3 | زیربخش مطالعات را پیدا کنید . در درخت انتخاب  مطالعه ، General  Studies>Stationary را انتخاب کنید . | 
| 4 | روی Add  Study در نوار ابزار پنجره کلیک کنید . | 
| 5 | در نوار ابزار Home ، روی   Add  Study کلیک کنید تا پنجره Add  Study بسته شود . | 
مطالعه 4
مرحله 1: ثابت
| 1 | در پنجره تنظیمات برای Stationary ، بخش Physics  and  Variables  Selection را پیدا کنید . | 
| 2 | تیک Modify  model  configuration  for  study  step را انتخاب کنید . | 
| 3 | در درخت، مؤلفه  1  (comp1)>  معادله شرودینگر  (schr)>  مقادیر اولیه  2 را  برای  مطالعه وابسته به زمان  انتخاب کنید . | 
| 4 |  روی Disable کلیک کنید . | 
| 5 | برای گسترش بخش Study  Extensions کلیک کنید . کادر بررسی جارو کمکی  را انتخاب کنید . | 
| 6 |  روی افزودن کلیک کنید . | 
| 7 | در جدول تنظیمات زیر را وارد کنید: | 
| نام پارامتر | لیست مقادیر پارامتر | واحد پارامتر | 
| E0 (انرژی برای مطالعه ثابت) | E1anal*(1-0.5*10^range(0,-0.2,-3)) E1anal E1anal+0.5*(E2anal-E1anal)*10^range(-3,0.2,-0.1) E2anal-0.5*(E2anal- E1anal)*10^range(0,-0.2,-3) E2anal E2anal+0.5*(E3anal-E2anal)*10^range(-3,0.2,-0.1) E3anal-0.5*(E3anal-E2anal)*10^ محدوده (0،-0.2،-3) E3anal E3anal*(1+0.1*10^range(-3،0.2،0)) | جی | 
| 8 | در پنجره Model  Builder ، روی Study  4 کلیک کنید . | 
| 9 | در پنجره تنظیمات برای مطالعه ، مطالعه 4 انتقال در مقابل انرژی را در قسمت نوشتار برچسب تایپ کنید . | 
| 10 | در نوار ابزار صفحه اصلی ،   روی محاسبه کلیک کنید . | 
نتایج
تابع موج (schr) 1
برخی از نمودارهای پیش فرض را حذف کنید و نمودار خلاصه اصلی را در چند انرژی مختلف بررسی کنید.
| 1 | روی Results>Wave  Function  (schr)  1 راست کلیک کرده و Delete را انتخاب کنید . | 
جرم مؤثر (schr) 1، انرژی پتانسیل (schr) 1، چگالی احتمال (schr) 2
| 1 | در پنجره Model Builder ، در بخش Results ، روی Ctrl کلیک کنید تا Probability  Density  (schr)  2 ، Potential  Energy  (schr)  1 و Effective  Mass  (schr)  1 را انتخاب کنید . | 
| 2 | کلیک راست کرده و Delete را انتخاب کنید . | 
نمودار خلاصه انتقال
| 1 | در پنجره Model  Builder ، در بخش Results روی Potential  Energy,  Energy,  and  Wave  Function  (schr) کلیک کنید . | 
| 2 | در پنجره تنظیمات برای گروه طرح 1 بعدی  ، نمودار خلاصه انتقال را در قسمت نوشتار برچسب تایپ کنید . | 
| 3 | قسمت Data را پیدا کنید . از لیست انتخاب پارامتر  (E0) ، دستی را انتخاب کنید . | 
| 4 | در قسمت متنی شاخصهای پارامتر  (1-97) ، 17 33 49 65 81 را تایپ کنید . | 
| 5 | قسمت عنوان را پیدا کنید . از لیست نوع عنوان  ، دستی را انتخاب کنید . | 
| 6 | در قسمت Title text، Summary plot را برای مشکل پراکندگی تایپ کنید . | 
| 7 | قسمت Plot  Settings را پیدا کنید . | 
| 8 | چک باکس x-axis  label را انتخاب کنید . در قسمت متن مرتبط، X (nm) را تایپ کنید . | 
| 9 | کادر بررسی برچسب محور y  را انتخاب کنید . در قسمت متن مرتبط، Energy (eV) را تایپ کنید . | 
| 10 | قسمت Legend را پیدا کنید . تیک Show  legends را پاک کنید . | 
| 11 | در نوار ابزار طرح خلاصه انتقال ، روی   Plot کلیک کنید .  | 
اولین، سومین و آخرین انرژی ترسیم شده به عنوان سه انرژی تونل زنی رزونانس انتخاب می شوند. مشاهده می شود که توابع موج در این انرژی ها شبیه توابع ویژه مطالعه قبلی است، که باید. انرژی های رسم شده دوم و چهارم بین انرژی های تونل زنی تشدید هستند. از پروفایل توابع موج می توان دریافت که ضریب انتقال در این انرژی ها بسیار کم است.
ما همچنین می توانیم ضرایب انتقال و بازتاب را به عنوان تابعی از انرژی رسم کنیم و با نتایج تحلیلی مقایسه کنیم.
بازتاب و انتقال در مقابل انرژی
| 1 | در نوار ابزار صفحه اصلی ، روی   Add  Plot  Group کلیک کنید و 1D  Plot  Group را انتخاب کنید . | 
| 2 | در پنجره تنظیمات برای گروه طرح 1 بعدی  ، Reflection & Transmission vs Energy را در قسمت نوشتاری Label تایپ کنید . | 
| 3 | قسمت Data را پیدا کنید . از فهرست مجموعه داده ، مطالعه  4  انتقال  در مقابل  انرژی/راه حل  12  (sol12) را انتخاب کنید . | 
جهانی 1
| 1 | روی Reflection  &  Transmission  vs.  Energy کلیک راست کرده و Global را انتخاب کنید . | 
| 2 | در پنجره تنظیمات برای جهانی ، بخش y-Axis  Data را پیدا کنید . | 
| 3 | در جدول تنظیمات زیر را وارد کنید: | 
| اصطلاح | واحد | شرح | 
| abs(schr.open3.int(psi/schr.psiI)-1)^2 | 1 | ضریب بازتاب. | 
| abs(schr.open1.int(psi)/psi0)^2 | 1 | ضریب انتقال | 
| 4 | قسمت x-Axis  Data را پیدا کنید . از لیست واحد ، eV را انتخاب کنید . | 
| 5 | در نوار ابزار Reflection & Transmission vs. Energy ، روی   Plot کلیک کنید . | 
| 6 |  روی دکمه y-Axis  Log  Scale در نوار ابزار Graphics کلیک کنید . | 
بازتاب و انتقال در مقابل انرژی
| 1 | در پنجره Model  Builder ، روی Reflection  &  Transmission  vs.  Energy کلیک کنید . | 
| 2 | در پنجره تنظیمات برای گروه طرح 1 بعدی  ، بخش عنوان را پیدا کنید . | 
| 3 | از لیست نوع عنوان  ، دستی را انتخاب کنید . | 
| 4 | در قسمت متن عنوان ، Reflection and transmission coeff را تایپ کنید. در مقابل انرژی | 
| 5 | قسمت Plot  Settings را پیدا کنید . | 
| 6 | چک باکس x-axis  label را انتخاب کنید . در قسمت متن مرتبط، Energy (eV) را تایپ کنید . | 
| 7 | کادر بررسی برچسب محور y  را انتخاب کنید . در قسمت متن مرتبط، Reflection and transmission coeff را تایپ کنید. . | 
| 8 | قسمت Legend را پیدا کنید . از لیست موقعیت ، پایین  سمت راست را انتخاب کنید . | 
قله های بسیار تیز در انتقال مربوط به شرایط تونل زنی به وضوح در طرح دیده می شود.
اکنون ضرایب انتقال تحلیلی را وارد کرده و آنها را روی همان نمودار رسم کنید تا با نتایج عددی مقایسه شود.
ضرایب انتقال تحلیلی
| 1 | در نوار ابزار نتایج ، روی   جدول کلیک کنید . | 
| 2 | در پنجره تنظیمات جدول ، ضرایب انتقال تحلیلی را در قسمت نوشتار برچسب تایپ کنید . | 
| 3 | قسمت Data را پیدا کنید . روی Import کلیک کنید . | 
| 4 | به پوشه Application Libraries مدل بروید و روی فایل double_barrier_1d_anal.csv دوبار کلیک کنید . | 
| 5 | قسمت Column  Headers را پیدا کنید . در جدول تنظیمات زیر را وارد کنید: | 
| ستون | سرتیتر | 
| 1 | E0 (eV) | 
| 2 | ضریب انتقال تحلیلی | 
جدول
| 1 | به پنجره Table بروید . | 
| 2 | روی Table  Graph در نوار ابزار پنجره کلیک کنید . | 
نتایج
نمودار جدول 1
در پنجره Model  Builder ، در Results>1D  Plot  Group  14 روی Table  Graph  1 کلیک راست کرده و Copy را انتخاب کنید .
نمودار جدول 1
در پنجره Model  Builder ، روی Reflection  &  Transmission  vs.  Energy کلیک راست کرده و Paste  Table  Graph را انتخاب کنید .
گروه طرح 1 بعدی 14
در پنجره Model  Builder ، در قسمت Results روی 1D  Plot  Group  14 کلیک راست کرده و Delete را انتخاب کنید .
نمودار جدول 1
| 1 | در پنجره Model  Builder ، در بخش Results>Reflection  &  Transmission  vs.  Energy ، روی جدول  نمودار  1 کلیک کنید . | 
| 2 | در پنجره تنظیمات برای نمودار جدول  ، قسمت Coloring and Style را پیدا کنید . | 
| 3 | زیربخش Line  style را پیدا کنید . از لیست Line ، هیچکدام را انتخاب کنید . | 
| 4 | زیربخش نشانگرهای خط  را پیدا کنید . از لیست نشانگر ، دایره را انتخاب کنید . | 
| 5 | برای گسترش بخش Legends کلیک کنید . تیک Show  legends را انتخاب کنید . | 
| 6 | در نوار ابزار Reflection & Transmission vs. Energy ، روی   Plot کلیک کنید .  | 
مشاهده می شود که ضرایب انتقال عددی و تحلیلی به خوبی مطابقت دارند.
این آموزش به صورت تدریجی ساخته شده است، با شرایط مرزی و/یا دامنه جدید برای مطالعات بعدی اضافه شده است. بنابراین در این مرحله اگر بخواهیم یکی از مطالعات قبلی را حل کنیم، ممکن است به دلیل تغییر در شرایط مرزی و/یا دامنه، پاسخ صحیح را حل نکند یا ندهد. این را می توان با غیرفعال کردن شرایط مرزی و/یا دامنه جدید ناخواسته در هر مرحله مطالعه قبلی برطرف کرد.
مطالعه 1 حالت های شبه محدود
مرحله 1: مقدار ویژه
| 1 | در پنجره Model  Builder ، در قسمت Study  1  Quasi  bound  states ، روی Step  1:  Eigenvalue کلیک کنید . | 
| 2 | در پنجره تنظیمات برای مقدار ویژه ، قسمت Physics  and  Variables  Selection را پیدا کنید . | 
| 3 | تیک Modify  model  configuration  for  study  step را انتخاب کنید . | 
| 4 | در درخت، مؤلفه  1  (comp1)>  معادله شرودینگر  (schr)>  مقادیر اولیه  2 را  برای  مطالعه وابسته به زمان  انتخاب کنید . | 
| 5 |  روی Disable کلیک کنید . | 
| 6 | در درخت، جزء  1  (comp1)>  معادله شرودینگر  (schr)> باز کردن  مرز  2 را  برای  مطالعه تونل رزونانسی  انتخاب کنید . | 
| 7 |  روی Disable کلیک کنید . | 
| 8 | در درخت، Component  1  (comp1)> Schrödinger  Equation  (schr)> Open  Boundary  3 را  برای  مطالعه انتقال  در مقابل  انرژی  انتخاب کنید . | 
| 9 |  روی Disable کلیک کنید . | 
مطالعه 2 تکامل زمانی سومین حالت شبه محدود
مرحله 1: وابسته به زمان
| 1 | در پنجره Model  Builder ، در مطالعه  2  تکامل زمانی  سومین حالت شبه محدود ، مرحله 1: وابسته به زمان را کلیک کنید . | 
| 2 | در پنجره تنظیمات مربوط به زمان  وابسته ، قسمت Physics  and  Variables  Selection را پیدا کنید . | 
| 3 | تیک Modify  model  configuration  for  study  step را انتخاب کنید . | 
| 4 | در درخت، جزء  1  (comp1)>  معادله شرودینگر  (schr)> باز کردن  مرز  2 را  برای  مطالعه تونل رزونانسی  انتخاب کنید . | 
| 5 |  روی Disable کلیک کنید . | 
| 6 | در درخت، Component  1  (comp1)> Schrödinger  Equation  (schr)> Open  Boundary  3 را  برای  مطالعه انتقال  در مقابل  انرژی  انتخاب کنید . | 
| 7 |  روی Disable کلیک کنید . | 
مطالعه 3 تونل زنی رزونانس
مرحله 1: مقدار ویژه
| 1 | در پنجره Model  Builder ، در زیر مطالعه  3  تونل زنی تشدید، روی  مرحله 1: ارزش ویژه کلیک کنید . | 
| 2 | در پنجره تنظیمات برای مقدار ویژه ، قسمت Physics  and  Variables  Selection را پیدا کنید . | 
| 3 | در درخت، Component  1  (comp1)> Schrödinger  Equation  (schr)> Open  Boundary  3 را  برای  مطالعه انتقال  در مقابل  انرژی  انتخاب کنید . | 
| 4 |  روی Disable کلیک کنید . | 
 
