پراکندگی نوری روی نانوکره طلا
معرفی
این مدل محاسبه پراکندگی یک موج سطحی نور از نانوکره طلا را نشان می دهد. پراکندگی برای محدوده فرکانس نوری محاسبه میشود، که طلا را میتوان به عنوان مادهای با گذردهی با ارزش پیچیده منفی مدلسازی کرد. الگوی میدان دور و تلفات محاسبه می شوند.

شکل 1: یک کره طلایی که توسط یک موج صاف روشن می شود. به دلیل تقارن، فقط یک چهارم کره باید مدل شود.
تعریف مدل
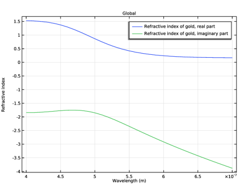
همانطور که در شکل 1 نشان داده شده است، یک کره طلایی با شعاع r  =  100 نانومتر توسط یک موج صاف روشن می شود . محدوده طول موج فضای آزاد از 400 نانومتر تا 700 نانومتر شبیه سازی شده است. ضریب شکست پیچیده طلا از پایگاه داده مواد نوری گرفته شده است، جایی که توابع درون یابی برای تعداد زیادی از مواد نوری رایج استفاده می شود. شکل 2 بخش های واقعی و خیالی ضریب شکست طلا را برای محدوده طول موج مورد استفاده در شبیه سازی نشان می دهد.

شکل 2: بخش واقعی و خیالی ضریب شکست طلا.
از ضریب شکست، گذردهی نسبی از رابطه پیدا می شود
 ،
،که در آن قسمت های واقعی گذردهی نسبی و ضریب شکست با اعداد اول و به طور مشابه قسمت های خیالی با bis نشان داده می شوند. شکل 3 گذردهی نسبی را نشان می دهد که مربوط به ضریب شکست ترسیم شده در شکل 2 است . توجه کنید که بخش واقعی گذردهی نسبی برای این محدوده طول موج منفی است.

شکل 3: قسمت های واقعی و خیالی گذردهی نسبی طلا.
در محدوده طول موج مورد نظر، می توان عمق پوست را از طریق محاسبه کرد

که در آن k 0 عدد موج فضای آزاد است و εr گذردهی نسبی با مقدار مختلط است . عمق پوست در شکل 4 نشان داده شده است و از 28 نانومتر تا 44 نانومتر متغیر است. عمق پوست با فرض بروز موج مسطح بر روی سطح صاف ارزیابی می شود، بنابراین به طور مستقیم روی کره طلایی در مدل قابل اعمال نیست.

شکل 4: عمق پوست طلا.
با توجه به تقارن مسئله، تنها یک چهارم کره مدل شده است. ناحیه ای از هوا در اطراف کره نیز مدل سازی شده است که عرض آن برابر با نصف طول موج در فضای آزاد است. یک دامنه لایه کاملاً منطبق (PML) خارج از حوزه هوا است و به عنوان یک جاذب میدان پراکنده عمل می کند. PML نباید در میدان نزدیک واکنش دهنده پراکنده باشد، معمولاً قرار دادن آن در فاصله نیمموج کافی است. الگوی تابش میدان دور و تلفات حرارتی محاسبه می شود.
نتایج و بحث
الگوهای میدان دور نشان میدهند که در طول موجهای کوتاه، یک کره طلایی نور را در جهت انتشار نور فرودی به جلو پراکنده میکند. در طول موجهای بلندتر، میدانهای پراکنده از کره بیشتر شبیه الگوی تشعشعی یک آنتن دوقطبی به نظر میرسند. الگوی تابش میدان دور برای طول موج 700 نانومتر در شکل 5 نشان داده شده است . نماد صفحه E و صفحه H از نظریه آنتن سرچشمه می گیرد، که در آن صفحه E صفحه حاوی قطبش میدان الکتریکی و جهت حداکثر تابش را نشان می دهد، در حالی که صفحه H نشان دهنده صفحه حاوی میدان مغناطیسی و جهت است. حداکثر تشعشع در این حالت، E-plane نشان دهنده xz -plane و H-plane نشان دهنده xy -plane است.
تلفات حرارتی که در شکل 6 نشان داده شده است ، نشان می دهد که ذره ترجیحاً طول موج های کوتاه تری را جذب می کند. شعاع کره را نیز می توان تغییر داد تا ببینیم چگونه جذب به هندسه بستگی دارد.

شکل 5: الگوی تابش میدان دور در صفحه E (آبی) و صفحه H (سبز) زمانی که طول موج 700 نانومتر است.

شکل 6: تلفات حرارتی مقاومتی در کره طلا.
مسیر کتابخانه برنامه: Wave_Optics_Module/Optical_Scattering/Scattering_nanosphere
دستورالعمل مدلسازی
از منوی File ، New را انتخاب کنید .
جدید
در پنجره جدید ، روی  Model  Wizard کلیک کنید .
 Model  Wizard کلیک کنید .
 Model  Wizard کلیک کنید .
 Model  Wizard کلیک کنید .مدل جادوگر
| 1 | در پنجره Model  Wizard ، روی   3D کلیک کنید . | 
| 2 | در درخت Select  Physics ، Optics>Wave  Optics>Electromagnetic  Waves،  Frequency  Domain  (ewfd) را انتخاب کنید . | 
| 3 | روی افزودن کلیک کنید . | 
| 4 |  روی مطالعه کلیک کنید . | 
| 5 | در درخت انتخاب  مطالعه ، مطالعات پیشفرض  برای واسطهای فیزیک انتخاب شده > دامنه طول موج را انتخاب کنید . | 
| 6 |  روی Done کلیک کنید . | 
تعاریف جهانی
پارامترهایی را تعریف کنید که برای تنظیم هندسه و مطالعه مفید هستند.
پارامترهای 1
| 1 | در پنجره Model  Builder ، در قسمت Global  Definitions روی Parameters  1 کلیک کنید . | 
| 2 | در پنجره تنظیمات برای پارامترها ، بخش پارامترها را پیدا کنید . | 
| 3 | در جدول تنظیمات زیر را وارد کنید: | 
| نام | اصطلاح | ارزش | شرح | 
| r0 | 100[nm] | 1E-7 متر | شعاع کره | 
| lda | 400[nm] | 4E-7 متر | طول موج | 
| t_air | lda/2 | 2E-7 متر | ضخامت هوای اطراف کره | 
| t_pml | lda/2 | 2E-7 متر | ضخامت PML | 
در اینجا، c_const یک ثابت COMSOL از پیش تعریف شده برای سرعت نور است.
هندسه 1
یک کره با لایه ها ایجاد کنید. بیرونی ترین لایه نشان دهنده PML ها و هسته نشان دهنده کره طلایی است. لایه میانی حوزه هوا است.
کره 1 (sph1)
| 1 | در نوار ابزار Geometry ، روی   Sphere کلیک کنید . | 
| 2 | در پنجره تنظیمات برای Sphere ، بخش Size را پیدا کنید . | 
| 3 | در قسمت متن Radius ، r0+t_air+t_pml را تایپ کنید . | 
| 4 | برای گسترش بخش لایه ها کلیک کنید . در جدول تنظیمات زیر را وارد کنید: | 
| نام لایه | ضخامت (متر) | 
| لایه 1 | t_pml | 
| لایه 2 | t_air | 
| 5 |  روی Build  Selected کلیک کنید . | 
رندر وایرفریم را انتخاب کنید تا دید بهتری از قسمت های داخلی داشته باشید.
| 6 |  روی دکمه Wireframe  Rendering در نوار ابزار Graphics کلیک کنید . | 
بلوک 1 (blk1)
سپس یک بلوک را اضافه کنید که یک چهارم کره را قطع می کند.
| 1 | در نوار ابزار Geometry ، روی   Block کلیک کنید . | 
| 2 | در پنجره تنظیمات برای Block ، قسمت Size  and  Shape را پیدا کنید . | 
| 3 | در قسمت متن Width ، 2*(r0+t_air+t_pml) را تایپ کنید . | 
| 4 | در قسمت متن عمق ، 2*(r0+t_air+t_pml) را تایپ کنید . | 
| 5 | در قسمت متن ارتفاع ، 2*(r0+t_air+t_pml) را تایپ کنید . | 
| 6 | قسمت Position را پیدا کنید . در قسمت متن x ، -(r0+t_air+t_pml) را تایپ کنید . | 
| 7 |  روی Build  Selected کلیک کنید .  | 
تقاطع 1 (int1)
کره چهارم را با تقاطع دو جسم ایجاد کنید.
| 1 | در نوار ابزار Geometry ، روی   Booleans  and  Partitions کلیک کنید و Intersection را انتخاب کنید . | 
| 2 | در پنجره Graphics کلیک کنید و سپس Ctrl+A را فشار دهید تا هر دو شی انتخاب شوند. | 
| 3 | در پنجره تنظیمات برای تقاطع ، روی   Build  All  Objects کلیک کنید . | 
| 4 |  روی دکمه Zoom  Extents در نوار ابزار Graphics کلیک کنید .  | 
تعاریف
یک متغیر برای کل تلفات حرارتی در کره طلا که به عنوان انتگرال حجمی از تلفات مقاومتی محاسبه می شود، اضافه کنید. ابتدا یک جفت ادغام غیرمحلی برای انتگرال حجمی کره طلا اضافه کنید.
ادغام 1 (در اول)
| 1 | در نوار ابزار تعاریف ، روی   Nonlocal  Couplings کلیک کرده و Integration را انتخاب کنید . | 
| 2 | در پنجره تنظیمات برای ادغام ، int_L را در قسمت متنی نام اپراتور  تایپ کنید . | 
| 3 | فقط دامنه 3 را انتخاب کنید. | 
متغیرهای 1
| 1 | در نوار ابزار تعاریف ، روی متغیرهای   محلی  کلیک کنید . | 
متغیر اتلاف حرارت را برای طلا و متغیرهایی که نشان دهنده ضریب شکست، گذردهی نسبی و عمق پوست طلا هستند را اضافه کنید.
| 2 | در پنجره تنظیمات برای متغیرها ، بخش متغیرها را پیدا کنید . | 
| 3 | در جدول تنظیمات زیر را وارد کنید: | 
| نام | اصطلاح | واحد | شرح | 
| l_طلا | int_L(ewfd.Qrh) | دبلیو | تلفات حرارتی | 
| n_طلا | int_L(ewfd.nxx-j*ewfd.kixx)/(pi*r0^3/3) | ضریب شکست طلا | |
| epsilonr_gold | n_gold^2 | گذردهی نسبی طلا | |
| deltaS_gold | 1/real(sqrt(-(ewfd.k0*n_gold)^2)) | متر | عمق پوست از طلا | 
اینجا، ewfd. پیشوند محدوده فیزیک-رابط صحیح را برای تلفات مقاومتی می دهد. با محاسبه میانگین ضریب شکست برای کره طلا، این متغیر میانگین میتواند بعداً در یک نمودار جهانی ارزیابی شود.
مواد
هوا را به عنوان ماده برای همه حوزه ها به جز کره طلایی تعیین کنید.
مواد را اضافه کنید
| 1 | در نوار ابزار Home ، روی   Add  Material کلیک کنید تا پنجره Add  Material باز شود . | 
| 2 | به پنجره Add  Material بروید . | 
| 3 | در درخت، Built-in>Air را انتخاب کنید . | 
| 4 | روی Add  to  Component در نوار ابزار پنجره کلیک کنید . | 
| 5 | در درخت، Optical>Inorganic  Materials>Au  –  Gold>Models  and  Simulations>Au  (طلا) را انتخاب کنید  (Rakic  et  al.  1998:  Brendel-Bormann  model;  n,k  0.248-6.20  um) . | 
| 6 | روی Add  to  Component در نوار ابزار پنجره کلیک کنید . | 
| 7 | در نوار ابزار Home ، روی   Add  Material کلیک کنید تا پنجره Add  Material بسته شود . | 
مواد
طلا (طلا) (Rakic et al. 1998: Brendel-Bormann model; n,k 0.248-6.20 um) (mat2)
فقط دامنه 3 را انتخاب کنید.

امواج الکترومغناطیسی، دامنه فرکانس (EWFD)
حالا فیزیک را تنظیم کنید. شما مدل را برای میدان پراکنده حل می کنید، بنابراین به اطلاعات میدان الکتریکی پس زمینه (E-field) نیاز دارد. موج صفحه پس زمینه در جهت مثبت x حرکت می کند و میدان الکتریکی در امتداد محور z قطبی شده است . شرط مرزی پیشفرض رسانای الکتریکی کامل است که برای تمام مرزهای بیرونی از جمله مرزهای عمود بر قطبش میدان E پسزمینه اعمال میشود.
| 1 | در پنجره Model  Builder ، در قسمت Component  1  (comp1) روی امواج الکترومغناطیسی  ،  دامنه فرکانس  (ewfd) کلیک کنید . | 
| 2 | در پنجره تنظیمات برای امواج الکترومغناطیسی ،  دامنه فرکانس ، بخش Formulation را پیدا کنید . | 
| 3 | از لیست، قسمت Scattered  را انتخاب کنید . | 
| 4 | بردار E b را به صورت مشخص کنید | 
| 0 | ایکس | 
| 0 | y | 
| exp(-j*ewfd.k0*x) | z | 
شرایط مرزی پراکندگی 1
| 1 | در نوار ابزار Physics ، روی   Boundaries کلیک کنید و Scattering  Boundary  Condition را انتخاب کنید . | 
| 2 | فقط مرزهای 3 و 16 را انتخاب کنید.  | 
تعاریف
بیرونی ترین حوزه ها از مرکز کره PML ها هستند.
کاملاً منطبق بر لایه 1 (pml1)
| 1 | در نوار ابزار تعاریف ، روی لایه   کاملاً  منطبق  کلیک کنید . | 
| 2 | فقط دامنه های 1 و 5 را انتخاب کنید. | 
| 3 | در پنجره تنظیمات برای لایه کاملاً  منطبق  ، قسمت هندسه را پیدا کنید . | 
| 4 | از لیست Type ، Spherical را انتخاب کنید .  | 
امواج الکترومغناطیسی، دامنه فرکانس (EWFD)
صفحه تقارن PEC را روی مرزهای نرمال با میدان E پس زمینه و صفحه تقارن PMC را روی مرزهای موازی با قطبش میدان E پس زمینه تنظیم کنید.
صفحه تقارن، PEC
| 1 | در نوار ابزار Physics ، روی   Boundaries کلیک کنید و Symmetry  Plane را انتخاب کنید . | 
| 2 | در پنجره تنظیمات Symmetry  Plane ، Symmetry Plane، PEC را در قسمت نوشتار Label تایپ کنید . | 
| 3 | فقط مرزهای 2، 5، 9، 17 و 18 را انتخاب کنید. | 
| 4 | قسمت Symmetry  Plane را پیدا کنید . از لیست نوع Symmetry  ، میدان الکتریکی مماسی صفر (PEC) را انتخاب کنید . | 
صفحه تقارن، PMC
| 1 | در نوار ابزار Physics ، روی   Boundaries کلیک کنید و Symmetry  Plane را انتخاب کنید . | 
| 2 | در پنجره تنظیمات Symmetry  Plane ، Symmetry Plane, PMC را در قسمت نوشتار Label تایپ کنید . | 
| 3 | فقط مرزهای 1، 4، 8، 11 و 14 را انتخاب کنید. | 
دامنه میدان دور 1
در نوار ابزار Physics ، روی  Domains کلیک کنید و دامنه Far-Field  Domain را انتخاب کنید .
 Domains کلیک کنید و دامنه Far-Field  Domain را انتخاب کنید .
 Domains کلیک کنید و دامنه Far-Field  Domain را انتخاب کنید .
 Domains کلیک کنید و دامنه Far-Field  Domain را انتخاب کنید .محاسبه میدان دور 1
| 1 | در پنجره Model  Builder ، گره Far-Field  Domain  1 را گسترش دهید ، سپس روی Far-Field  Calculation  1 کلیک کنید . | 
| 2 | در پنجره تنظیمات برای محاسبه میدان دور  ، بخش محاسبه میدان دور را پیدا کنید . | 
| 3 | از لیست تنظیمات Symmetry  ، از صفحه(های) متقارن را انتخاب کنید . | 
مش 1
به طور خودکار مش را از طول موج مشخص شده و پارامترهای مواد تعریف کنید.
| 1 | در پنجره Model  Builder ، در قسمت Component  1  (comp1) روی Mesh  1 کلیک کنید . | 
| 2 | در پنجره تنظیمات برای مش ، بخش امواج الکترومغناطیسی  ،  دامنه فرکانس  (ewfd) را پیدا کنید . | 
| 3 | از فهرست پارامترهای کنترل اندازه عنصر حداکثر  مش ،  طول موج را انتخاب کنید . | 
| 4 | در قسمت متن حداقل  خلاء  طول موج ، lda را تایپ کنید . | 
| 5 | تیک گزینه Resolve  wave  in  lossy  media را انتخاب کنید تا میدان تا عمق پوست در کره طلایی حل شود. | 
مطالعه 1
برای ایجاد یک مش جدید برای هر طول موج در جارو، یک جارو پارامتریک اضافه کنید.
جارو پارامتریک
| 1 | در نوار ابزار مطالعه ، روی Sweep   پارامتری  کلیک کنید . | 
| 2 | در پنجره تنظیمات برای جابجایی پارامتری  ، بخش تنظیمات مطالعه را پیدا کنید . | 
| 3 |  روی افزودن کلیک کنید . | 
| 4 | در جدول تنظیمات زیر را وارد کنید: | 
| نام پارامتر | لیست مقادیر پارامتر | واحد پارامتر | 
| lda (طول موج) | محدوده (400[nm],300[nm]/30,700[nm]) | متر | 
مرحله 1: دامنه طول موج
| 1 | در پنجره Model  Builder ، روی مرحله  1:  دامنه طول موج  کلیک کنید . | 
| 2 | در پنجره تنظیمات دامنه طول موج  ، بخش تنظیمات مطالعه را پیدا کنید . | 
| 3 | در قسمت متن طول موج ، lda را تایپ کنید . | 
| 4 | در پنجره Model  Builder ، روی Study  1 کلیک کنید . | 
| 5 | در پنجره تنظیمات برای مطالعه ، قسمت تنظیمات مطالعه  را پیدا کنید . | 
| 6 | تیک Generate  defaults defaults را  پاک کنید . | 
| 7 | در نوار ابزار مطالعه ،   روی محاسبه کلیک کنید . | 
نتایج
تجزیه و تحلیل و تجسم نتایج را با افزودن یک انتخاب برای مشاهده تلفات مقاومتی فقط در داخل کره طلا آغاز کنید.
در پنجره Model  Builder ، گره Results را گسترش دهید .
مطالعه 1/راه حل های پارامتریک 1 (sol2)
در پنجره Model  Builder ، گره Results>Datasets را گسترش دهید ، سپس روی Study  1/Parametric  Solutions  1  (sol2) کلیک کنید .
انتخاب
| 1 | در نوار ابزار نتایج ، روی   ویژگی ها کلیک کنید و Selection را انتخاب کنید . | 
| 2 | در پنجره تنظیمات برای انتخاب ، قسمت انتخاب موجودیت هندسی  را پیدا کنید . | 
| 3 | از لیست سطح نهاد هندسی  ، دامنه را انتخاب کنید . | 
| 4 | فقط دامنه 3 را انتخاب کنید. | 
گروه طرح سه بعدی 1
| 1 | در نوار ابزار نتایج ، روی   3D  Plot  Group کلیک کنید . | 
| 2 | در پنجره Settings for 3D  Plot  Group ، بخش Data را پیدا کنید . | 
| 3 | از لیست مجموعه داده ، مطالعه  1/  راه حل های پارامتریک  1  (sol2) را انتخاب کنید . | 
جلد 1
| 1 | روی 3D  Plot  Group  1 کلیک راست کرده و Volume را انتخاب کنید . | 
| 2 | در پنجره تنظیمات برای حجم ، روی Replace  Expression در گوشه سمت راست بالای بخش Expression کلیک کنید . از منو، Component  1  (comp1)>Electromagnetic  Waves،  Frequency  Domain>Heating  and  losses>ewfd.Qrh  –  Resistive  losses  –  W/m³ را انتخاب کنید . | 
| 3 | در نوار ابزار 3D Plot Group 1 ، روی   Plot کلیک کنید . | 
| 4 |  روی دکمه Zoom  Extents در نوار ابزار Graphics کلیک کنید .  | 
پلات قطبی گروه 2
دستورالعمل های زیر نمودار قطبی میدان دور را در صفحه E و صفحه H نشان داده شده در شکل 5 بازتولید می کند .
| 1 | در نوار ابزار صفحه اصلی ، روی   Add  Plot  Group کلیک کنید و Polar  Plot  Group را انتخاب کنید . | 
| 2 | در پنجره تنظیمات برای گروه پلات قطبی  ، بخش داده را پیدا کنید . | 
| 3 | از لیست مجموعه داده ، مطالعه  1/  راه حل های پارامتریک  1  (sol2) را انتخاب کنید . | 
| 4 | از لیست انتخاب پارامتر  (lda) ، گزینه Last را انتخاب کنید . | 
الگوی تشعشع 1
| 1 | در نوار ابزار Polar Plot Group 2 ، روی   More  Plots کلیک کنید و Radiation  Pattern را انتخاب کنید . | 
| 2 | در پنجره تنظیمات برای الگوی تشعشع  ، بخش ارزیابی را پیدا کنید . | 
| 3 | زیربخش Angles را پیدا کنید . در قسمت متنی Number  of  angles عدد 100 را تایپ کنید . | 
| 4 | زیربخش Normal  vector را پیدا کنید . در قسمت متن y ، 1 را تایپ کنید . | 
| 5 | در قسمت متن z ، 0 را تایپ کنید . | 
| 6 | برای گسترش بخش Legends کلیک کنید . از فهرست Legends ، Manual را انتخاب کنید . | 
| 7 | در جدول تنظیمات زیر را وارد کنید: | 
| افسانه ها | 
| هواپیمای الکترونیکی | 
| 8 | در نوار ابزار Polar Plot Group 2 ، روی   Plot کلیک کنید . | 
صفحه E در این مدل در صفحه xz قرار دارد که زاویه φ در خلاف جهت عقربه های ساعت از محور x اندازه گیری می شود .
پلات قطبی گروه 2
نمودار قطبی صفحه H را اضافه کنید.
در پنجره Model  Builder ، روی Polar  Plot  Group  2 کلیک کنید .
الگوی تشعشعی 2
| 1 | در نوار ابزار Polar Plot Group 2 ، روی   More  Plots کلیک کنید و Radiation  Pattern را انتخاب کنید . | 
| 2 | در پنجره تنظیمات برای الگوی تشعشع  ، بخش ارزیابی را پیدا کنید . | 
| 3 | زیربخش Angles را پیدا کنید . در قسمت متنی Number  of  angles عدد 100 را تایپ کنید . | 
| 4 | قسمت Legends را پیدا کنید . از فهرست Legends ، Manual را انتخاب کنید . | 
| 5 | در جدول تنظیمات زیر را وارد کنید: | 
| افسانه ها | 
| هواپیمای H | 
| 6 | در نوار ابزار Polar Plot Group 2 ، روی   Plot کلیک کنید . | 
گروه طرح 1 بعدی 3
دستورالعمل های زیر نموداری از تلفات گرما در داخل کره طلا ایجاد می کند ( شکل 6 را ببینید ).
| 1 | در نوار ابزار صفحه اصلی ، روی   Add  Plot  Group کلیک کنید و 1D  Plot  Group را انتخاب کنید . | 
| 2 | در پنجره Settings for 1D  Plot  Group ، بخش Data را پیدا کنید . | 
| 3 | از لیست مجموعه داده ، مطالعه  1/  راه حل های پارامتریک  1  (sol2) را انتخاب کنید . | 
جهانی 1
| 1 | روی 1D  Plot  Group  3 کلیک راست کرده و Global را انتخاب کنید . | 
| 2 | در پنجره تنظیمات برای جهانی ، روی Replace  Expression در گوشه سمت راست بالای بخش y-Axis  Data کلیک کنید . از منو، Component  1  (comp1)>Definitions>Variables>l_gold  –  Heat  losses  –  W را انتخاب کنید . | 
| 3 | قسمت x-Axis  Data را پیدا کنید . از فهرست داده های منبع محور  ، راه حل های بیرونی را انتخاب کنید . | 
| 4 | برای گسترش بخش Legends کلیک کنید . تیک Show  legends را پاک کنید . | 
گروه طرح 1 بعدی 3
| 1 | در پنجره Model  Builder ، روی 1D  Plot  Group  3 کلیک کنید . | 
| 2 | در پنجره Settings for 1D  Plot  Group ، قسمت Plot  Settings را پیدا کنید . | 
| 3 | چک باکس x-axis  label را انتخاب کنید . در قسمت متن مرتبط، طول موج (m) را تایپ کنید . | 
| 4 | در نوار ابزار 1D Plot Group 3 ، روی   Plot کلیک کنید . نمودار حاصل را با شکل 6 مقایسه کنید . | 
گروه طرح 1 بعدی 4
در نهایت، نمودارهایی را اضافه کنید که بخش های واقعی و خیالی ضریب شکست و گذردهی نسبی طلا و همچنین عمق پوست را نشان می دهد.
| 1 | روی Results>1D  Plot  Group  3 کلیک راست کرده و Duplicate را انتخاب کنید . | 
| 2 | در پنجره Settings for 1D  Plot  Group ، قسمت Plot  Settings را پیدا کنید . | 
| 3 | کادر بررسی برچسب محور y  را انتخاب کنید . در قسمت متن مربوطه، ضریب شکست را تایپ کنید . | 
جهانی 1
| 1 | در پنجره Model  Builder ، گره 1D  Plot  Group  4 را گسترش دهید ، سپس روی Global  1 کلیک کنید . | 
| 2 | در پنجره تنظیمات برای جهانی ، روی Replace  Expression در گوشه سمت راست بالای بخش y-Axis  Data کلیک کنید . از منو، Component  1  (comp1)>Definitions>Variables>n_gold  –  ضریب شکست  طلا را انتخاب کنید . | 
| 3 | قسمت y-Axis  Data را پیدا کنید . در جدول تنظیمات زیر را وارد کنید: | 
| اصطلاح | واحد | شرح | 
| واقعی (n_gold) | 1 | ضریب شکست طلا، قطعه واقعی | 
| تصویر (n_gold) | 1 | ضریب شکست طلا، قسمت خیالی | 
| 4 | قسمت Legends را پیدا کنید . تیک Show  legends را انتخاب کنید . | 
| 5 | از فهرست Legends ، Manual را انتخاب کنید . | 
| 6 | در جدول تنظیمات زیر را وارد کنید: | 
| افسانه ها | 
| ضریب شکست طلا، قطعه واقعی | 
| ضریب شکست طلا، قسمت خیالی | 
| 7 | در نوار ابزار 1D Plot Group 4 ، روی   Plot کلیک کنید . نمودار حاصل را با شکل 2 مقایسه کنید . | 
گروه طرح 1 بعدی 5
در پنجره Model  Builder ، در زیر Results روی 1D  Plot  Group  4 کلیک راست کرده و Duplicate را انتخاب کنید .
جهانی 1
| 1 | در پنجره Model  Builder ، گره 1D  Plot  Group  5 را گسترش دهید ، سپس روی Global  1 کلیک کنید . | 
| 2 | در پنجره تنظیمات برای جهانی ، روی Replace  Expression در گوشه سمت راست بالای بخش y-Axis  Data کلیک کنید . از منو، Component  1  (comp1)>Definitions>Variables>epsilonr_gold  –  Permittivity نسبی  طلا را انتخاب کنید . | 
| 3 | قسمت y-Axis  Data را پیدا کنید . در جدول تنظیمات زیر را وارد کنید: | 
| اصطلاح | واحد | شرح | 
| واقعی (epsilonr_gold) | 1 | گذردهی نسبی طلا، قطعه واقعی | 
| تصویر (epsilonr_gold) | 1 | گذر نسبی طلا، قسمت خیالی | 
| 4 | قسمت Legends را پیدا کنید . در جدول تنظیمات زیر را وارد کنید: | 
| افسانه ها | 
| گذردهی نسبی طلا، قطعه واقعی | 
| گذر نسبی طلا، قسمت خیالی | 
گروه طرح 1 بعدی 5
| 1 | در پنجره Model  Builder ، روی 1D  Plot  Group  5 کلیک کنید . | 
| 2 | در پنجره Settings for 1D  Plot  Group ، قسمت Plot  Settings را پیدا کنید . | 
| 3 | در فیلد نوشتاری برچسب محور y  ، Relative permittivity را تایپ کنید . | 
| 4 | قسمت Legend را پیدا کنید . از لیست موقعیت ، پایین  سمت چپ را انتخاب کنید . | 
| 5 | در نوار ابزار 1D Plot Group 5 ، روی   Plot کلیک کنید . نمودار حاصل را با شکل 3 مقایسه کنید و متوجه شوید که بخش واقعی گذردهی نسبی در این محدوده طول موج منفی است. | 
گروه طرح 1 بعدی 6
در پنجره Model  Builder ، در زیر Results روی 1D  Plot  Group  3 کلیک راست کرده و Duplicate را انتخاب کنید .
جهانی 1
| 1 | در پنجره Model  Builder ، گره 1D  Plot  Group  6 را گسترش دهید ، سپس روی Global  1 کلیک کنید . | 
| 2 | در پنجره تنظیمات برای جهانی ، روی Replace  Expression در گوشه سمت راست بالای بخش y-Axis  Data کلیک کنید . از منو، Component  1  (comp1)>Definitions>Variables>deltaS_gold  –  Skin  depth  of  gold  –  m را انتخاب کنید . | 
| 3 | قسمت y-Axis  Data را پیدا کنید . در جدول تنظیمات زیر را وارد کنید: | 
| اصطلاح | واحد | شرح | 
| deltaS_gold | نانومتر | عمق پوست از طلا | 
| 4 | در نوار ابزار 1D Plot Group 6 ، روی   Plot کلیک کنید . نمودار حاصل را با شکل 4 مقایسه کنید . | 
 
