آسیب شکننده در کشش تک محوری
معرفی
مدل سازی تشکیل ترک در مواد شبه شکننده مانند بتن با پدیده محلی سازی کرنش به دلیل نرم شدن مواد همراه است. در مدل المان محدود، این می تواند باعث شود که محلول به مش وابسته باشد که یک ویژگی نامطلوب است. این مدل آموزشی نحوه اجتناب از این مشکل را با استفاده از دو تکنیک تنظیم متفاوت موجود در COMSOL Multiphysics نشان میدهد.
این مثال کشش محوری یک میله را توصیف میکند، جایی که یک مدل آسیب برای محاسبه ترکهای کششی استفاده میشود.
تعریف مدل
هندسه مدل از میله ای به طول 10  سانتی متر با ارتفاع و ضخامت 2  میلی متر تشکیل شده است. تجزیه و تحلیل تحت شرایط تنش صفحه انجام می شود. به دلیل تقارن، فقط نیمی از ارتفاع مدل شده است.
در نظر گرفته می شود که میله از یک ماده شکننده با ویژگی های زیر ساخته شده است.
| • | مدول یانگ 30  گیگا پاسکال است. | 
| • | نسبت پواسون 0.2 است . | 
| • | استحکام کششی 2  مگاپاسکال است. | 
| • | انرژی شکست 60  J/m2 است . این انرژی است که در طول ایجاد یک ترک تلف می شود. فرآیند ترک با استفاده از یک مدل آسیب همسانگرد با یک متغیر آسیب مدلسازی میشود که فقط شکست کششی ماده را در نظر میگیرد. | 
یکی از انتهای میله تحت یک جابجایی فزاینده افزایش می یابد، در حالی که یک شرط مرزی غلتکی در انتهای دیگر اعمال می شود. یک شرط مرزی غلتکی نیز در لبه پایینی میله اعمال می شود که در آن تقارن در نظر گرفته شده است.
برای جلوگیری از وابستگی ناخواسته مش محلول در حین ترک خوردن، مدل آسیب باید منظم شود تا اطمینان حاصل شود که مقدار ثابتی از انرژی در طول پالایش مش یا برای سفارشات گسسته سازی مختلف تلف می شود. دو تکنیک در COMSOL Multiphysics موجود است و اینها در این مدل به عنوان مثال نشان داده شده اند:
| • | روش باند ترک | 
| • | روش گرادیان ضمنی | 
روش نوار ترک، گسسته سازی فعلی را در نظر می گیرد و مدل آسیب را به صورت محلی در هر نقطه ماده بر اساس اندازه عنصر اصلاح می کند. یک رویکرد تصفیهشدهتر، استفاده از روش گرادیان ضمنی است که عرض از پیش تعریفشده ناحیه آسیب را از طریق یک محدودکننده محلیسازی اعمال میکند. این کار با افزودن یک متغیر کرنش غیرمحلی و یک مقیاس طول داخلی به مدل آسیب انجام می شود.
یک شبکه نگاشت شده با عناصر 1 × 101 ، با توابع شکل خطی یا درجه دوم برای میدان جابجایی استفاده می شود. برای اجبار به محلی سازی کرنش، با کاهش مقاومت کششی 2.5٪، یک ضعف در وسط میله ایجاد می شود.
نتایج و بحث
چهار مطالعه برای مدلسازی ترکیبهای مختلف دستورات گسستهسازی و روشهای منظمسازی تنظیم شدهاند:
| 1 | میدان جابجایی درجه دوم با روش نوار ترک | 
| 2 | میدان جابجایی درجه دوم با روش گرادیان ضمنی | 
| 3 | میدان جابجایی خطی با روش نوار ترک | 
| 4 | میدان جابجایی خطی با روش گرادیان ضمنی | 
نمودارهای کانتور متغیر آسیب در شکل 1 برای شبیه سازی با استفاده از روش باند ترک و در شکل 2 برای شبیه سازی هایی که از روش گرادیان ضمنی استفاده می کنند نشان داده شده است. تفاوت بین دو روش منظم سازی با مقایسه این دو شکل به وضوح قابل مشاهده است. برای روش باند ترک، آسیب فقط در یک عنصر منفرد غیر صفر است. در مقابل، برای روش گرادیان ضمنی، آسیب بر روی چندین عنصر توزیع میشود. اثر این نیز در شکل 3 مشاهده می شود ، که در آن منحنی های نیرو در مقابل کرنش متوسط از هر مطالعه مقایسه شده است. برای مطالعات با استفاده از روش نوار ترک (مطالعه 1 و 3)،منحنی نیرو-تغییر شکل همان شکل نرم شدن کرنش نمایی تجویز شده توسط مدل آسیب است. از سوی دیگر، برای مطالعات 2 و 4 که از روش گرادیان ضمنی استفاده میشود، شکل منحنیهای نیرو-تغییر شکل متفاوت است، که نتیجه تکامل ناحیه آسیب در طول کشش افزایشی میله است. همچنین تفاوت هایی بین راه حل های درجه دوم و خطی وجود دارد. این اختلافات به این دلیل است که گسسته سازی مربوطه چقدر می تواند کرنش ها را در منطقه آسیب حل کند.

شکل 1: توزیع آسیب با استفاده از تنظیم باند ترک.

شکل 2: توزیع خسارت با استفاده از تنظیم ضمنی.

شکل 3: نیرو در مقابل جابجایی انتهایی تعیین شده.
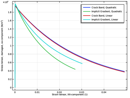
شکل 4 تنش در مقابل کرنش و تکامل متغیر آسیب در مرکز عنصر میانی را نشان می دهد. حتی اگر مدل در سطح جهانی با انرژی شکست یکسانی عرضه میشود، روشهای منظمسازی مختلف منجر به منحنیهای تنش در مقابل کرنش به طور قابلتوجهی متفاوت میشوند. همین نتیجه را می توان از مطالعه منحنی های تکامل آسیب در شکل 5 به دست آورد ، جایی که آسیب برای مدل هایی که از مدل باند ترک استفاده می کنند، به طور قابل توجهی سریعتر رشد می کند.

شکل 4: تنش در مقابل فشار در مرکز ناحیه آسیب دیده.

شکل 5: تکامل متغیر آسیب در مرکز منطقه آسیب دیده.
برای مطالعه جزئیات بیشتر پدیده محلی سازی کرنش، کرنش معادل و متغیر آسیب در امتداد نوار در شکل 6 برای مطالعات 1 و 2 (میدان جابجایی درجه دوم) و در شکل 7 ترسیم شده است.برای مطالعات 3 و 4 (میدان جابجایی خطی). هنگامی که از روش نوار ترک استفاده می شود، تمام آسیب ها و تغییر شکل ها در یک عنصر متمرکز می شوند. البته توجه داشته باشید که به خصوص برای میدان جابجایی درجه دوم، برخی آسیب های ناخواسته نیز در عناصر مجاور ظاهر می شود. برای به حداقل رساندن این اثر ناخواسته، به طور کلی توصیه می شود از درون یابی خطی برای جابجایی ها هنگام استفاده از روش نوار ترک استفاده شود. هنگام مقایسه این رفتار محلی سازی با روش گرادیان ضمنی، روش دوم یک منطقه آسیب توزیع شده را نشان می دهد. با این حال، همچنین می توان متوجه شد که میدان کرنش بسیار باریک تر است. این در واقع در شکل 2 نیز قابل مشاهده استکه در آن عناصر میانی بسیار بیشتر از عناصر به سمت لبه منطقه آسیب دیده کشیده شده اند. هنگام استفاده از روش گرادیان ضمنی، توزیع آسیب و محلیسازی کرنشها به وضوح بسیار کمتر از روش باند ترک وابسته به مش است. این را می توان با انجام یک مطالعه پالایش مش بیشتر بررسی کرد.
در نهایت، یک پیامد مهم از روش های مختلف، خواص میدان جابجایی است. در شکل 8 ، مولفه جابجایی افقی در امتداد قسمت میانی میله برای هر چهار مطالعه ترسیم شده است. می توان توجه داشت که برای هر دو مطالعه 1 و 3 (روش نوار ترک)، بیشتر جابجایی های افقی در عنصر میانی قرار دارند و مشتق آن به خوبی تعریف نشده است ( شکل 6 و شکل 7 را نیز ببینید) . با این حال، برای مطالعات 2 و 4، که در آن از روش گرادیان ضمنی استفاده میشود، هم جابجاییها و هم مشتقات آن پیوسته و به خوبی در سراسر ترک مشخص میشوند.

شکل 6: توزیع کرنش و آسیب معادل در طول میله هنگام استفاده از توابع شکل درجه دوم.

شکل 7: توزیع کرنش و آسیب معادل در طول میله هنگام استفاده از توابع شکل خطی.

شکل 8: جابجایی در امتداد میله
نکاتی درباره پیاده سازی COMSOL
از آنجایی که مواد نرم می شوند، انجام این تجزیه و تحلیل با بار تعیین شده امکان پذیر نخواهد بود. با این حال، استفاده از جابجایی تجویز شده، مشکل را حل می کند.
در این مثال، مواد در مرکز میله کمی ضعیف تر شده است. ایجاد یک مدل مانند این برای همگرایی بدون این ترفند می تواند بسیار دشوار باشد. در این مثال خاص، آسیب بر اساس دور عددی در کل نوار ظاهر شده بود و راه حل بین تکرارها به جلو و عقب می پرید. کنترل حالت های تنش همگن با مدل های مواد نرم کننده بسیار دشوار است. خوشبختانه این امر به ندرت در ساختارهای زندگی واقعی اتفاق می افتد. یک رویکرد، با برخی تفسیرهای فیزیکی، اصلاح دادههای ماده با یک تابع با توزیع فضایی تصادفی است.
مسیر کتابخانه برنامه: ماژول_غیرخطی_ساختاری_مواد /Damage/damage_test_bar
دستورالعمل مدلسازی
از منوی File ، New را انتخاب کنید .
جدید
در پنجره جدید ، روی  Model  Wizard کلیک کنید .
 Model  Wizard کلیک کنید .
 Model  Wizard کلیک کنید .
 Model  Wizard کلیک کنید .مدل جادوگر
| 1 | در پنجره Model  Wizard روی   2D کلیک کنید . | 
| 2 | در درخت Select  Physics ، Structural  Mechanics>Solid  Mechanics  (جامد) را انتخاب کنید . | 
| 3 | روی افزودن کلیک کنید . | 
| 4 |  روی مطالعه کلیک کنید . | 
| 5 | در درخت انتخاب  مطالعه ، General  Studies>Stationary را انتخاب کنید . | 
| 6 |  روی Done کلیک کنید . | 
تعاریف جهانی
پارامترهای 1
| 1 | در پنجره Model  Builder ، در قسمت Global  Definitions روی Parameters  1 کلیک کنید . | 
| 2 | در پنجره تنظیمات برای پارامترها ، بخش پارامترها را پیدا کنید . | 
| 3 | در جدول تنظیمات زیر را وارد کنید: | 
| نام | اصطلاح | ارزش | شرح | 
| L | 0.1[m] | 0.1 متر | طول میله | 
| اچ | L/50 | 0.002 متر | ضخامت میله | 
| max_average_strain | 5e-4 | 5E-4 | حداکثر کرنش متوسط | 
| میانگین_کرنش | 0 | 0 | کرنش متوسط (پارامتر بارگذاری) | 
| lscale | 0.001 [m] | 0.001 متر | مقیاس طول | 
هندسه 1
مستطیل 1 (r1)
| 1 | در نوار ابزار Geometry ، روی   Rectangle کلیک کنید . | 
| 2 | در پنجره تنظیمات برای Rectangle ، بخش Size  and  Shape را پیدا کنید . | 
| 3 | در قسمت متن Width ، L را تایپ کنید . | 
| 4 | در قسمت متن ارتفاع ، H/2 را تایپ کنید . | 
| 5 |  روی Build  All  Objects کلیک کنید . | 
برای محاسبه کل نیروی واکنش در پس پردازش، یک پارامتر ادغام اضافه کنید.
تعاریف
ادغام 1 (در اول)
| 1 | در نوار ابزار تعاریف ، روی   Nonlocal  Couplings کلیک کرده و Integration را انتخاب کنید . | 
| 2 | در پنجره تنظیمات برای ادغام ، بخش انتخاب منبع  را پیدا کنید . | 
| 3 | از لیست سطح نهاد هندسی  ، Boundary را انتخاب کنید . | 
| 4 | فقط مرز 4 را انتخاب کنید. | 
| 5 | قسمت Advanced را پیدا کنید . از لیست روش ، جمع بندی  روی  گره ها را انتخاب کنید . | 
مکانیک جامدات (جامدات)
| 1 | در پنجره Model  Builder ، در قسمت Component  1  (comp1) روی Solid  Mechanics  (solid) کلیک کنید . | 
| 2 | در پنجره تنظیمات برای مکانیک جامدات  ، بخش تقریب دو بعدی را پیدا کنید . | 
| 3 | از لیست، استرس هواپیما  را انتخاب کنید . | 
| 4 | قسمت Thickness را پیدا کنید . در قسمت متن d ، H را تایپ کنید . | 
مواد الاستیک خطی 1
در پنجره Model  Builder ، در قسمت Component  1  (comp1)> Solid  Mechanics  (solid) روی Linear  Elastic  Material  1 کلیک کنید .
آسیب: باند ترک
| 1 | در نوار ابزار Physics ، روی   Attributes کلیک کنید و Damage را انتخاب کنید . | 
| 2 | در پنجره تنظیمات مربوط به Damage ، عبارت Damage: Crack Band را در قسمت نوشتار Label تایپ کنید . | 
مواد الاستیک خطی 1
در پنجره Model  Builder ، روی Linear  Elastic  Material  1 کلیک کنید .
آسیب: گرادیان ضمنی
| 1 | در نوار ابزار Physics ، روی   Attributes کلیک کنید و Damage را انتخاب کنید . | 
| 2 | در پنجره تنظیمات برای Damage ، Damage: Implicit Gradient را در قسمت نوشتار Label تایپ کنید . | 
| 3 | قسمت Damage را پیدا کنید . زیربخش روش منظم سازی فضایی  را پیدا کنید . از لیست، گرادیان ضمنی را انتخاب کنید . | 
| 4 | در قسمت متن l int ، lscale را تایپ کنید . | 
| 5 | در قسمت متن h dmg ، 3*lscale را تایپ کنید . | 
مواد
مواد 1 (mat1)
| 1 | در پنجره Model  Builder ، در قسمت Component  1  (comp1) روی Materials راست کلیک کرده و Blank  Material را انتخاب کنید . | 
| 2 | در پنجره تنظیمات برای Material ، قسمت Material  Contents را پیدا کنید . | 
| 3 | در جدول تنظیمات زیر را وارد کنید: | 
| ویژگی | متغیر | ارزش | واحد | گروه اموال | 
| مدول یانگ | E | 30 [GPa] | پا | مدول یانگ و نسبت پواسون | 
| نسبت پواسون | نه | 0.2 | 1 | مدول یانگ و نسبت پواسون | 
| تراکم | rho | 2400 | کیلوگرم بر متر مکعب | پایه ای | 
| اوج قدرت | سیگمپ | 2[MPa] | N/m² | آسیب اسکالر | 
| انرژی شکست در هر منطقه | Gf | 60 | J/m² | آسیب اسکالر | 
استحکام کششی را در مرکز میله تا حدودی پایین بیاورید تا بتوانید محل ایجاد آسیب را کنترل کنید.
تکه ای: ضعیف شدن
| 1 | در پنجره Model  Builder ، گره Material  1  (mat1) را گسترش دهید . | 
| 2 | روی Component  1  (comp1)>Materials>Material  1  (mat1)>Scalar  damage  (sdmg) کلیک راست کرده و Functions>Piecewise را انتخاب کنید . | 
| 3 | در پنجره تنظیمات برای Piecewise ، Piecewise: Weakening را در قسمت نوشتار Label تایپ کنید . | 
| 4 | در قسمت متن نام تابع  ، ضعیف را تایپ کنید . | 
| 5 | قسمت Definition را پیدا کنید . زیربخش فواصل را پیدا کنید . در جدول تنظیمات زیر را وارد کنید: | 
| شروع کنید | پایان | تابع | 
| 0 | 0.0495 | 1 | 
| 0.0495 | 0.0505 | 0.975 | 
| 0.0505 | .1 | 1 | 
| 6 | قسمت Units را پیدا کنید . در قسمت متن Arguments ، m را تایپ کنید . | 
| 7 | در قسمت Function text، 1 را تایپ کنید . | 
مواد 1 (mat1)
| 1 | در پنجره Model  Builder ، در قسمت Component  1  (comp1)>Materials>Material  1  (mat1) روی Scalar  damage  (sdmg) کلیک کنید . | 
| 2 | در پنجره تنظیمات برای آسیب اسکالر  ، قسمت ویژگی های خروجی را پیدا کنید . | 
| 3 | در جدول تنظیمات زیر را وارد کنید: | 
| ویژگی | متغیر | اصطلاح | واحد | اندازه | 
| اوج قدرت | سیگمپ | 2[MPa]*ضعیف (X) | N/m² | 1×1 | 
مکانیک جامدات (جامدات)
غلتک 1
| 1 | در نوار ابزار Physics ، روی   Boundaries کلیک کنید و Roller را انتخاب کنید . | 
| 2 | فقط مرزهای 1 و 2 را انتخاب کنید. | 
جابجایی تجویز شده 1
| 1 | در نوار ابزار Physics ، روی   Boundaries کلیک کنید و Prescribed  Displacement را انتخاب کنید . | 
| 2 | فقط مرز 4 را انتخاب کنید. | 
| 3 | در پنجره تنظیمات برای جابجایی تجویز شده  ، بخش جابجایی تجویز شده را پیدا کنید . | 
| 4 | تیک Prescribed  in  x  direction را انتخاب کنید . | 
| 5 | در قسمت متنی u 0 x ، L*average_strain را تایپ کنید .   | 
مش 1
نقشه برداری 1
در نوار ابزار Mesh ، روی  Mapped کلیک کنید .
 Mapped کلیک کنید .
 Mapped کلیک کنید .
 Mapped کلیک کنید .توزیع 1
| 1 | روی Mapped  1 کلیک راست کرده و Distribution را انتخاب کنید . | 
| 2 | فقط مرز 2 را انتخاب کنید. | 
| 3 | در پنجره تنظیمات برای توزیع ، بخش توزیع را پیدا کنید . | 
| 4 | در قسمت متنی Number  of  Elements ، عدد 101 را تایپ کنید . | 
کرک باند، درجه دوم
| 1 | در پنجره Model  Builder ، روی Study  1 کلیک کنید . | 
| 2 | در پنجره تنظیمات برای مطالعه ، Crack Band, Quadratic را در قسمت نوشتار Label تایپ کنید . | 
مرحله 1: ثابت
| 1 | در پنجره Model  Builder ، در زیر کرک  باند،  مرحله 1: Stationary را کلیک کنید . | 
| 2 | در پنجره تنظیمات برای Stationary ، برای گسترش بخش Study  Extensions کلیک کنید . | 
| 3 | کادر بررسی جارو کمکی  را انتخاب کنید . | 
| 4 |  روی افزودن کلیک کنید . | 
| 5 | در جدول تنظیمات زیر را وارد کنید: | 
| نام پارامتر | لیست مقادیر پارامتر | واحد پارامتر | 
| average_strain (کرنش متوسط (پارامتر بارگذاری)) | محدوده (0,0.01,1)*max_average_strain | 
| 6 | قسمت Physics  and  Variables  Selection را پیدا کنید . تیک Modify  model  configuration  for  study  step را انتخاب کنید . | 
| 7 | در درخت، Component  1  (comp1)>Solid  Mechanics  (solid)>Linear  Elastic  Material  1>Damage:  Implicit  Gradient را انتخاب کنید . | 
| 8 | کلیک راست کرده و Disable را انتخاب کنید . | 
راه حل 1 (sol1)
| 1 | در نوار ابزار مطالعه ، روی   Show  Default  Solver کلیک کنید . | 
اگر یافتن راهحل دشوار است، قدمهای کوچکتری بگذارید.
| 2 | در پنجره Model  Builder ، گره Solution  1  (sol1) را گسترش دهید . | 
| 3 | در پنجره Model  Builder ، نوار کرک  ،  Quadratic>Solver  Configurations>Solution  1  (sol1)>Stationary  Solver  1 را گسترش دهید ، سپس روی Parametric  1 کلیک کنید . | 
| 4 | در پنجره تنظیمات برای پارامتر ، برای گسترش بخش ادامه کلیک کنید . | 
| 5 | تیک گزینه Tuning  of  step  size را انتخاب کنید . | 
| 6 | در قسمت متنی Minimum  step  size ، 1e-5*max_average_strain را تایپ کنید . | 
| 7 | در قسمت متنی Initial  step  size ، 0.01*max_average_strain را تایپ کنید . | 
| 8 | در پنجره Model  Builder ، در قسمت Crack  Band,  Quadratic>Solver  Configurations>Solution  1  (sol1) روی Dependent  Variables  1 کلیک کنید . | 
| 9 | در پنجره تنظیمات برای متغیرهای وابسته  ، بخش Scaling را پیدا کنید . | 
| 10 | از لیست روش ، دستی را انتخاب کنید . | 
| 11 | در قسمت متن مقیاس ، 1.0e-4 را تایپ کنید . | 
| 12 | در نوار ابزار مطالعه ،   روی محاسبه کلیک کنید . | 
| 13 | در نوار ابزار صفحه اصلی ، روی   Add  Predefined  Plot کلیک کنید . | 
طرح از پیش تعریف شده را اضافه کنید
| 1 | به پنجره Add  Predefined  Plot بروید . | 
| 2 | در درخت، Crack  Band,  Quadratic/Solution  1  (sol1)>Solid  Mechanics>Damage  (solid) را انتخاب کنید . | 
| 3 | روی Add  Plot در نوار ابزار پنجره کلیک کنید . | 
| 4 | در نوار ابزار صفحه اصلی ، روی   Add  Predefined  Plot کلیک کنید . | 
نتایج
آسیب: باند ترک
| 1 | در پنجره Model  Builder ، در بخش Results روی Damage  (solid) کلیک کنید . | 
| 2 | در پنجره تنظیمات برای گروه طرح دو بعدی  ، Damage: Crack Band را در قسمت نوشتار برچسب تایپ کنید . | 
| 3 | برای گسترش بخش عنوان کلیک کنید . از لیست نوع عنوان  ، Label را انتخاب کنید . | 
| 4 | قسمت Plot  Settings را پیدا کنید . کادر بررسی لبه های مجموعه داده Plot را  پاک کنید . | 
سطح 1
| 1 | در پنجره Model  Builder ، گره Damage:  Crack  Band را گسترش دهید ، سپس روی Surface  1 کلیک کنید . | 
| 2 | در پنجره تنظیمات برای Surface ، روی قسمت Quality کلیک کنید . | 
| 3 | از لیست Resolution ، Custom را انتخاب کنید . | 
| 4 | در قسمت Element  refinement text، 2 را تایپ کنید . | 
تغییر شکل 1
| 1 | روی Surface  1 کلیک راست کرده و Deformation را انتخاب کنید . | 
| 2 | در پنجره تنظیمات برای تغییر شکل ، بخش مقیاس را پیدا کنید . | 
| 3 | چک باکس Scale  factor را انتخاب کنید . در فیلد متن مرتبط، 100 را تایپ کنید . | 
مش 1
| 1 | در پنجره Model  Builder ، روی Damage:  Crack  Band راست کلیک کرده و Mesh را انتخاب کنید . | 
| 2 | در پنجره تنظیمات مش ، قسمت Coloring  and  Style را پیدا کنید . | 
| 3 | از لیست رنگ عنصر  ، هیچکدام را انتخاب کنید . | 
| 4 | از لیست رنگ Wireframe  ، سفید را انتخاب کنید . | 
| 5 | برای گسترش بخش Inherit  Style کلیک کنید . از لیست Plot ، Surface  1 را انتخاب کنید . | 
تغییر شکل 1
| 1 | روی Mesh  1 کلیک راست کرده و Deformation را انتخاب کنید . | 
| 2 | در نوار ابزار Damage: Crack Band ، روی   Plot کلیک کنید . | 
اضافه کردن مطالعه
| 1 | در نوار ابزار Home ، روی   Add  Study کلیک کنید تا پنجره Add  Study باز شود . | 
| 2 | به پنجره Add  Study بروید . | 
| 3 | زیربخش مطالعات را پیدا کنید . در درخت انتخاب  مطالعه ، General  Studies>Stationary را انتخاب کنید . | 
| 4 | کلیک راست کرده و Add  Study را انتخاب کنید . | 
| 5 | در نوار ابزار Home ، روی   Add  Study کلیک کنید تا پنجره Add  Study بسته شود . | 
مطالعه 2
مرحله 1: ثابت
| 1 | در پنجره تنظیمات برای Stationary ، بخش Study  Extensions را پیدا کنید . | 
| 2 | کادر بررسی جارو کمکی  را انتخاب کنید . | 
| 3 |  روی افزودن کلیک کنید . | 
| 4 | در جدول تنظیمات زیر را وارد کنید: | 
| نام پارامتر | لیست مقادیر پارامتر | واحد پارامتر | 
| average_strain (کرنش متوسط (پارامتر بارگذاری)) | محدوده (0,0.01,1)*max_average_strain | 
راه حل 2 (sol2)
| 1 | در نوار ابزار مطالعه ، روی   Show  Default  Solver کلیک کنید . | 
| 2 | در پنجره Model  Builder ، گره Solution  2  (sol2) را گسترش دهید . | 
| 3 | در پنجره Model  Builder ، گره Study  2>Solver  Configurations>Solution  2  (sol2)>Stationary  Solver  1 را گسترش دهید ، سپس روی Parametric  1 کلیک کنید . | 
| 4 | در پنجره تنظیمات برای Parametric ، بخش Continuation را پیدا کنید . | 
| 5 | تیک گزینه Tuning  of  step  size را انتخاب کنید . | 
| 6 | در قسمت متنی Minimum  step  size ، 1e-5*max_average_strain را تایپ کنید . | 
| 7 | در قسمت متنی Initial  step  size ، 0.01*max_average_strain را تایپ کنید . | 
| 8 | در پنجره Model  Builder ، در قسمت Study  2>Solver  Configurations>Solution  2  (sol2) روی Dependent  Variables  1 کلیک کنید . | 
| 9 | در پنجره تنظیمات برای متغیرهای وابسته  ، بخش Scaling را پیدا کنید . | 
| 10 | از لیست روش ، دستی را انتخاب کنید . | 
| 11 | در قسمت متن مقیاس ، 1.0e-4 را تایپ کنید . | 
| 12 | در پنجره Model  Builder ، روی Study  2 کلیک کنید . | 
| 13 | در پنجره تنظیمات برای مطالعه ، قسمت تنظیمات مطالعه  را پیدا کنید . | 
| 14 | تیک Generate  defaults defaults را  پاک کنید . | 
| 15 | در قسمت Label text Gradient Implicit, Quadratic را تایپ کنید . | 
| 16 | در نوار ابزار مطالعه ،   روی محاسبه کلیک کنید . | 
دو مطالعه را تکرار کنید، اما با ترتیب شکل خطی برای عناصر.
| 17 |  روی دکمه Show  More  Options در نوار ابزار Model Builder کلیک کنید . | 
| 18 | در کادر محاورهای Show  More  Options ، در درخت، کادر را برای گره Physics>Advanced  Physics  Options انتخاب کنید . | 
| 19 | روی OK کلیک کنید . | 
مکانیک جامدات (جامدات)
گسسته سازی خطی
| 1 | در نوار ابزار Physics ، روی   Global کلیک کنید و Discretization را انتخاب کنید . | 
| 2 | در پنجره تنظیمات برای Discretization ، بخش Discretization را پیدا کنید . | 
| 3 | از لیست فیلد Displacement  ، خطی را انتخاب کنید . | 
| 4 | در قسمت نوشتار Label ، Discretization Linear را تایپ کنید . | 
اضافه کردن مطالعه
| 1 | در نوار ابزار Home ، روی   Add  Study کلیک کنید تا پنجره Add  Study باز شود . | 
| 2 | به پنجره Add  Study بروید . | 
| 3 | زیربخش مطالعات را پیدا کنید . در درخت انتخاب  مطالعه ، General  Studies>Stationary را انتخاب کنید . | 
| 4 | کلیک راست کرده و Add  Study را انتخاب کنید . | 
| 5 | در نوار ابزار Home ، روی   Add  Study کلیک کنید تا پنجره Add  Study بسته شود . | 
مطالعه 3
مرحله 1: ثابت
| 1 | در پنجره تنظیمات برای Stationary ، بخش Study  Extensions را پیدا کنید . | 
| 2 | کادر بررسی جارو کمکی  را انتخاب کنید . | 
| 3 |  روی افزودن کلیک کنید . | 
| 4 | در جدول تنظیمات زیر را وارد کنید: | 
| نام پارامتر | لیست مقادیر پارامتر | واحد پارامتر | 
| average_strain (کرنش متوسط (پارامتر بارگذاری)) | محدوده (0,0.01,1)*max_average_strain | 
| 5 | قسمت Physics  and  Variables  Selection را پیدا کنید . تیک Modify  model  configuration  for  study  step را انتخاب کنید . | 
| 6 | در درخت، Component  1  (comp1)>Solid  Mechanics  (solid)>Linear  Elastic  Material  1>Damage:  Implicit  Gradient را انتخاب کنید . | 
| 7 | کلیک راست کرده و Disable را انتخاب کنید . | 
| 8 | در درخت، Component  1  (comp1)>Solid  Mechanics  (solid) را انتخاب کنید . | 
| 9 | از لیست Discretization ، Discretization  Linear را انتخاب کنید . | 
راه حل 3 (sol3)
| 1 | در نوار ابزار مطالعه ، روی   Show  Default  Solver کلیک کنید . | 
| 2 | در پنجره Model  Builder ، گره Solution  3  (sol3) را گسترش دهید . | 
| 3 | در پنجره Model  Builder ، گره Study  3>Solver  Configurations>Solution  3  (sol3)>Stationary  Solver  1 را گسترش دهید ، سپس روی Parametric  1 کلیک کنید . | 
| 4 | در پنجره تنظیمات برای Parametric ، بخش Continuation را پیدا کنید . | 
| 5 | تیک گزینه Tuning  of  step  size را انتخاب کنید . | 
| 6 | در قسمت متنی Minimum  step  size ، 1e-5*max_average_strain را تایپ کنید . | 
| 7 | در قسمت متنی Initial  step  size ، 0.01*max_average_strain را تایپ کنید . | 
| 8 | در پنجره Model  Builder ، در قسمت Study  3>Solver  Configurations>Solution  3  (sol3) روی Dependent  Variables  1 کلیک کنید . | 
| 9 | در پنجره تنظیمات برای متغیرهای وابسته  ، بخش Scaling را پیدا کنید . | 
| 10 | از لیست روش ، دستی را انتخاب کنید . | 
| 11 | در قسمت متن مقیاس ، 1.0e-4 را تایپ کنید . | 
| 12 | در پنجره Model  Builder ، روی Study  3 کلیک کنید . | 
| 13 | در پنجره تنظیمات برای مطالعه ، قسمت تنظیمات مطالعه  را پیدا کنید . | 
| 14 | تیک Generate  defaults defaults را  پاک کنید . | 
| 15 | در قسمت نوشتار Label ، Crack Band, Linear را تایپ کنید . | 
| 16 | در نوار ابزار مطالعه ،   روی محاسبه کلیک کنید . | 
اضافه کردن مطالعه
| 1 | در نوار ابزار مطالعه ، روی   Add  Study کلیک کنید تا پنجره Add  Study باز شود . | 
| 2 | به پنجره Add  Study بروید . | 
| 3 | زیربخش مطالعات را پیدا کنید . در درخت انتخاب  مطالعه ، General  Studies>Stationary را انتخاب کنید . | 
| 4 | کلیک راست کرده و Add  Study را انتخاب کنید . | 
| 5 | در نوار ابزار مطالعه ، روی   Add  Study کلیک کنید تا پنجره Add  Study بسته شود . | 
مطالعه 4
مرحله 1: ثابت
| 1 | در پنجره تنظیمات برای Stationary ، بخش Physics  and  Variables  Selection را پیدا کنید . | 
| 2 | تیک Modify  model  configuration  for  study  step را انتخاب کنید . | 
| 3 | در درخت، Component  1  (comp1)>Solid  Mechanics  (solid) را انتخاب کنید . | 
| 4 | از لیست Discretization ، Discretization  Linear را انتخاب کنید . | 
| 5 | قسمت Study  Extensions را پیدا کنید . کادر بررسی جارو کمکی  را انتخاب کنید . | 
| 6 |  روی افزودن کلیک کنید . | 
| 7 | در جدول تنظیمات زیر را وارد کنید: | 
| نام پارامتر | لیست مقادیر پارامتر | واحد پارامتر | 
| average_strain (کرنش متوسط (پارامتر بارگذاری)) | محدوده (0,0.01,1)*max_average_strain | 
راه حل 4 (sol4)
| 1 | در نوار ابزار مطالعه ، روی   Show  Default  Solver کلیک کنید . | 
| 2 | در پنجره Model  Builder ، گره Solution  4  (sol4) را گسترش دهید . | 
| 3 | در پنجره Model  Builder ، گره Study  4>Solver  Configurations>Solution  4  (sol4)>Stationary  Solver  1 را گسترش دهید ، سپس روی Parametric  1 کلیک کنید . | 
| 4 | در پنجره تنظیمات برای Parametric ، بخش Continuation را پیدا کنید . | 
| 5 | تیک گزینه Tuning  of  step  size را انتخاب کنید . | 
| 6 | در قسمت متنی Minimum  step  size ، 1e-5*max_average_strain را تایپ کنید . | 
| 7 | در قسمت متنی Initial  step  size ، 0.01*max_average_strain را تایپ کنید . | 
| 8 | در پنجره Model  Builder ، در قسمت Study  4>Solver  Configurations>Solution  4  (sol4) روی Dependent  Variables  1 کلیک کنید . | 
| 9 | در پنجره تنظیمات برای متغیرهای وابسته  ، بخش Scaling را پیدا کنید . | 
| 10 | از لیست روش ، دستی را انتخاب کنید . | 
| 11 | در قسمت متن مقیاس ، 1.0e-4 را تایپ کنید . | 
| 12 | در پنجره Model  Builder ، روی Study  4 کلیک کنید . | 
| 13 | در پنجره تنظیمات برای مطالعه ، قسمت تنظیمات مطالعه  را پیدا کنید . | 
| 14 | تیک Generate  defaults defaults را  پاک کنید . | 
| 15 | در قسمت Label text Gradient Implicit, Linear را تایپ کنید . | 
| 16 | در نوار ابزار مطالعه ،   روی محاسبه کلیک کنید . | 
نتایج
حاشیه نویسی 1
| 1 | در پنجره Model  Builder ، روی Damage:  Crack  Band کلیک راست کرده و Annotation را انتخاب کنید . | 
| 2 | در پنجره تنظیمات برای حاشیه نویسی ، بخش حاشیه نویسی را پیدا کنید . | 
| 3 | در قسمت متن متن ، ترتیب شکل درجه دوم را تایپ کنید . | 
| 4 | قسمت Position را پیدا کنید . در قسمت متن Y ، 2*H را تایپ کنید . | 
| 5 | قسمت Coloring  and  Style را پیدا کنید . تیک Show  point را پاک کنید . | 
| 6 | در نوار ابزار Damage: Crack Band ، روی   Plot کلیک کنید . | 
حاشیه نویسی 1، مش 1، سطح 1
| 1 | در پنجره Model Builder ، در Results>Damage: Crack Band ، روی Ctrl کلیک کنید تا Surface  1 ، Mesh  1 و Annotation  1 را انتخاب کنید . | 
| 2 | کلیک راست کرده و Duplicate را انتخاب کنید . | 
سطح 2
| 1 | در پنجره تنظیمات برای Surface ، بخش Data را پیدا کنید . | 
| 2 | از لیست Dataset ، Crack  Band,  Linear/Solution  3  (sol3) را انتخاب کنید . | 
| 3 | برای گسترش بخش Inherit  Style کلیک کنید . از لیست Plot ، Surface  1 را انتخاب کنید . | 
تغییر شکل 1
| 1 | در پنجره Model  Builder ، گره Surface  2 را گسترش دهید ، سپس روی Deformation  1 کلیک کنید . | 
| 2 | در پنجره تنظیمات برای تغییر شکل ، بخش Expression را پیدا کنید . | 
| 3 | در قسمت متن Y-component ، v+4*H/100 را تایپ کنید . | 
مش 2
| 1 | در پنجره Model  Builder ، در Results>Damage:  Crack  Band روی Mesh  2 کلیک کنید . | 
| 2 | در پنجره تنظیمات برای Mesh ، قسمت Data را پیدا کنید . | 
| 3 | از لیست Dataset ، Crack  Band,  Linear/Solution  3  (sol3) را انتخاب کنید . | 
تغییر شکل 1
| 1 | در پنجره Model  Builder ، گره Mesh  2 را گسترش دهید ، سپس روی تغییر شکل  1 کلیک کنید . | 
| 2 | در پنجره تنظیمات برای تغییر شکل ، بخش Expression را پیدا کنید . | 
| 3 | در قسمت متن Y-component ، v+4*H/100 را تایپ کنید . | 
حاشیه نویسی 2
| 1 | در پنجره Model  Builder ، در Results>Damage:  Crack  Band روی Annotation  2 کلیک کنید . | 
| 2 | در پنجره تنظیمات برای حاشیه نویسی ، بخش حاشیه نویسی را پیدا کنید . | 
| 3 | در قسمت متن متن ، ترتیب شکل خطی را تایپ کنید . | 
| 4 | قسمت Position را پیدا کنید . در قسمت متن Y ، 6*H را تایپ کنید . | 
| 5 | در نوار ابزار Damage: Crack Band ، روی   Plot کلیک کنید . | 
| 6 |  روی دکمه Zoom  Extents در نوار ابزار Graphics کلیک کنید . | 
آسیب: گرادیان ضمنی
| 1 | در پنجره Model  Builder ، روی Damage:  Crack  Band راست کلیک کرده و Duplicate را انتخاب کنید . | 
| 2 | در پنجره تنظیمات برای گروه طرح دوبعدی  ، Damage: Implicit Gradient را در قسمت نوشتار Label تایپ کنید . | 
| 3 | قسمت Data را پیدا کنید . از لیست Dataset ، Gradient ضمنی ،  Quadratic/Solution 2 (sol2) را انتخاب کنید . | 
سطح 2
| 1 | در پنجره Model  Builder ، گره Damage:  Implicit  Gradient را گسترش دهید ، سپس روی Surface  2 کلیک کنید . | 
| 2 | در پنجره تنظیمات برای Surface ، بخش Data را پیدا کنید . | 
| 3 | از لیست Dataset ، Gradient ضمنی ،  Linear/Solution 4 (sol4) را انتخاب کنید . | 
مش 2
| 1 | در پنجره Model  Builder ، روی Mesh  2 کلیک کنید . | 
| 2 | در پنجره تنظیمات برای Mesh ، قسمت Data را پیدا کنید . | 
| 3 | از لیست Dataset ، Gradient ضمنی ،  Linear/Solution 4 (sol4) را انتخاب کنید . | 
| 4 | در نوار ابزار Damage: Implicit Gradient ، روی   Plot کلیک کنید . | 
نیروی محوری
| 1 | در نوار ابزار صفحه اصلی ، روی   Add  Plot  Group کلیک کنید و 1D  Plot  Group را انتخاب کنید . | 
| 2 | در پنجره تنظیمات برای گروه طرح 1 بعدی  ، نیروی محوری را در قسمت متن برچسب تایپ کنید . | 
جهانی 1
| 1 | در نوار ابزار Axial Force ، روی   Global کلیک کنید . | 
| 2 | در پنجره تنظیمات برای جهانی ، بخش y-Axis  Data را پیدا کنید . | 
| 3 | در جدول تنظیمات زیر را وارد کنید: | 
| اصطلاح | واحد | شرح | 
| intop1 (solid.RFx) | ن | زور | 
| 4 | برای گسترش بخش Coloring  and  Style کلیک کنید . از لیست Width ، 2 را انتخاب کنید . | 
| 5 | برای گسترش بخش Legends کلیک کنید . از فهرست Legends ، Manual را انتخاب کنید . | 
| 6 | در جدول تنظیمات زیر را وارد کنید: | 
| افسانه ها | 
| کرک باند، درجه دوم | 
جهانی 2
| 1 | روی Global  1 کلیک راست کرده و Duplicate را انتخاب کنید . | 
| 2 | در پنجره تنظیمات برای جهانی ، بخش داده را پیدا کنید . | 
| 3 | از لیست Dataset ، Gradient ضمنی ،  Quadratic/Solution 2 (sol2) را انتخاب کنید . | 
| 4 | قسمت Legends را پیدا کنید . در جدول تنظیمات زیر را وارد کنید: | 
| افسانه ها | 
| گرادیان ضمنی، درجه دوم | 
جهانی 3
| 1 | روی Global  2 کلیک راست کرده و Duplicate را انتخاب کنید . | 
| 2 | در پنجره تنظیمات برای جهانی ، بخش داده را پیدا کنید . | 
| 3 | از لیست Dataset ، Crack  Band,  Linear/Solution  3  (sol3) را انتخاب کنید . | 
| 4 | قسمت Legends را پیدا کنید . در جدول تنظیمات زیر را وارد کنید: | 
| افسانه ها | 
| باند کرک، خطی | 
جهانی 4
| 1 | روی Global  3 کلیک راست کرده و Duplicate را انتخاب کنید . | 
| 2 | در پنجره تنظیمات برای جهانی ، بخش داده را پیدا کنید . | 
| 3 | از لیست Dataset ، Gradient ضمنی ،  Linear/Solution 4 (sol4) را انتخاب کنید . | 
| 4 | قسمت Legends را پیدا کنید . در جدول تنظیمات زیر را وارد کنید: | 
| افسانه ها | 
| گرادیان ضمنی، خطی | 
نیروی محوری
| 1 | در پنجره Model  Builder ، روی Axial  Force کلیک کنید . | 
| 2 | در پنجره تنظیمات برای گروه طرح 1 بعدی  ، برای گسترش بخش عنوان کلیک کنید . | 
| 3 | از لیست نوع عنوان  ، هیچکدام را انتخاب کنید . | 
| 4 | قسمت Plot  Settings را پیدا کنید . | 
| 5 | چک باکس x-axis  label را انتخاب کنید . در فیلد متن مرتبط، Average strain را تایپ کنید . | 
| 6 | در نوار ابزار Axial Force ، روی   Plot کلیک کنید . | 
نقطه برش: مطالعه 1
| 1 | در نوار ابزار نتایج ، بر روی   Cut  Point  2D کلیک کنید . | 
| 2 | در پنجره تنظیمات برای Cut  Point  2D ، بخش Point  Data را پیدا کنید . | 
| 3 | در قسمت متن X ، L/2 را تایپ کنید . | 
| 4 | در قسمت متن Y عدد 0 را تایپ کنید . | 
| 5 | در قسمت Label text، Cut Point: Study 1 را تایپ کنید . | 
نقطه برش: مطالعه 2
| 1 | بر روی Cut  Point:  Study  1 کلیک راست کرده و Duplicate را انتخاب کنید . | 
| 2 | در پنجره تنظیمات برای Cut  Point  2D ، Cut Point: Study 2 را در قسمت نوشتار Label تایپ کنید . | 
| 3 | قسمت Data را پیدا کنید . از لیست Dataset ، Gradient ضمنی ،  Quadratic/Solution 2 (sol2) را انتخاب کنید . | 
نقطه برش: مطالعه 3
| 1 | روی Cut  Point:  Study  2 کلیک راست کرده و Duplicate را انتخاب کنید . | 
| 2 | در پنجره تنظیمات برای Cut  Point  2D ، Cut Point: Study 3 را در قسمت نوشتار Label تایپ کنید . | 
| 3 | قسمت Data را پیدا کنید . از لیست Dataset ، Crack  Band,  Linear/Solution  3  (sol3) را انتخاب کنید . | 
نقطه برش: مطالعه 4
| 1 | بر روی Cut  Point:  Study  3 کلیک راست کرده و Duplicate را انتخاب کنید . | 
| 2 | در پنجره تنظیمات برای Cut  Point  2D ، Cut Point: Study 4 را در قسمت نوشتار Label تایپ کنید . | 
| 3 | قسمت Data را پیدا کنید . از لیست Dataset ، Gradient ضمنی ،  Linear/Solution 4 (sol4) را انتخاب کنید . | 
استرس آسیب دیده در مقابل فشار
| 1 | در نوار ابزار نتایج ، روی   1D  Plot  Group کلیک کنید . | 
| 2 | در پنجره تنظیمات برای گروه طرح 1 بعدی  ، استرس آسیب دیده در مقابل فشار را در قسمت نوشتار برچسب تایپ کنید . | 
| 3 | قسمت عنوان را پیدا کنید . از لیست نوع عنوان  ، هیچکدام را انتخاب کنید . | 
نمودار نقطه 1
| 1 | روی Damaged  Stress  vs.  Strain کلیک راست کرده و Point  Graph را انتخاب کنید . | 
| 2 | در پنجره تنظیمات برای نمودار نقطه  ، بخش داده را پیدا کنید . | 
| 3 | از لیست Dataset ، Cut  Point:  Study  1 را انتخاب کنید . | 
| 4 | روی Replace  Expression در گوشه سمت راست بالای بخش y-Axis  Data کلیک کنید . از منو، Component  1  (comp1)>Solid  Mechanics>Damage>Stress  Tensor،  آسیب دیده  (  قاب فضایی)  –  N/m²>solid.sdxx  –  تانسور استرس ،  آسیب دیده، xx-component را انتخاب کنید . | 
| 5 | قسمت x-Axis  Data را پیدا کنید . از لیست Parameter ، Expression را انتخاب کنید . | 
| 6 | روی Replace  Expression در گوشه سمت راست بالای بخش x-Axis  Data کلیک کنید . از منو، Component  1  (comp1)>Solid  Mechanics>Strain>Srain  tensor  (قاب های مواد  و  هندسه  )>solid.eXX  –  Strain  tensor,  XX-component را انتخاب کنید . | 
| 7 | در نوار ابزار استرس آسیب دیده در مقابل فشار ، روی   Plot کلیک کنید . | 
| 8 | برای گسترش بخش Coloring  and  Style کلیک کنید . از لیست Width ، 2 را انتخاب کنید . | 
| 9 | برای گسترش بخش Legends کلیک کنید . تیک Show  legends را انتخاب کنید . | 
| 10 | از فهرست Legends ، Manual را انتخاب کنید . | 
| 11 | در جدول تنظیمات زیر را وارد کنید: | 
| افسانه ها | 
| کرک باند، درجه دوم | 
نمودار نقطه 2
| 1 | روی Point  Graph  1 کلیک راست کرده و Duplicate را انتخاب کنید . | 
| 2 | در پنجره تنظیمات برای نمودار نقطه  ، بخش داده را پیدا کنید . | 
| 3 | از لیست Dataset ، Cut  Point:  Study  2 را انتخاب کنید . | 
| 4 | قسمت Legends را پیدا کنید . در جدول تنظیمات زیر را وارد کنید: | 
| افسانه ها | 
| گرادیان ضمنی، درجه دوم | 
نمودار نقطه 3
| 1 | روی Point  Graph  2 کلیک راست کرده و Duplicate را انتخاب کنید . | 
| 2 | در پنجره تنظیمات برای نمودار نقطه  ، بخش داده را پیدا کنید . | 
| 3 | از لیست Dataset ، Cut  Point:  Study  3 را انتخاب کنید . | 
| 4 | قسمت Legends را پیدا کنید . در جدول تنظیمات زیر را وارد کنید: | 
| افسانه ها | 
| باند کرک، خطی | 
نمودار نقطه 4
| 1 | روی Point  Graph  3 کلیک راست کرده و Duplicate را انتخاب کنید . | 
| 2 | در پنجره تنظیمات برای نمودار نقطه  ، بخش داده را پیدا کنید . | 
| 3 | از لیست Dataset ، Cut  Point:  Study  4 را انتخاب کنید . | 
| 4 | قسمت Legends را پیدا کنید . در جدول تنظیمات زیر را وارد کنید: | 
| افسانه ها | 
| گرادیان ضمنی، خطی | 
| 5 | در نوار ابزار استرس آسیب دیده در مقابل فشار ، روی   Plot کلیک کنید . | 
تکامل آسیب
| 1 | در پنجره Model  Builder ، روی Damaged  Stress  vs.  Strain کلیک راست کرده و Duplicate را انتخاب کنید . | 
| 2 | در پنجره تنظیمات برای گروه طرح 1 بعدی  ، Damage Evolution را در قسمت متن برچسب تایپ کنید . | 
| 3 | قسمت Legend را پیدا کنید . از لیست موقعیت ، پایین  سمت راست را انتخاب کنید . | 
نمودار نقطه 1
| 1 | در پنجره Model  Builder ، گره Damage  Evolution را گسترش دهید ، سپس روی Point  Graph  1 کلیک کنید . | 
| 2 | در پنجره تنظیمات برای پوینت  گراف ، قسمت x-Axis  Data را پیدا کنید . | 
| 3 | در قسمت Expression text solid.dmg را تایپ کنید . | 
| 4 | قسمت y-Axis  Data را پیدا کنید . در قسمت Expression text solid.dmg را تایپ کنید . | 
| 5 | قسمت x-Axis  Data را پیدا کنید . از لیست Parameter ، مقدار پارامتر  را انتخاب کنید . | 
نمودار نقطه 2
| 1 | در پنجره Model  Builder ، روی Point  Graph  2 کلیک کنید . | 
| 2 | در پنجره تنظیمات نمودار نقطهای  ، بخش y-Axis Data را پیدا کنید . | 
| 3 | در قسمت Expression text solid.dmg را تایپ کنید . | 
| 4 | قسمت x-Axis  Data را پیدا کنید . از لیست Parameter ، مقدار پارامتر  را انتخاب کنید . | 
نمودار نقطه 3
| 1 | در پنجره Model  Builder ، روی Point  Graph  3 کلیک کنید . | 
| 2 | در پنجره تنظیمات نمودار نقطهای  ، بخش y-Axis Data را پیدا کنید . | 
| 3 | در قسمت Expression text solid.dmg را تایپ کنید . | 
| 4 | قسمت x-Axis  Data را پیدا کنید . از لیست Parameter ، مقدار پارامتر  را انتخاب کنید . | 
نمودار نقطه 4
| 1 | در پنجره Model  Builder ، روی Point  Graph  4 کلیک کنید . | 
| 2 | در پنجره تنظیمات نمودار نقطهای  ، بخش y-Axis Data را پیدا کنید . | 
| 3 | در قسمت Expression text solid.dmg را تایپ کنید . | 
| 4 | قسمت x-Axis  Data را پیدا کنید . از لیست Parameter ، مقدار پارامتر  را انتخاب کنید . | 
| 5 | در نوار ابزار Damage Evolution ، روی   Plot کلیک کنید . | 
بومی سازی، درجه دوم
| 1 | در نوار ابزار صفحه اصلی ، روی   Add  Plot  Group کلیک کنید و 1D  Plot  Group را انتخاب کنید . | 
| 2 | در پنجره Settings for 1D  Plot  Group ، Localization, Quadratic را در قسمت Label تایپ کنید . | 
| 3 | قسمت Data را پیدا کنید . از لیست Parameter  selection  (average_strain) Last را انتخاب کنید . | 
| 4 | قسمت عنوان را پیدا کنید . از لیست نوع عنوان  ، هیچکدام را انتخاب کنید . | 
نمودار خطی 1
| 1 | روی Localization،  Quadratic کلیک راست کرده و Line  Graph را انتخاب کنید . | 
| 2 | فقط مرز 2 را انتخاب کنید. | 
| 3 | در پنجره تنظیمات برای نمودار خط  ، روی Replace Expression در گوشه سمت راست بالای بخش y-Axis Data کلیک کنید . از منو، Component 1 ( comp1)>Solid Mechanics>Damage>solid.kappadmg را انتخاب کنید – حداکثر مقدار کرنش معادل . | 
| 4 | قسمت x-Axis  Data را پیدا کنید . از لیست Parameter ، Expression را انتخاب کنید . | 
| 5 | در قسمت Expression text، X را تایپ کنید . | 
| 6 | برای گسترش بخش Coloring  and  Style کلیک کنید . از لیست Width ، 2 را انتخاب کنید . | 
| 7 | زیربخش نشانگرهای خط  را پیدا کنید . از لیست نشانگر ، چرخه را انتخاب کنید . | 
| 8 | از لیست موقعیت یابی ، Interpolated را انتخاب کنید . | 
| 9 | در قسمت متن شماره ، 15 را تایپ کنید . | 
| 10 | برای گسترش بخش کیفیت کلیک کنید . از لیست Resolution ، بدون  پالایش را انتخاب کنید . | 
| 11 | از لیست صاف کردن ، هیچکدام را انتخاب کنید . | 
| 12 | برای گسترش بخش Legends کلیک کنید . تیک Show  legends را انتخاب کنید . | 
| 13 | از فهرست Legends ، Manual را انتخاب کنید . | 
| 14 | در جدول تنظیمات زیر را وارد کنید: | 
| افسانه ها | 
| CB: حداکثر معادله نژاد | 
| 15 | در نوار ابزار Localization, Quadratic ، روی   Plot کلیک کنید . | 
نمودار خط 2
| 1 | روی Line  Graph  1 کلیک راست کرده و Duplicate را انتخاب کنید . | 
| 2 | در پنجره تنظیمات برای نمودار خط  ، بخش داده را پیدا کنید . | 
| 3 | از لیست Dataset ، Gradient ضمنی ،  Quadratic/Solution 2 (sol2) را انتخاب کنید . | 
| 4 | از لیست Parameter  selection  (average_strain) Last را انتخاب کنید . | 
| 5 | قسمت Legends را پیدا کنید . در جدول تنظیمات زیر را وارد کنید: | 
| افسانه ها | 
| IG: حداکثر معادله نژاد | 
| 6 | در نوار ابزار Localization, Quadratic ، روی   Plot کلیک کنید . | 
نمودار خطی 1، نمودار خطی 2
| 1 | در پنجره Model Builder ، در Results>Localization، Quadratic ، Ctrl را کلیک کنید تا Line  Graph  1 و Line  Graph  2 را انتخاب کنید . | 
| 2 | کلیک راست کرده و Duplicate را انتخاب کنید . | 
نمودار خط 3
| 1 | در پنجره تنظیمات برای نمودار خط  ، روی Replace Expression در گوشه سمت راست بالای بخش y-Axis Data کلیک کنید . از منو، Component 1 (comp1)>Solid Mechanics>Damage>solid.dmg – Damage را انتخاب کنید . | 
| 2 | قسمت Legends را پیدا کنید . در جدول تنظیمات زیر را وارد کنید: | 
| افسانه ها | 
| CB: خسارت | 
نمودار خطی 4
| 1 | در پنجره Model  Builder ، روی Line  Graph  4 کلیک کنید . | 
| 2 | در پنجره تنظیمات برای نمودار خط  ، بخش y-Axis Data را پیدا کنید . | 
| 3 | در قسمت Expression text solid.dmg را تایپ کنید . | 
| 4 | قسمت Legends را پیدا کنید . در جدول تنظیمات زیر را وارد کنید: | 
| افسانه ها | 
| IG: آسیب | 
بومی سازی، درجه دوم
| 1 | در پنجره Model  Builder ، روی Localization,  Quadratic کلیک کنید . | 
| 2 | در پنجره Settings for 1D  Plot  Group ، قسمت Plot  Settings را پیدا کنید . | 
| 3 | چک باکس Two  y-axes را انتخاب کنید . | 
| 4 | در جدول، کادرهای Plot on secondary y-axis را برای نمودار  خط  3 و نمودار  خط  4 انتخاب کنید . | 
| 5 | در نوار ابزار Localization, Quadratic ، روی   Plot کلیک کنید . | 
محلی سازی، خطی
| 1 | روی Localization،  Quadratic کلیک راست کرده و Duplicate را انتخاب کنید . | 
| 2 | در پنجره تنظیمات برای گروه طرح 1 بعدی  ، Localization, Linear را در قسمت نوشتار Label تایپ کنید . | 
| 3 | قسمت Data را پیدا کنید . از لیست Dataset ، Crack  Band,  Linear/Solution  3  (sol3) را انتخاب کنید . | 
نمودار خط 2
| 1 | در پنجره Model  Builder ، Localization,  Linear node را گسترش دهید، سپس روی Line  Graph  2 کلیک کنید . | 
| 2 | در پنجره تنظیمات برای نمودار خط  ، بخش داده را پیدا کنید . | 
| 3 | از لیست Dataset ، Gradient ضمنی ،  Linear/Solution 4 (sol4) را انتخاب کنید . | 
نمودار خطی 4
| 1 | در پنجره Model  Builder ، روی Line  Graph  4 کلیک کنید . | 
| 2 | در پنجره تنظیمات برای نمودار خط  ، بخش داده را پیدا کنید . | 
| 3 | از لیست Dataset ، Gradient ضمنی ،  Linear/Solution 4 (sol4) را انتخاب کنید . | 
| 4 | در نوار ابزار Localization, Linear ، روی   Plot کلیک کنید . | 
جابجایی افقی
| 1 | در پنجره Model  Builder ، روی Localization،  Quadratic کلیک راست کرده و Duplicate را انتخاب کنید . | 
| 2 | در پنجره تنظیمات برای گروه طرح 1 بعدی  ، جابجایی افقی را در قسمت متن برچسب تایپ کنید . | 
| 3 | قسمت Plot  Settings را پیدا کنید . چک باکس Two  y-axes را پاک کنید . | 
نمودار خطی 1
| 1 | در پنجره Model  Builder ، گره Horizontal  Displacement را گسترش دهید ، سپس روی Line  Graph  1 کلیک کنید . | 
| 2 | در پنجره تنظیمات برای نمودار خط  ، بخش y-Axis Data را پیدا کنید . | 
| 3 | در قسمت Expression text، u را تایپ کنید . | 
| 4 | قسمت Legends را پیدا کنید . در جدول تنظیمات زیر را وارد کنید: | 
| افسانه ها | 
| کرک باند، درجه دوم | 
| 5 | قسمت Coloring  and  Style را پیدا کنید . زیربخش نشانگرهای خط  را پیدا کنید . از لیست موقعیت یابی ، در نقاط داده را انتخاب کنید . | 
نمودار خط 2
| 1 | در پنجره Model  Builder ، روی Line  Graph  2 کلیک کنید . | 
| 2 | در پنجره تنظیمات برای نمودار خط  ، بخش y-Axis Data را پیدا کنید . | 
| 3 | در قسمت Expression text، u را تایپ کنید . | 
| 4 | قسمت Legends را پیدا کنید . در جدول تنظیمات زیر را وارد کنید: | 
| افسانه ها | 
| گرادیان ضمنی، درجه دوم | 
| 5 | قسمت Coloring  and  Style را پیدا کنید . زیربخش نشانگرهای خط  را پیدا کنید . از لیست موقعیت یابی ، در نقاط داده را انتخاب کنید . | 
نمودار خط 3
| 1 | در پنجره Model  Builder ، روی Line  Graph  3 کلیک کنید . | 
| 2 | در پنجره تنظیمات برای نمودار خط  ، بخش داده را پیدا کنید . | 
| 3 | از لیست Dataset ، Crack  Band,  Linear/Solution  3  (sol3) را انتخاب کنید . | 
| 4 | از لیست Parameter  selection  (average_strain) Last را انتخاب کنید . | 
| 5 | قسمت y-Axis  Data را پیدا کنید . در قسمت Expression text، u را تایپ کنید . | 
| 6 | قسمت Legends را پیدا کنید . در جدول تنظیمات زیر را وارد کنید: | 
| افسانه ها | 
| باند کرک، خطی | 
| 7 | قسمت Coloring  and  Style را پیدا کنید . زیربخش نشانگرهای خط  را پیدا کنید . از لیست موقعیت یابی ، در نقاط داده را انتخاب کنید . | 
نمودار خطی 4
| 1 | در پنجره Model  Builder ، روی Line  Graph  4 کلیک کنید . | 
| 2 | در پنجره تنظیمات برای نمودار خط  ، بخش داده را پیدا کنید . | 
| 3 | از لیست Dataset ، Gradient ضمنی ،  Linear/Solution 4 (sol4) را انتخاب کنید . | 
| 4 | قسمت y-Axis  Data را پیدا کنید . در قسمت Expression text، u را تایپ کنید . | 
| 5 | قسمت Legends را پیدا کنید . در جدول تنظیمات زیر را وارد کنید: | 
| افسانه ها | 
| گرادیان ضمنی، خطی | 
| 6 | قسمت Coloring  and  Style را پیدا کنید . زیربخش نشانگرهای خط  را پیدا کنید . از لیست موقعیت یابی ، در نقاط داده را انتخاب کنید . | 
جابجایی افقی
| 1 | در پنجره Model  Builder ، روی Horizontal  Displacement کلیک کنید . | 
| 2 | در پنجره Settings for 1D  Plot  Group ، بخش Axis را پیدا کنید . | 
| 3 | تیک گزینه Manual  axis  limits را انتخاب کنید . | 
| 4 | در قسمت متن x  حداقل ، 0.04 را تایپ کنید . | 
| 5 | در قسمت حداکثر متن x ،  0.06 را تایپ کنید . | 
| 6 | قسمت Legend را پیدا کنید . از لیست موقعیت ، سمت راست میانی  را انتخاب کنید . | 
| 7 | در نوار ابزار Horizontal Displacement ، روی   Plot کلیک کنید . | 
 
