معرفی
این مثال رابط باتری لیتیوم یونی را برای مطالعه تخلیه و شارژ باتری لیتیوم یون برای مجموعه ای از خواص مواد نشان می دهد. هندسه یک بعدی و مدل همدما است. توسعه دهندگان باتری می توانند از این مدل برای بررسی تأثیر پارامترهای طراحی مختلف مانند انتخاب مواد، ابعاد و اندازه ذرات مواد فعال استفاده کنند – در این مورد، یک ماده کربن در الکترود منفی و اکسید لیتیوم منگنز (LiMn 2 ) O 4 اسپینل) در الکترود مثبت. همچنین می توانید از شبیه سازی عملکرد باتری در شرایط کاری مختلف و در دستگاه های مختلف، به عنوان مثال، تلفن های همراه یا رایانه های لپ تاپ بهره مند شوید.
این مثال یک مدل دقیق از یک چرخه تخلیه-شارژ مجدد برای یک باتری لیتیوم یون را بررسی می کند. این مدل بر اساس مطالعه ای توسط جی نیومن و دیگران است ( مراجعه 1 ).

شکل 1: مقطع یک باتری لیتیوم یونی که فرآیندهای الکتروشیمیایی را نشان می دهد که در حین کار رخ می دهد.
مدل شامل فرآیندهای زیر است:
• | هدایت جریان الکترونیکی در الکترودها |
• | انتقال بار یونی در الکترودها و الکترولیت/جداکننده |
• | انتقال مواد در الکترولیت، اجازه معرفی اثرات غلظت بر رسانایی یونی و پتانسیل بیش از حد غلظت را می دهد که در این مورد از داده های تجربی به دست می آید. |
• | انتقال مواد در ذرات کروی شکل که الکترودها را تشکیل می دهند |
• | سینتیک الکترود باتلر-ولمر با استفاده از منحنیهای تخلیه تجربی اندازهگیری شده برای پتانسیل تعادل. |
تعریف مدل
این مثال سطح مقطع باتری را به صورت 1 بعدی مدل می کند، که به این معنی است که اثرات لبه در طول و ارتفاع باتری نادیده گرفته می شود. مثال از دامنه های زیر استفاده می کند:
• | الکترود متخلخل منفی : 100 میکرومتر |
• | الکترولیت پلیمری : 52 میکرومتر |
• | الکترود متخلخل مثبت : 174 میکرومتر |
موازنه بار یونی و توازن مواد با توجه به معادلات الکترولیتهای دوتایی 1:1 مدلسازی میشوند ( مرجع 1 ). پارامترهای ماده برای الکترولیت به یک الکترولیت EC/DMC پلاستیکی شده در یک ماتریس پلیمری اشاره دارد، و کسر حجمی الکترولیت مشخص شده در مدل از این رو به مجموع کسرهای حجمی الکترولیت مایع و ماتریس پلیمری اشاره دارد.
پتانسیل الکتریکی در فاز رسانای الکترون،
با استفاده از یک موازنه بار بر اساس قانون اهم محاسبه میشود که در آن واکنشهای انتقال بار منجر به ترم منبع یا سینک میشود.
برای فاز الکترولیت الکترودهای متخلخل، رسانایی موثر، σ l eff ، استفاده می شود که تخلخل و پیچ خوردگی را همانطور که با عبارت زیر ارائه می شود در نظر می گیرد:
که γ ضریب بروژمن است، با استفاده از مقدار 3.3. انتشار به طور مشابه درمان می شود.
انتشار فیکی انتقال در ذرات کروی را توصیف می کند. معادله انتشار در مختصات کروی برای تعادل مواد لیتیوم در ذرات بیان می شود.
سینتیک الکترود باتلر-ولمر چگالی جریان انتقال بار محلی در الکترودها را توصیف می کند. عبارات Butler-Volmer به عنوان اصطلاحات منبع یا سینک در ترازهای شارژ و ترازهای مواد معرفی می شوند.
شرایط مرزی
برای تعادل جریان الکترونیکی، یک پتانسیل 0 ولت روی مرز جمع کننده/فیدر جریان الکترود منفی تنظیم شده است. در جمع کننده/فیدر جریان الکترود مثبت، چگالی جریان مشخص می شود. در این مدل، چگالی جریان از طریق تخلیه، به دنبال آن یک بازه جریان صفر و یک مرحله شارژ نهایی چرخه میشود. مرزهای داخلی رو به جداکننده برای جریان الکتریکی عایق هستند.
برای تعادل بار یونی در الکترولیت، مرزهای جمع کننده / فیدر جریان عایق هستند. شرایط مرزی عایق نیز برای ترازهای مواد اعمال می شود.
در سطح ذرات در مدل ذرات محلی، شار ماده با سرعت واکنش الکتروشیمیایی محلی تعیین می شود.
خواص مواد
خواص مواد، خواص یک باتری لیتیوم یونی معمولی است. الکترولیت شامل 2 مولار نمک LiPF 6 در حلال 1:2 EC:DMC (بر حسب حجم) و p(VDF-HFP) است. مواد الکترود برای الکترود منفی مواد مبتنی بر کربن و برای الکترود مثبت Li y Mn 2 O 4 هستند.
رسانایی الکترولیت و پتانسیل تعادل الکترودهای منفی و مثبت از طریق داده های اندازه گیری تجربی به ترکیب وابسته است. این داده ها در توابع درونیابی یا کتابخانه مواد در مدل جدول بندی شده اند. خواص به طور قابل توجهی در طول فاز شارژ و تخلیه به دلیل تغییرات در ترکیب متفاوت است.
مدل رسانایی الکترولیت را با توجه به عملکرد در شکل 2 مشخص می کند .

شکل 2: مدل رسانایی یونی الکترولیت را با استفاده از تابع درون یابی با توجه به این رفتار با غلظت مشخص می کند.
شکل 3 پتانسیل تعادل برای الکترودهای منفی و مثبت را به عنوان تابعی از حالت بار اندازه گیری شده (SOC) نشان می دهد.

شکل 3: ولتاژ تعادلی مواد الکترود.
این مدل از تعریف زیر از SOC استفاده می کند:

مقادیر SOC اولیه برای الکترودهای مثبت و منفی به ترتیب 0.17 و 0.56 است ، با غلظتهایی که در ابتدا در مدل انتخاب شدهاند. این مربوط به یک ولتاژ سلول مدار باز تقریباً 4.22 ولت است که مربوط به یک باتری کاملاً شارژ شده است.
برای جزئیات کامل در مورد خواص مواد و ثابت ها، رجوع کنید به رفر. 1 .
نتایج و بحث
منحنی های تخلیه
باتری در ابتدا در حالت شارژ کامل است. اولین رویکرد مدلسازی شبیهسازی تخلیه در چگالیهای جریان مختلف و سپس نمایش منحنیهای تخلیه است. نتایج ظرفیت باتری را در نرخ های دشارژ متفاوت نشان می دهد. این مدل پایان دشارژ را زمانی تعریف میکند که ولتاژ سلول به زیر 3 ولت میرسد. چگالی جریان دشارژ اسمی، مربوط به حالت 1C زیر (چگالی جریان مربوط به تخلیه کامل نظری در یک ساعت)، 17.5 A/ است. متر 2 _

شکل 4: منحنی های دبی برای دبی های مختلف.
شکل 4 نشان می دهد که حداکثر ظرفیت تخلیه 17.5 Ah/m2 برای چگالی جریان 1.75 A/m2 ( 0.1 C ) به دست می آید. همچنین می توان مشاهده کرد که ظرفیت تخلیه 3 ولت در هنگام اعمال جریان تخلیه 1 درجه سانتی گراد و زمانی که از آن بالاتر می رود به طور چشمگیری کاهش می یابد. در دمای 4 درجه سانتیگراد، باتری تقریباً 50 درصد از ظرفیت تئوری را قبل از رسیدن به ولتاژ سلولی 3 ولت ارائه می دهد . 1 .
چرخه تخلیه و شارژ
شکل 5 چرخه تخلیه-شارژ اعمال شده در مرحله بعدی شبیه سازی را نشان می دهد. این چرخه 2000 ثانیه تخلیه در چگالی جریان اسمی (مورد 1C بالا)، 300 ثانیه در مدار باز، سپس 2000 ثانیه شارژ در چگالی جریان اسمی و در نهایت شرایط مدار باز اعمال می کند.

شکل 5: ولتاژ و جریان سلول در طول سیکل اعمال شده.
در حین تخلیه و شارژ، ولتاژ سلول تلفات اهمی تقریباً 100 میلی ولت و پتانسیل بیش از حد غلظت حدود 50 میلی ولت را تجربه می کند. این تلفات زمانی که جریان بر روی 0 تنظیم می شود، به وضوح در نمودار قابل مشاهده هستند ، جایی که می توانید کاهش فوری ولتاژ را به دلیل کاهش تلفات اهمی و به دنبال آن آرام شدن آهسته تر پتانسیل غلظت مشاهده کنید.
امکان تجسم سهم تلفات مختلف در کل مازاد پتانسیل وجود دارد. می توانید سهم را همانطور که در شکل 6 نشان داده شده است با استفاده از روش زیر رسم کنید:
1 | مشخصات پتانسیل الکترولیت را در مرحله اولیه تخلیه با بایاس 148 میلی ولت رسم کنید تا همه نمودارها در محدوده پتانسیل یکسان قرار گیرند. |
2 | پروفیل پتانسیل الکترولیت را در انتهای تخلیه با اضافه کردن یک بایاس 558 میلی ولت رسم کنید، تا پروفیل در همان مقیاس با پتانسیل اضافی باشد. |
3 | نمایه مازاد پتانسیل واکنش را رسم کنید. |
همه قطعات در محدوده پتانسیل مشابهی قرار دارند.

شکل 6: تلفات ولتاژ در باتری در هنگام تخلیه.
شکل 6 نشان می دهد که دو تلفات اصلی ناشی از پتانسیل بیش از حد واکنش و مقاومت الکترولیت است. تفاوت بین پروفیل های پتانسیل الکترولیت در ابتدا و در انتهای مرحله تخلیه نشان دهنده تأثیر قطبش غلظت است. این تقریباً نصف بزرگی دو ضرر قبلی است و بنابراین در نظر گرفتن نیز مهم است. شکل شامل مشخصات پتانسیل الکترونیکی در فاز جامد نمی شود، اما شبیه سازی ها نشان می دهد که سهم تلفات اهمی در هادی های الکترونیکی ناچیز است.
برای بررسی بیشتر دلیل کاهش شدید ولتاژ، می توانید مشخصات غلظت در الکترولیت را رسم کنید. شکل 7 نمایه را در چندین مرحله در طول چرخه تخلیه و شارژ نشان می دهد.

شکل 7: پروفیل غلظت فاز الکترولیت در زمان های مختلف.
سلول به دلیل ضریب انتشار موثر پایین در الکترولیت، قطبش غلظت قابل توجهی را تجربه می کند، که به نوبه خود منجر به تغییرات در هدایت یونی و پتانسیل بیش از حد غلظت می شود.
غلظت در فاز جامد در سطح ذرات نیز بر چگالی جریان تأثیر می گذارد. شکل 8 توزیع غلظت را در ذرات فاز جامد درست قبل از پایان تخلیه نشان می دهد.

شکل 8: توزیع غلظت لیتیوم در ذرات جامد در طول فاز تخلیه. (خطوط چین: مرکز ذرات. خطوط جامد: سطح ذرات.)
در 1800 ثانیه، غلظت در الکترود منفی از 9500 mol/m3 در مرکز ذرات تا تقریباً 7000 mol/m3 در سطح، با تغییرات متوسط در امتداد عرض سلول متغیر است. در الکترود مثبت، تغییرات در امتداد عرض با غلظت سطحی تقریباً 13000 مول بر متر مکعب در سطح مشترک الکترولیت و تنها 8500 مول بر متر مکعب در جمع کننده/فیدر جریان مثبت بسیار واضح تر است. این تغییرات زیاد به دلیل توزیع غیریکنواخت جریان ایجاد می شود که به نوبه خود عمدتاً به دلیل رسانایی ضعیف الکترولیت (به دلیل تخلخل کم) و همچنین قطبش غلظت ایجاد می شود.
همانطور که غلظت سطح تغییر می کند، ولتاژ تعادل نیز تغییر می کند و باعث کاهش پتانسیل واکنش کمتر و کاهش چگالی جریان محلی می شود. این اثر تمایل دارد تا چگالی جریان انتقال بار محلی را تا حدی یکنواخت کند، اما منجر به کاهش ولتاژ کلی بیشتر در باتری می شود.
ارجاع
1. M. Doyle، J. Newman، AS Gozdz، CN Schmutz، و JM Tarascon، “مقایسه پیش بینی های مدل سازی با داده های تجربی از سلول های یون لیتیوم پلاستیکی،” J. Electrochem. Soc. ، جلد 143، شماره 6، صفحات 1890-1903، 1996.
مسیر کتابخانه برنامه: Battery_Design_Module/Batteries,_Lithium-ion/li_battery_1d
دستورالعمل های مدل سازی
از منوی File ، New را انتخاب کنید .
جدید
در پنجره جدید ، روی
Model Wizard کلیک کنید .
مدل جادوگر
1 | در پنجره Model Wizard ، روی |
2 | در درخت Select Physics ، Electrochemistry>Batteries>Lithium-Ion Battery (lion) را انتخاب کنید . |
3 | روی افزودن کلیک کنید . |
4 |
5 | در درخت Select Study ، Preset Studies for Selected Physics Interfaces>Time Dependent with Initialization را انتخاب کنید . |
( مطالعه Time Dependent with Initialization یک شبیه سازی وابسته به زمان را با استفاده از مرحله مطالعه اولیه برای محاسبه پتانسیل های اولیه در سلول انجام می دهد.)
6 |
تعاریف جهانی
پارامترهای 1
1 | در پنجره Model Builder ، در قسمت Global Definitions روی Parameters 1 کلیک کنید . |
2 | در پنجره تنظیمات برای پارامترها ، بخش پارامترها را پیدا کنید . |
3 |
4 | به پوشه Application Libraries مدل بروید و روی فایل li_battery_1d_parameters.txt دوبار کلیک کنید . |
هندسه 1
هندسه شامل سه حوزه است. هندسه را با تعیین طول دامنه ها ایجاد کنید.
فاصله 1 (i1)
1 | در پنجره Model Builder ، در قسمت Component 1 (comp1) روی Geometry 1 کلیک راست کرده و Interval را انتخاب کنید . |
2 | در پنجره تنظیمات برای فاصله ، قسمت فاصله را بیابید . |
3 | از لیست Specify ، Interval lengths را انتخاب کنید . |
4 | در جدول تنظیمات زیر را وارد کنید: |
طول (متر) |
L_neg |
L_Sep |
L_pos |
5 |
تعاریف جهانی
این مدل از یک تابع درونیابی، وارد شده از یک فایل متنی، برای پتانسیل تعادل ماده الکترود منفی استفاده می کند.
درون یابی 1 (int1)
1 | در نوار ابزار صفحه اصلی ، روی |
2 | در پنجره تنظیمات برای درون یابی ، قسمت Definition را پیدا کنید . |
3 | از فهرست منبع داده ، فایل را انتخاب کنید . |
4 |
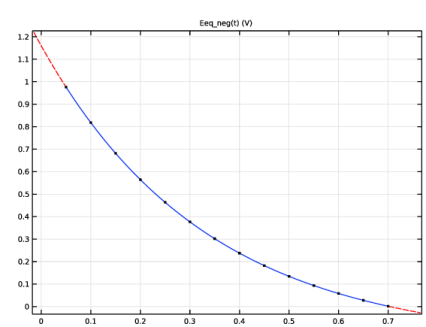
5 | به پوشه Application Libraries مدل بروید و روی فایل li_battery_1d_Eeq_neg.txt دوبار کلیک کنید . |
6 |
7 | در قسمت متن نام تابع ، Eeq_neg را تایپ کنید . |
8 | بخش Interpolation و Extrapolation را پیدا کنید . از لیست Interpolation ، spline مکعب را انتخاب کنید . |
9 | از لیست Extrapolation ، نزدیکترین تابع را انتخاب کنید . |
10 | قسمت Units را پیدا کنید . در جدول Function تنظیمات زیر را وارد کنید: |
تابع | واحد |
Eeq_neg | V |
11 | ![]() |
تکه ای 1 (pw1)
چرخه بار با استفاده از یک تابع Piecewise تنظیم می شود. داده ها از یک فایل متنی وارد شده و هموارسازی فعال است.
1 | در نوار ابزار Home ، روی |
2 | در پنجره تنظیمات برای Piecewise ، قسمت Definition را پیدا کنید . |
3 | در قسمت Argument text، t را تایپ کنید . |
4 | از لیست Smoothing ، مشتق دوم پیوسته را انتخاب کنید . |
5 | از لیست منطقه انتقال ، اندازه مطلق را انتخاب کنید . |
6 | در قسمت متن Size of transition zone ، 10 را تایپ کنید . |
7 | زیربخش فواصل را پیدا کنید . |
8 | به پوشه Application Libraries مدل بروید و روی فایل li_battery_1d_load_cycle.txt دوبار کلیک کنید . |
9 | قسمت Units را پیدا کنید . در قسمت متن Arguments ، s را تایپ کنید . |
10 | در قسمت Function text، 1 را تایپ کنید . |
11 | ![]() |
تعاریف
متغیرها (گردآورنده جریان مثبت)
1 | در نوار ابزار صفحه اصلی ، روی |
2 | در پنجره تنظیمات برای متغیرها ، متغیرها (گردآورنده جریان مثبت) را در قسمت متن برچسب تایپ کنید . |
3 | قسمت انتخاب موجودیت هندسی را پیدا کنید . از لیست سطح نهاد هندسی ، Boundary را انتخاب کنید . |
4 | فقط مرز 4 را انتخاب کنید. |
5 | قسمت Variables را پیدا کنید . در جدول تنظیمات زیر را وارد کنید: |
نام | اصطلاح | واحد | شرح |
i_app | pw1(t)*i_1C | A/m² | اعمال چگالی جریان سلول باتری |
مواد
این مدل همچنین از مواد باتری موجود در کتابخانه مواد استفاده می کند.
مواد را اضافه کنید
LMO به عنوان ماده الکترود مثبت انتخاب می شود.
1 | در نوار ابزار Home ، روی |
2 | به پنجره Add Material بروید . |
3 | در درخت، Battery>Electrodes>LMO, LiMn2O4 Spinel (مثبت، باتری Li-ion ) را انتخاب کنید . |
4 | روی Add to Component در نوار ابزار پنجره کلیک کنید . |
نکته: در گره Materials، cEeqref حداکثر غلظت لیتیوم را در ماده فعال نشان می دهد.
مواد
LMO، اسپینل LiMn2O4 (مثبت، باتری لیتیوم یونی) (mat1)
1 | فقط دامنه 3 را انتخاب کنید. |
2 | در پنجره Model Builder ، گره LMO، LiMn2O4 Spinel (مثبت، باتری لیتیوم یونی ) (mat1) را گسترش دهید . |
درون یابی 1 (Eeq_int1)
1 | در پنجره Model Builder ، گره Component 1 (comp1)>Materials>LMO, LiMn2O4 Spinel (Positive, Li-ion Battery) (mat1)>Equilibrium Potential (elpot) را گسترش دهید ، سپس روی Interpolation 1 (Eeq_int1) کلیک کنید . |
2 | در پنجره تنظیمات درون یابی ، روی ![]() |
مواد را اضافه کنید
LiPF6 در EC:DMC 1:2 و p(VdF-HFP) به عنوان الکترولیت انتخاب می شود.
1 | به پنجره Add Material بروید . |
2 | در درخت، Battery>Electrolytes>LiPF6 را در EC:DMC 1:2 و p(VdF-HFP) (Polymer, Li-ion Battery) را انتخاب کنید . |
3 | روی Add to Component در نوار ابزار پنجره کلیک کنید . |
4 | در نوار ابزار Home ، روی |
مواد
LiPF6 در EC:DMC 1:2 و p(VdF-HFP) (پلیمر، باتری لیتیوم یون) (mat2)
1 | در پنجره Graphics کلیک کنید و سپس Ctrl+A را فشار دهید تا همه دامنه ها انتخاب شوند. |
2 | در پنجره Model Builder ، LiPF6 را در 1:2 EC:DMC و p(VdF-HFP) (Polymer, Li-ion Battery) (mat2) گسترش دهید . |
درون یابی 1 (sigmal_int1)
1 | در پنجره Model Builder ، Component 1 (comp1)>Materials>LiPF6 را در EC:DMC 1:2 و p(VdF-HFP) (Polymer, Li-ion Battery) (mat2)>Electrolyte رسانایی (ionc) را گسترش دهید . سپس روی Interpolation 1 (sigmal_int1) کلیک کنید . |
2 | در پنجره تنظیمات درون یابی ، روی ![]() |
باتری لیتیوم یونی (LIION)
الکترود متخلخل 1
1 | در پنجره Model Builder ، در قسمت Component 1 (comp1) روی Lithium-Ion Battery (lion) کلیک راست کرده و Porous Electrode را انتخاب کنید . |
2 | فقط دامنه 1 را انتخاب کنید. |
3 | در پنجره تنظیمات برای الکترود متخلخل ، بخش خواص الکترود را پیدا کنید . |
4 | از لیست σ ، User defined را انتخاب کنید . در قسمت متن مرتبط، Ks_neg را تایپ کنید . |
5 | قسمت Porous Matrix Properties را پیدا کنید . در قسمت متن ε l ، epsl_neg را تایپ کنید . |
6 | در قسمت متن ε s ، epss_neg را تایپ کنید . |
7 | قسمت Effective Transport Parameter Correction را پیدا کنید . از لیست رسانایی الکترولیت ، User defined را انتخاب کنید . در قسمت متن f l ، epsl_neg^brugg را تایپ کنید . |
8 | از لیست رسانایی الکتریکی ، بدون اصلاح را انتخاب کنید . |
9 | از لیست Diffusion ، User defined را انتخاب کنید . در قسمت متن f Dl ، epsl_neg^brugg را تایپ کنید . |
درهم آمیختگی ذرات 1
1 | در پنجره Model Builder ، روی Particle Intercalation 1 کلیک کنید . |
2 | در پنجره Settings for Particle Intercalation ، قسمت Species Settings را پیدا کنید . |
3 | در قسمت متن c s، init ، cs0_neg را تایپ کنید . |
4 | از لیست cs ,max ، User defined را انتخاب کنید . در قسمت متن مرتبط، csmax_neg را تایپ کنید . |
5 | قسمت خصوصیات انتقال ذرات را پیدا کنید . از لیست D ، User defined را انتخاب کنید . در قسمت متن مرتبط، Ds_neg را تایپ کنید . |
6 | در قسمت متن r p ، rp_neg را تایپ کنید . |
7 | برای گسترش بخش SOCs عملیاتی برای توزیع شارژ اولیه سلولی کلیک کنید . از لیست soc min ، User defined را انتخاب کنید . از لیست soc max ، User defined را انتخاب کنید . |
واکنش الکترود متخلخل 1
1 | در پنجره Model Builder ، روی Porous Electrode Reaction 1 کلیک کنید . |
2 | در پنجره تنظیمات برای واکنش الکترود متخلخل ، بخش پتانسیل تعادل را پیدا کنید . |
3 | از لیست Eq ، User defined را انتخاب کنید . در قسمت متن مرتبط، Eeq_neg(liion.cs_surface/csmax_neg) را تایپ کنید . |
4 | بخش سینتیک الکترود را پیدا کنید . از لیست نوع چگالی جریان Exchange ، نرخ ثابت را انتخاب کنید . |
5 | در قسمت متن k ، k_neg را تایپ کنید . |
6 | در قسمت متن c l,ref ، cl_ref را تایپ کنید . |
7 | برای گسترش بخش Heat of Reaction کلیک کنید . از لیست، User defined را انتخاب کنید . |
الکترود متخلخل 2
1 | در نوار ابزار Physics ، روی |
2 | فقط دامنه 3 را انتخاب کنید. |
در گره مواد ، ماده الکترولیت به همه حوزه ها اختصاص داده شده است. بنابراین شما باید انتخاب مواد الکترود را به صورت دستی تنظیم کنید، که در این مورد مواد الکترود LMO است.
3 | در پنجره تنظیمات برای الکترود متخلخل ، بخش خواص الکترود را پیدا کنید . |
4 | از لیست مواد الکترود ، LMO، LiMn2O4 Spinel (مثبت، باتری لیتیوم یونی ) (mat1) را انتخاب کنید . |
5 | قسمت Porous Matrix Properties را پیدا کنید . در قسمت متن ε l ، epsl_pos را تایپ کنید . |
6 | در قسمت متن ε s ، epss_pos را تایپ کنید . |
7 | قسمت Effective Transport Parameter Correction را پیدا کنید . از لیست رسانایی الکترولیت ، User defined را انتخاب کنید . در قسمت متن f l ، epsl_pos^brugg را تایپ کنید . |
8 | از لیست رسانایی الکتریکی ، بدون اصلاح را انتخاب کنید . |
9 | از لیست Diffusion ، User defined را انتخاب کنید . در قسمت متن f Dl ، epsl_pos^brugg را تایپ کنید . |
درهم آمیختگی ذرات 1
1 | در پنجره Model Builder ، روی Particle Intercalation 1 کلیک کنید . |
2 | در پنجره Settings for Particle Intercalation ، بخش Material را پیدا کنید . |
3 | از لیست مواد ذرات ، LMO، LiMn2O4 Spinel (مثبت، باتری لیتیوم یونی ) (mat1) را انتخاب کنید . |
4 | قسمت تنظیمات گونه را پیدا کنید . در قسمت متن c s، init ، cs0_pos را تایپ کنید . |
5 | قسمت خصوصیات انتقال ذرات را پیدا کنید . از لیست D ، User defined را انتخاب کنید . در قسمت متن مرتبط، Ds_pos را تایپ کنید . |
6 | در قسمت متن r p ، rp_pos را تایپ کنید . |
تغییر به عناصر درجه دوم در بعد ذره باعث بهبود دقت می شود.
7 | برای گسترش بخش گسسته سازی ذرات کلیک کنید . در قسمت متن N ord ، 2 را تایپ کنید . |
واکنش الکترود متخلخل 1
1 | در پنجره Model Builder ، روی Porous Electrode Reaction 1 کلیک کنید . |
2 | در پنجره تنظیمات برای واکنش الکترود متخلخل ، قسمت Material را پیدا کنید . |
3 | از لیست مواد ، LMO، LiMn2O4 Spinel (مثبت، باتری لیتیوم یونی ) (mat1) را انتخاب کنید . |
4 | بخش سینتیک الکترود را پیدا کنید . از لیست نوع چگالی جریان Exchange ، نرخ ثابت را انتخاب کنید . |
5 | در قسمت متن k ، k_pos را تایپ کنید . |
6 | در قسمت متن c l,ref ، cl_ref را تایپ کنید . |
زمین برق 1
1 | در نوار ابزار Physics ، روی |
2 | فقط مرز 1 را انتخاب کنید. |
چگالی جریان الکترود 1
1 | در نوار ابزار Physics ، روی |
2 | فقط مرز 4 را انتخاب کنید. |
3 | در پنجره تنظیمات برای چگالی جریان الکترود ، قسمت چگالی جریان الکترود را پیدا کنید . |
4 | در قسمت متن i n ,s ، -i_app را تایپ کنید . |
مقادیر اولیه 1
1 | در پنجره Model Builder ، روی مقادیر اولیه 1 کلیک کنید . |
2 | در پنجره تنظیمات برای مقادیر اولیه ، قسمت مقادیر اولیه را پیدا کنید . |
3 | در قسمت متن cl ، cl_0 را تایپ کنید . |
تعاریف جهانی
ورودی های مدل پیش فرض
مقدار دمای مورد استفاده در کل مدل را تنظیم کنید.
1 | در پنجره Model Builder ، در قسمت Global Definitions، روی Default Model Inputs کلیک کنید . |
2 | در پنجره تنظیمات برای ورودی های مدل پیش فرض ، بخش Browse Model Inputs را پیدا کنید . |
3 | در درخت، General>Temperature (K) – minput.T را انتخاب کنید . |
4 | زیربخش عبارت برای انتخاب باقیمانده را پیدا کنید . در قسمت متن دما ، T را تایپ کنید . |
مطالعه 1
ابتدا مطالعه ای را برای بررسی چرخه تخلیه/شارژ تعریف شده تنظیم کنید.
مرحله 2: وابسته به زمان
1 | در پنجره Model Builder ، در مطالعه 1 ، روی Step 2: Time Dependent کلیک کنید . |
2 | در پنجره تنظیمات مربوط به زمان وابسته ، قسمت تنظیمات مطالعه را پیدا کنید . |
3 | در قسمت متنی زمان خروجی ، range(0,10,8000) را تایپ کنید . |
4 | در نوار ابزار صفحه اصلی ، |
نتایج
پتانسیل الکترود مرزی با توجه به زمین (شیر)
تعدادی نمودار به صورت پیش فرض ایجاد می شود. نمودار اول پتانسیل الکترود را در مقابل زمان در مرزی که شرایط چگالی جریان را اعمال کرده اید نشان می دهد. از آنجایی که الکترود دیگر را زمین کردید، این ولتاژ با ولتاژ سلول برابر است. این نمودار را طوری تغییر دهید که جریان باتری را روی یک محور y دوم نیز رسم کند . ( شکل 5 ):
1 | در پنجره Model Builder ، در بخش Results روی Boundary Electrode Potential with Respect to Ground (liion) کلیک کنید . |
2 | در پنجره تنظیمات برای گروه طرح 1 بعدی ، برای گسترش بخش عنوان کلیک کنید . |
3 | از لیست نوع عنوان ، هیچکدام را انتخاب کنید . |
4 | قسمت Plot Settings را پیدا کنید . |
5 | کادر بررسی برچسب محور y را انتخاب کنید . در قسمت متن مرتبط، Cell voltage (V) را تایپ کنید . |
6 | چک باکس Two y-axes را انتخاب کنید . |
7 | قسمت Legend را پیدا کنید . از لیست موقعیت ، پایین سمت راست را انتخاب کنید . |
نمودار نقطه 1
1 | در پنجره Model Builder ، گره Boundary Electrode Potential with Respect to Ground (liion) را گسترش دهید ، سپس روی Point Graph 1 کلیک کنید . |
2 | در پنجره تنظیمات برای پوینت گراف ، برای گسترش بخش Legends کلیک کنید . |
3 | تیک Show legends را انتخاب کنید . |
4 | از فهرست Legends ، Manual را انتخاب کنید . |
5 | در جدول تنظیمات زیر را وارد کنید: |
افسانه ها |
ولتاژ |
نمودار نقطه 2
1 | روی Results>Boundary Electrode Potential with Respect to Ground (liion)>Point Graph 1 کلیک راست کرده و Duplicate را انتخاب کنید . |
2 | در پنجره تنظیمات نمودار نقطهای ، روی Replace Expression در گوشه سمت راست بالای بخش y-Axis Data کلیک کنید . از منو، Component 1 (comp1)>Definitions>Variables>i_app – Applied Cell باتری چگالی جریان – A/m² را انتخاب کنید . |
3 | بخش y-Axis را پیدا کنید . کادر Plot on secondary y-axis را انتخاب کنید . |
4 | قسمت Legends را پیدا کنید . در جدول تنظیمات زیر را وارد کنید: |
افسانه ها |
جاری |
5 | در نوار ابزار Boundary Electrode Potential with Respect to Ground (liion) ، روی |
گروه طرح 1 بعدی 6
اکنون بقیه نمودارها را در مستندات مدل برای چرخه دشارژ/شارژ تولید کنید و با نموداری برای مقایسه تلفات مختلف ولتاژ شروع کنید ( شکل 6 ).
1 | در نوار ابزار صفحه اصلی ، روی |
2 | در پنجره Settings for 1D Plot Group ، بخش Data را پیدا کنید . |
3 | از لیست Dataset ، None را انتخاب کنید . |
نمودار خطی 1
1 | روی 1D Plot Group 6 کلیک راست کرده و Line Graph را انتخاب کنید . |
2 | در پنجره تنظیمات برای نمودار خط ، بخش داده را پیدا کنید . |
3 | از فهرست مجموعه داده ، مطالعه 1/راه حل 1 (sol1) را انتخاب کنید . |
4 | از لیست انتخاب زمان ، از لیست را انتخاب کنید . |
5 | در لیست بارها ، 10 را انتخاب کنید . |
6 | قسمت Selection را پیدا کنید . از لیست انتخاب ، همه دامنه ها را انتخاب کنید . |
7 | قسمت y-Axis Data را پیدا کنید . در قسمت Expression text، phil+0.148 را تایپ کنید . |
8 | برای گسترش بخش Legends کلیک کنید . تیک Show legends را انتخاب کنید . |
9 | از فهرست Legends ، Manual را انتخاب کنید . |
10 | در جدول تنظیمات زیر را وارد کنید: |
افسانه ها |
phil+0.148 |
نمودار خط 2
1 | روی Line Graph 1 کلیک راست کرده و Duplicate را انتخاب کنید . |
2 | در پنجره تنظیمات برای نمودار خط ، بخش y-Axis Data را پیدا کنید . |
3 | در قسمت متن Expression ، liion.eta_per1 را تایپ کنید . |
4 | قسمت Legends را پیدا کنید . در جدول تنظیمات زیر را وارد کنید: |
افسانه ها |
و |
نمودار خط 3
1 | روی Line Graph 2 کلیک راست کرده و Duplicate را انتخاب کنید . |
2 | در پنجره تنظیمات برای نمودار خط ، بخش داده را پیدا کنید . |
3 | در لیست Times (s) ، 1990 را انتخاب کنید . |
4 | قسمت y-Axis Data را پیدا کنید . در قسمت Expression text، phil+0.558 را تایپ کنید . |
5 | قسمت Legends را پیدا کنید . در جدول تنظیمات زیر را وارد کنید: |
افسانه ها |
phil+0.558 |
گروه طرح 1 بعدی 6
1 | در پنجره Model Builder ، روی 1D Plot Group 6 کلیک کنید . |
2 | در پنجره Settings for 1D Plot Group ، قسمت Plot Settings را پیدا کنید . |
3 | چک باکس x-axis label را انتخاب کنید . در قسمت متن مرتبط، x را تایپ کنید . |
4 | کادر بررسی برچسب محور y را انتخاب کنید . در قسمت متن مربوطه، Voltage (V) را تایپ کنید . |
5 | در نوار ابزار 1D Plot Group 6 ، روی |
غلظت نمک الکترولیت (شیر)
نمودار پیشفرض غلظت الکترولیت را برای مقایسه پروفیل در زمانهای مختلف در طول چرخه تخلیه/شارژ اصلاح کنید ( شکل 7 ).
1 | در پنجره Model Builder ، روی Electrolyte Salt Concentration (liion) کلیک کنید . |
2 | در پنجره Settings for 1D Plot Group ، بخش Data را پیدا کنید . |
3 | از لیست انتخاب زمان ، از لیست را انتخاب کنید . |
4 | در لیست Times (s) ، 1200 ، 1800 ، 2200 ، 2400 و 3000 را انتخاب کنید . |
نمودار خطی 1
1 | در پنجره Model Builder ، گره Electrolyte Salt Concentration (liion) را گسترش دهید ، سپس روی Line Graph 1 کلیک کنید . |
2 | در پنجره تنظیمات برای نمودار خط ، قسمت Legends را پیدا کنید . |
3 | تیک Show legends را انتخاب کنید . |
غلظت نمک الکترولیت (شیر)
1 | در پنجره Model Builder ، روی Electrolyte Salt Concentration (liion) کلیک کنید . |
2 | در پنجره Settings for 1D Plot Group ، قسمت Plot Settings را پیدا کنید . |
3 | چک باکس x-axis label را انتخاب کنید . در قسمت متن مرتبط، x را تایپ کنید . |
4 | کادر بررسی برچسب محور y را انتخاب کنید . در فیلد نوشتاری مرتبط، Electrolyte غلظت، cl را تایپ کنید . |
5 | در نوار ابزار غلظت نمک الکترولیت (شیر) ، روی |
گروه طرح 1 بعدی 7
این نمودار نمایه غلظت درون ذرات در الکترودها را نشان می دهد ( شکل 8 ).
1 | در نوار ابزار صفحه اصلی ، روی |
2 | در پنجره Settings for 1D Plot Group ، بخش Data را پیدا کنید . |
3 | از لیست انتخاب زمان ، از لیست را انتخاب کنید . |
4 | در لیست Times (s) ، 10 ، 1200 و 1800 را انتخاب کنید . |
5 | قسمت عنوان را پیدا کنید . از لیست نوع عنوان ، دستی را انتخاب کنید . |
6 | در قسمت متن عنوان ، غلظت لیتیوم ذرات الکترود، سطح (جامد) و مرکز (برق) را تایپ کنید . |
7 | قسمت Plot Settings را پیدا کنید . |
8 | چک باکس x-axis label را انتخاب کنید . در قسمت متن مرتبط، x را تایپ کنید . |
9 | کادر بررسی برچسب محور y را انتخاب کنید . در قسمت متن مرتبط، cs (mol//m<sup>3</sup>) را تایپ کنید . |
نمودار خطی 1
1 | روی 1D Plot Group 7 کلیک راست کرده و Line Graph را انتخاب کنید . |
2 | در پنجره تنظیمات برای نمودار خط ، بخش Selection را پیدا کنید . |
3 | از لیست انتخاب ، همه دامنه ها را انتخاب کنید . |
4 | روی Replace Expression در گوشه سمت راست بالای بخش y-Axis Data کلیک کنید . از منو، Component 1 (comp1)>Lithium-ion Battery>Particle intercalation>liion.cs_surface – غلظت ذرات درج ، سطح – mol/m³ را انتخاب کنید . |
5 | قسمت Legends را پیدا کنید . تیک Show legends را انتخاب کنید . |
نمودار خط 2
1 | در پنجره Model Builder ، روی 1D Plot Group 7 کلیک راست کرده و Line Graph را انتخاب کنید . |
2 | در پنجره تنظیمات برای نمودار خط ، بخش Selection را پیدا کنید . |
3 | از لیست انتخاب ، همه دامنه ها را انتخاب کنید . |
4 | روی Replace Expression در گوشه سمت راست بالای بخش y-Axis Data کلیک کنید . از منو، Component 1 (comp1)>Lithium-ion Battery>Particle intercalation>liion.cs_center – غلظت ذرات درج ، مرکز – mol/m³ را انتخاب کنید . |
5 | برای گسترش بخش Coloring and Style کلیک کنید . زیربخش Line style را پیدا کنید . از لیست Line ، Dashed را انتخاب کنید . |
6 | از لیست رنگ ، چرخه (بازنشانی) را انتخاب کنید . |
7 | در نوار ابزار 1D Plot Group 7 ، روی |
8 |
تعاریف جهانی
برای بازتولید منحنیهای تخلیه در شکل 4 ، فرمول مسئله را کمی تغییر دهید تا فقط از یک جریان تخلیه ثابت استفاده شود، و سپس یک مطالعه پارامتری تنظیم کنید که چهار جریان تخلیه مختلف را حل میکند. اگر ولتاژ سلول به کمتر از 2.0 ولت رسید، از یک شرط توقف برای متوقف کردن حل کننده استفاده کنید.
پارامترهای 1
با اضافه کردن یک متغیر جریان جهانی شروع کنید.
1 | در پنجره Model Builder ، در قسمت Global Definitions روی Parameters 1 کلیک کنید . |
2 | در پنجره تنظیمات برای پارامترها ، بخش پارامترها را پیدا کنید . |
3 | در جدول تنظیمات زیر را وارد کنید: |
نام | اصطلاح | ارزش | شرح |
سی | 1 | 1 | عامل نرخ C برای مطالعه پارامتری |
تعاریف (COMP1)
همچنین یک متغیر برای جریان تخلیه اضافه کنید.
متغیرها (گردآورنده جریان مثبت)
1 | در پنجره Model Builder ، در قسمت Component 1 (comp1)>Definitions روی Variables (Positive Current Collector) کلیک کنید . |
2 | در پنجره تنظیمات برای متغیرها ، بخش متغیرها را پیدا کنید . |
3 | در جدول تنظیمات زیر را وارد کنید: |
نام | اصطلاح | واحد | شرح |
i_app_p | C*i_1C | A/m² | جریان تخلیه برای مطالعه پارامتری |
ادغام 1 (در اول)
با استفاده از یک اپراتور یکپارچه سازی می توانید به ولتاژ سلول در مرز جمع کننده جریان مثبت در طول محاسبه دسترسی داشته باشید.
1 | در نوار ابزار تعاریف ، روی |
2 | در پنجره تنظیمات برای ادغام ، بخش انتخاب منبع را پیدا کنید . |
3 | از لیست سطح نهاد هندسی ، Boundary را انتخاب کنید . |
4 | فقط مرز 4 را انتخاب کنید. |
5 | در قسمت متنی نام اپراتور ، PositiveCC را تایپ کنید . |
باتری لیتیوم یونی (LIION)
چگالی جریان الکترود 1
اکنون یک گره شرط مرزی چگالی جریان الکترود دوم را با کپی کردن گره موجود، برای استفاده در مطالعه دوم اضافه کنید.
چگالی جریان الکترود 2 – مطالعه 2
1 | در پنجره Model Builder ، در قسمت Component 1 (comp1)>Lithium-Ion Battery (lion) روی Electrode Current Density 1 کلیک راست کرده و Duplicate را انتخاب کنید . |
2 | در پنجره تنظیمات برای چگالی جریان الکترود ، چگالی جریان الکترود 2 – مطالعه 2 را در قسمت نوشتار برچسب تایپ کنید . |
3 | بخش چگالی جریان الکترود را پیدا کنید . در قسمت متن i n ,s -i_app_p را تایپ کنید . |
چگالی جریان الکترود 1 – مطالعه 1
1 | در پنجره Model Builder ، روی Electrode Current Density 1 کلیک کنید . |
2 | در پنجره تنظیمات برای چگالی جریان الکترود ، چگالی جریان الکترود 1 – مطالعه 1 را در قسمت نوشتار برچسب تایپ کنید . |
اضافه کردن مطالعه
1 | در نوار ابزار Home ، روی |
2 | به پنجره Add Study بروید . |
3 | زیربخش مطالعات را پیدا کنید . در درخت Select Study ، Preset Studies for Selected Physics Interfaces>Time Dependent with Initialization را انتخاب کنید . |
4 | روی Add Study در نوار ابزار پنجره کلیک کنید . |
5 | در نوار ابزار Home ، روی |
مطالعه 2
مرحله 2: وابسته به زمان
1 | در پنجره Model Builder ، در زیر مطالعه 2 ، روی Step 2: Time Dependent کلیک کنید . |
2 | در پنجره تنظیمات مربوط به زمان وابسته ، قسمت تنظیمات مطالعه را پیدا کنید . |
3 | در قسمت متنی زمان خروجی ، 0 40000 را تایپ کنید . |
اولین گره چگالی جریان الکترود را در این مطالعه غیرفعال کنید.
4 | قسمت Physics and Variables Selection را پیدا کنید . تیک Modify model configuration for study step را انتخاب کنید . |
5 | در درخت، Component 1 (comp1)>Lithium-Ion Battery (lion)>Electrode Current Density 1 – Study 1 را انتخاب کنید . |
6 | کلیک راست کرده و Disable را انتخاب کنید . |
به طور مشابه، اگر بعداً مطالعه 1 را دوباره اجرا کنید، باید دومین گره تراکم جریان الکترود را در آن مطالعه غیرفعال کنید.
جاروی پارامتریک
1 | در نوار ابزار مطالعه ، روی |
حل کننده پیش فرض را اصلاح کنید.
2 | در پنجره تنظیمات برای جابجایی پارامتری ، بخش تنظیمات مطالعه را پیدا کنید . |
3 |
4 | در جدول تنظیمات زیر را وارد کنید: |
نام پارامتر | لیست مقادیر پارامتر | واحد پارامتر |
C (ضریب نرخ C برای مطالعه پارامتریک) | 0.1 1 2 4 |
راه حل 3 (sol3)
1 | در نوار ابزار مطالعه ، روی |
یک شرط توقف برای متوقف کردن حل کننده و رفتن به مقدار پارامتر بعدی در صورتی که ولتاژ سلول به زیر سطح معینی کاهش یابد، وارد کنید.
2 | در پنجره Model Builder ، گره Solution 3 (sol3) را گسترش دهید . |
3 | روی Study 2>Solver Configurations>Solution 3 (sol3)>Time-Dependent Solver 1 کلیک راست کرده و Stop Condition را انتخاب کنید . |
4 | در پنجره تنظیمات برای وضعیت توقف ، قسمت عبارات توقف را پیدا کنید . |
5 |
6 | در جدول تنظیمات زیر را وارد کنید: |
بیان را متوقف کنید | توقف کنید اگر | فعال | شرح |
comp1.PositiveCC(comp1.phis)<2.0 | درست (>=1) | √ | توقف بیان 1 |
مشخص کنید که محلول هم قبل و هم بعد از رسیدن به حالت توقف ذخیره شود.
7 | قسمت Output at Stop را پیدا کنید . از لیست افزودن راه حل ، مراحل قبل و بعد از توقف را انتخاب کنید . |
8 | کادر بررسی Add warning را پاک کنید . |
خروجی حل کننده را تغییر دهید تا تمام مراحل حل کننده ذخیره شود تا وضوح بهتری برای منحنی های تخلیه به دست آورید.
گام های واقعی انجام شده توسط حل کننده را ذخیره کنید تا مطمئن شوید که تغییرات ولتاژ شدید ناگهانی را ثبت می کند.
9 | در پنجره Model Builder ، در قسمت Study 2>Solver Configurations>Solution 3 (sol3) روی Time-Dependent Solver 1 کلیک کنید . |
10 | در پنجره تنظیمات برای حل وابسته به زمان ، بخش عمومی را پیدا کنید . |
11 | از لیست Times to store ، Steps taken by solver را انتخاب کنید . |
فقط در هر مرحله سوم ذخیره کنید. این باعث کاهش اندازه راه حل ذخیره شده و اندازه فایل مدل می شود.
12 | در فیلد متنی Store every Nth step ، 3 را تایپ کنید . |
13 | در پنجره Model Builder ، روی Study 2 کلیک کنید . |
14 | در پنجره تنظیمات برای مطالعه ، قسمت تنظیمات مطالعه را پیدا کنید . |
15 | تیک Generate defaults defaults را پاک کنید . |
16 | در نوار ابزار مطالعه ، |
نتایج
اکنون می توانید منحنی های دبی را برای مطالعه پارامتری با انجام مراحل زیر رسم کنید ( شکل 4 ):
گروه طرح 1 بعدی 8
1 | در نوار ابزار صفحه اصلی ، روی |
2 | در پنجره Settings for 1D Plot Group ، بخش Data را پیدا کنید . |
3 | از لیست مجموعه داده ها ، مطالعه 2/ راه حل های پارامتریک 1 (sol5) را انتخاب کنید . |
این مجموعه داده شامل راه حل های مدل باتری برای جابجایی پارامتریک در مطالعه 2 است.
نمودار نقطه 1
1 | روی 1D Plot Group 8 کلیک راست کرده و Point Graph را انتخاب کنید . |
2 | فقط مرز 4 را انتخاب کنید. |
3 | در پنجره تنظیمات نمودار نقطهای ، روی Replace Expression در گوشه سمت راست بالای بخش y-Axis Data کلیک کنید . از منو، Component 1 (comp1)>Lithium-Ion Battery>phis – Electric Potential – V را انتخاب کنید . |
4 | قسمت x-Axis Data را پیدا کنید . از لیست Parameter ، Expression را انتخاب کنید . |
برای بدست آوردن ظرفیت در امتداد محور افقی، زمان را بر حسب ساعت در جریان تخلیه ضرب کنید.
5 | در قسمت متن Expression ، (t[s]/1[h])*i_app_p را تایپ کنید . |
6 | قسمت Legends را پیدا کنید . تیک Show legends را انتخاب کنید . |
7 | از لیست Legends ، ارزیابی شده را انتخاب کنید . |
8 | در قسمت متن Legend ، eval(C) C را تایپ کنید . |
9 | در نوار ابزار 1D Plot Group 8 ، روی |
گروه طرح 1 بعدی 8
طرح را با افزودن عنوان و برچسب های محور و تنظیم محدوده محورها به پایان برسانید.
1 | در پنجره Model Builder ، روی 1D Plot Group 8 کلیک کنید . |
2 | در پنجره Settings for 1D Plot Group ، قسمت Title را پیدا کنید . |
3 | از لیست نوع عنوان ، دستی را انتخاب کنید . |
4 | در قسمت متن عنوان ، منحنی تخلیه را تایپ کنید . |
5 | قسمت Plot Settings را پیدا کنید . |
6 | چک باکس x-axis label را انتخاب کنید . در قسمت متن مرتبط، ظرفیت (Ah/m<sup>2</sup>) را تایپ کنید . |
7 | کادر بررسی برچسب محور y را انتخاب کنید . در قسمت متن مربوطه، Voltage (V) را تایپ کنید . |
8 | قسمت Axis را پیدا کنید . تیک گزینه Manual axis limits را انتخاب کنید . |
9 | در قسمت حداقل متن x ، 0 را تایپ کنید . |
10 | در قسمت متن حداکثر x ، 19 را تایپ کنید . |
11 | در قسمت حداقل y متن، 2.0 را تایپ کنید . |
12 | در قسمت متن حداکثر y ، 4.4 را تایپ کنید . |
13 | در نوار ابزار 1D Plot Group 8 ، روی |



