میکسر لاملا

View Categories

میکسر لاملا

18 min read

PDF

میکسر لاملا
معرفی
در سطح ماکروسکوپی، سیستم ها معمولاً سیالات را با استفاده از محرک های مکانیکی یا جریان سه بعدی آشفته مخلوط می کنند. با این حال، در سطح خرد، هیچ یک از این رویکردها عملی یا حتی ممکن نیست. این مدل اختلاط سیالات را با استفاده از جریان لایه لایه در یک میکسر میکروسیال نشان می دهد.
برای توصیف رفتار آشفته جریان سیال، دانشمندان عموماً از عدد رینولدز استفاده می کنند
که ρ چگالی سیال، u سرعت جریان، L طول مشخصه، و μ ویسکوزیته دینامیکی سیال است. جریان آشفته زمانی اتفاق می افتد که عدد رینولدز زیاد باشد، معمولاً زمانی که Re  >  2000 باشد . در مقیاس های میکروسیال، عرض یک کانال در محدوده 100  میکرومتر و سرعت آن تقریباً 1  سانتی متر بر ثانیه است. در این حالت برای مواد آب مانند Re نزدیک به وحدت است. بنابراین جریان سیال کاملاً آرام است، بنابراین اختلاط مؤثر سیالات در دستگاه‌های میکروسیال به ابزارهای دیگری نیاز دارد.
شکل 1 بخشی از یک جزء را نشان می دهد که از جریان لایه ای برای بهبود اختلاط استفاده می کند. میکسر دارای چندین لاملا از میکروکانال است و دو سیال در حال مخلوط شدن برای هر لایه دوم متناوب می شوند. فشار سیال را مجبور می کند تا در کانال ها از عقب به جلو حرکت کند. مایع وارد فضای بزرگ تری می شود، محفظه اختلاط (که در جلوی تصویر قابل مشاهده است). این شکل شامل این محفظه نمی شود، اما منطقه فراتر از جایی که شبکه میکروکانال به پایان می رسد را پوشش می دهد. در نزدیکی انتهای میکروکانال ها، محفظه اختلاط دارای لاملاهای مشخصی از دو سیال است، اما این جدایی به سمت انتهای محفظه ناپدید می شود.
شکل 1: هندسه مخلوط کن لاملا (محفظه اختلاط قابل مشاهده نیست).
تعریف مدل
این مدل وضعیت حالت پایدار جریان سیال و همچنین جابجایی و انتشار یک ماده محلول در مخلوط کن لاملا را تجزیه و تحلیل می کند. هندسه در شکل 2 با شکل 1 مطابقت دارد با این تفاوت که فقط بخش عمودی کوچکی از مخلوط کن با ارتفاع 30  میکرومتر را شامل می شود . این مدل از صفحه ای در وسط کانال که به سمت چپ خم می شود شروع می شود و به صفحه ای در وسط کانال خمیده به راست ختم می شود.
هر میکروکانال در میکسر دارای سطح مقطع درجه دوم با ضلع 20  میکرومتر است . به دلیل هندسه انتخابی، ارتفاع میکروکانال در مدل تنها 10  میکرومتر است . سیال خروجی از میکروکانال ها وارد محفظه اختلاط به طول 200  میکرومتر و عرض 80  میکرومتر می شود .
شکل 2: هندسه مدل برای مخلوط کن لاملا از تقارن بهره می برد، بنابراین نیازی به مدل سازی کل ارتفاع دستگاه نیست.
شما جریان سیال در کانال ها و محفظه را با معادلات تراکم ناپذیر ناویر-استوکس حل می کنید.
(1)
که ρ چگالی سیال است، u = ( u ، v، w ) میدان سرعت جریان، p فشار سیال، I واحد ماتریس مورب، μ ویسکوزیته دینامیکی سیال و F = ( x ، y است. ، z ) یک نیروی حجمی است که بر سیال تأثیر می گذارد. سیال آب با ρ  =  1000  kg/m 3 ، μ = 0.00 1 Pa·s و F = 0 است زیرا هیچ نیروی حجمی وجود ندارد.
این سیستم فشار  =  10  Pa را بر روی هر شش ورودی میکروکانال اعمال می کند تا جریان را از طریق محفظه اختلاط به جایی که فشار صفر وجود دارد هدایت کند. در خروجی محفظه، سرعت جریان تنها دارای اجزایی در جهت معمولی مرز است.
روی دیوارهای ریز کانال و محفظه اختلاط، شرط مرزی بدون لغزش اعمال می شود. با این حال، در جهت عمودی، با توجه به هندسه، می توانید از یک شرط مرزی تقارن استفاده کنید.
معادله همرفت – انتشار زیر غلظت مواد محلول در سیال را توصیف می کند:
(2)
که در آن c غلظت، D ضریب انتشار و R سرعت واکنش است. در این مدل،  =  10-10  m2 /s، و =  0 زیرا غلظت تحت تأثیر هیچ واکنشی قرار نمی گیرد .
غلظت  =  50  mol/m 3 در مرزهای ورودی کانال هایی که به سمت چپ منحنی می شوند وجود دارد، در حالی که کانال هایی که به سمت راست منحنی می شوند غلظت صفر دارند. در مرز خروجی محفظه اختلاط، ماده از طریق همرفت از مرز عبور می کند. دیواره های کانال ها و محفظه برای این ماده محلول عایق شده اند و در مرزهای بالا و پایین از شرط مرزی تقارن استفاده می کنید.
نتایج و بحث
شکل 3 جریان سیال در مخلوط کن را نشان می دهد. شما می توانید یک تغییر تدریجی در بزرگی سرعت در سراسر برش ها مشاهده کنید که نشان دهنده یک جریان سهموی آرام است. خطوط جریان چرخشی را نشان نمی دهند و فقط تغییرات جزئی در جهت جریان وجود دارد. شکل همچنین نشان می دهد که حداکثر سرعت جریان در میکروکانال ها در مرزهای تقارن مدل است. در داخل محفظه اختلاط، یک گرادیان سرعت جریان فقط در جهت x قابل مشاهده است  . شرایط تقارن در مرزهای بالا و پایین یک پروفیل سرعت یکنواخت در جهت z ارائه می دهد  .
حداکثر سرعت  در میکروکانال ها 1.3 میلی متر بر ثانیه و  در محفظه اختلاط 0.6 میلی متر بر ثانیه است. با توجه به طول های متناظر ( 20  میکرومتر و 80  میکرومتر )، اعداد رینولدز Re  =  0.026 و Re  =  0.048 هستند ، بنابراین جریان به وضوح آرام است.
شکل 3: جریان سیال در مخلوط کن لاملا.
شکل 4 توزیع غلظت بر روی مرزهای مدل را نشان می دهد. کانال های ورودی بسته به کانالغلظت ثابت 0 یا 50  mol/m3 را مشاهده می کنند. اختلاط زمانی شروع می شود که سیال وارد محفظه اختلاط شود. در ورودی یک تفکیک واضح از غلظت وجود دارد، اما به سمت انتهای محفظه کاهش می یابد. در طرفین محفظه اختلاط که سرعت جریان کمتر است اختلاط بهتر از مرکز آن است. با این حال، اختلاط کامل نیست و سرعت جریان کاهش یافته، محفظه اختلاط طولانی‌تر یا وسایل دیگری برای افزایش اختلاط ترجیح داده می‌شود.
شکل 4: نمودار تمرکز بر روی مرزهای مدل مخلوط کن لاملا.
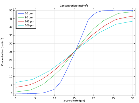
برای دریافت دیدگاه دیگری، شکل 5 را بررسی کنید که نمایه غلظت را در خط مرکزی محفظه نشان می دهد. در نزدیکی کانال‌ها انتقال بسیار سریع است، اما نزدیک‌تر به انتهای محفظه، پروفیل شکل سیگموئیدی صاف‌تری دارد. در طرفین محفظه پروفیل غلظت همان شکل است، اما دامنه آن بین 17   mol/m3 و 32 mol  /m3 است .
اگر نمایه غلظت را برای پوشش کل جزء تعمیم دهید ( شکل 1 )، نمایه یک منحنی موج مانند خواهد بود که در آن غلظت بین مقادیر حداقل و حداکثر آن با فرکانس فضایی مربوط به ضخامت لایه متناوب می شود.
شکل 5: پروفیل غلظت در امتداد یک خط در جهت z در وسط محفظه اختلاط در فواصل مختلف از میکروکانال ها: 20 میکرومتر (جامد)، 80 میکرومتر (نقطه دار)، 140 میکرومتر (بریده بریده) و 200 میکرومتر m (خط تیره).
نکاتی درباره پیاده سازی COMSOL
از آنجایی که غلظت بر جریان سیال تأثیر نمی گذارد، نیازی به حل همزمان رابط های جریان آرام و انتقال گونه های رقیق نیست. با حل متوالی آنها، با شروع معادلات ناویر-استوکس، همگرایی راه حل را بهبود می بخشید و زمان حل را کاهش می دهید.
مسیر کتابخانه برنامه: Microfluidics_Module/Micromixers/lamella_mixer
دستورالعمل مدلسازی
از منوی File ، New را انتخاب کنید .
جدید
در پنجره جدید ، روی  Model  Wizard کلیک کنید .
مدل جادوگر
1
در پنجره Model  Wizard ، روی  3D کلیک کنید .
2
در درخت Select  Physics ، Chemical  Species  Transport > Reacting  Flow > Laminar  Flow،  Diluted  Species را انتخاب کنید .
3
روی افزودن کلیک کنید .
4
 روی مطالعه کلیک کنید .
5
در درخت انتخاب  مطالعه ، General  Studies>Stationary را انتخاب کنید .
6
 روی Done کلیک کنید .
هندسه 1
برای راحتی، هندسه دستگاه از یک فایل موجود درج شده است. می‌توانید دستورالعمل‌های ایجاد هندسه را در ضمیمه — دستورالعمل‌های هندسه بخوانید .
1
در نوار ابزار Geometry ، روی Insert  Sequence کلیک کنید و Insert  Sequence را انتخاب کنید .
2
به پوشه Application Libraries مدل بروید و روی فایل lamella_mixer_geom_sequence.mph دوبار کلیک کنید .
3
در نوار ابزار Geometry ، روی  ساختن  همه کلیک کنید .
ابعاد این هندسه بر حسب میکرومتر آورده شده است، بنابراین واحد طول را بررسی کرده و در صورت لزوم آن را تغییر دهید.
تعاریف جهانی
پارامترهای 1
1
در پنجره Model  Builder ، در قسمت Global  Definitions روی Parameters  1 کلیک کنید .
2
در پنجره تنظیمات برای پارامترها ، بخش پارامترها را پیدا کنید .
3
در جدول تنظیمات زیر را وارد کنید:
 
نام
اصطلاح
ارزش
شرح
p0
10 [Pa]
10 پاس
فشار رانندگی
c0
50 [mol/m^3]
50 mol/m³
غلظت ورودی
D_i
1e-10[m^2/s]
1E-10 متر مربع در ثانیه
ضریب انتشار ایزوتروپیک
بعد، یک ماده برای مایع اضافه کنید.
مواد را اضافه کنید
1
در نوار ابزار Home ، روی  Add  Material کلیک کنید تا پنجره Add  Material باز شود .
2
به پنجره Add  Material بروید .
3
در درخت، Built-in>Water,  liquid را انتخاب کنید .
4
روی Add  to  Component در نوار ابزار پنجره کلیک کنید .
5
در نوار ابزار Home ، روی  Add  Material کلیک کنید تا پنجره Add  Material بسته شود .
مواد
آب، مایع (mat1)
اکنون آماده تنظیم فیزیک هستید.
جریان آرام (SPF)
ورودی 1
1
در پنجره Model  Builder ، در قسمت Component   (comp1) روی Laminar  Flow  (spf) کلیک راست کرده و Inlet را انتخاب کنید .
2
در پنجره تنظیمات برای ورودی ، قسمت انتخاب مرز  را پیدا کنید .
3
از لیست انتخاب ، ورودی را انتخاب کنید .
4
قسمت Boundary  Condition را پیدا کنید . از لیست، فشار را انتخاب کنید .
5
بخش شرایط فشار  را پیدا کنید . در قسمت متن 0 ، p0 را تایپ کنید .
تقارن 1
1
در نوار ابزار Physics ، روی  Boundaries کلیک کنید و Symmetry را انتخاب کنید .
2
 روی دکمه Wireframe  Rendering در نوار ابزار Graphics کلیک کنید .
3
در پنجره تنظیمات برای تقارن ، قسمت انتخاب مرز  را پیدا کنید .
4
از لیست انتخاب ، Symmetry را انتخاب کنید .
5
 روی دکمه Zoom  Extents در نوار ابزار Graphics کلیک کنید .
خروجی 1
1
در نوار ابزار Physics ، روی  Boundaries کلیک کنید و Outlet را انتخاب کنید .
2
در پنجره تنظیمات برای Outlet ، قسمت انتخاب مرز  را پیدا کنید .
3
از لیست انتخاب ، Outlet را انتخاب کنید .
دو گزینه برای نوع انتشار باد متقابل مورد استفاده برای تثبیت عددی وجود دارد. گزینه پیش‌فرض Do Carmo and Galeao در سرکوب زیرشاخه‌ها و بیش از حد در غلظت مؤثرتر است، در حالی که گزینه دوم، Codina انتشار مصنوعی کمتری در جهت باد متقابل ایجاد می‌کند.
حمل و نقل گونه های رقیق شده (TDS)
1
 روی دکمه Show  More  Options در نوار ابزار Model Builder کلیک کنید .
2
در کادر محاوره‌ای Show  More  Options ، در درخت، کادر را برای گره Physics>Stabilization انتخاب کنید .
3
روی OK کلیک کنید .
4
در پنجره Model  Builder ، در قسمت Component   (comp1) روی Transport  of  Diluted  Species  (tds) کلیک کنید .
5
در پنجره تنظیمات برای حمل و نقل  گونه های رقیق  شده  ، برای گسترش بخش تثبیت سازگار کلیک کنید .
6
از لیست نوع انتشار Crosswind  ، Codina را انتخاب کنید .
ویژگی های حمل و نقل 1
1
در پنجره Model  Builder ، در قسمت Component   (comp1)>Transport  of  Diluted  Species  (tds) روی Transport  Properties  1 کلیک کنید .
2
در پنجره تنظیمات برای ویژگی های حمل و نقل  ، بخش Diffusion را پیدا کنید .
3
در قسمت متن c ، D_i را تایپ کنید .
توجه داشته باشید که میدان سرعت برای جابجایی گونه‌ها توسط جفت‌کننده چندفیزیکی جریان واکنش، گونه‌های رقیق‌شده کنترل می‌شود .
تمرکز 1
1
در نوار ابزار Physics ، روی  Boundaries کلیک کنید و Concentration را انتخاب کنید .
2
در پنجره تنظیمات برای تمرکز ، قسمت انتخاب مرز  را پیدا کنید .
3
از لیست انتخاب ، تمرکز  1 را انتخاب کنید .
4
بخش تمرکز را پیدا کنید . تیک گزینه Species  c را انتخاب کنید .
5
در قسمت متنی 0,c ، c0 را تایپ کنید .
تمرکز 2
1
در نوار ابزار Physics ، روی  Boundaries کلیک کنید و Concentration را انتخاب کنید .
2
در پنجره تنظیمات برای تمرکز ، قسمت انتخاب مرز  را پیدا کنید .
3
از لیست انتخاب ، تمرکز  2 را انتخاب کنید .
4
بخش تمرکز را پیدا کنید . تیک گزینه Species  c را انتخاب کنید .
غلظت را در مقدار صفر پیش فرض خود بگذارید.
خروجی 1
1
در نوار ابزار Physics ، روی  Boundaries کلیک کنید و Outflow را انتخاب کنید .
2
در پنجره تنظیمات خروجی ، قسمت انتخاب مرز  را پیدا کنید .
3
از لیست انتخاب ، Outlet را انتخاب کنید .
4
 روی دکمه Wireframe  Rendering در نوار ابزار Graphics کلیک کنید .
مش 1
چهار وجهی رایگان 1
در نوار ابزار Mesh ، روی  Free  Tetrahedral کلیک کنید .
اندازه
1
در پنجره Model  Builder ، روی Size کلیک کنید .
2
در پنجره تنظیمات برای اندازه ، قسمت اندازه عنصر  را پیدا کنید .
3
از فهرست Calibrate  for ، Fluid  dynamics را انتخاب کنید .
4
از لیست Predefined ، Fine را انتخاب کنید .
5
 روی ساخت  همه کلیک کنید .
مطالعه 1
در نوار ابزار صفحه اصلی ،  روی محاسبه کلیک کنید .
نتایج
دستورالعمل های زیر نحوه بازتولید نمودارها در بخش نتایج و بحث را نشان می دهد .
تکه
1
در پنجره Model  Builder ، گره Velocity  (spf) را گسترش دهید ، سپس بر روی Slice کلیک کنید .
2
در پنجره تنظیمات برای Slice ، بخش Plane  Data را پیدا کنید .
3
از لیست Plane ، zx-planes را انتخاب کنید .
ساده 1
1
در پنجره Model  Builder ، روی Velocity  (spf) کلیک راست کرده و Streamline را انتخاب کنید .
2
در پنجره تنظیمات برای Streamline ، بخش Streamline  Positioning را پیدا کنید .
3
از لیست موقعیت یابی ، مقدار  کنترل شده را انتخاب کنید .
4
در قسمت متن حداقل  فاصله ، 0.01 را تایپ کنید .
5
در قسمت متن حداکثر  فاصله ، 0.025 را تایپ کنید .
6
در نوار ابزار Velocity (spf) ، روی  Plot کلیک کنید .
نتیجه را با نمودار در شکل 3 مقایسه کنید .
غلظت، سطح (tds)
دومین نمودار از دو نمودار غلظت پیش‌فرض، غلظت را در مرز دامنه مدل‌سازی نشان می‌دهد. با شکل 4 مقایسه کنید .
برای بازتولید شکل 5 ، که غلظت را تابعی از z در چهار موقعیت y مختلف در امتداد محفظه اختلاط نشان می دهد، با ایجاد چهار مجموعه داده سه بعدی Cut Line شروع کنید . امکان کپی کردن گره های درخت مدل، این روش را به طور قابل توجهی ساده می کند.
Cut Line 3D 1
1
در نوار ابزار نتایج ، بر روی  Cut  Line  3D کلیک کنید .
2
در پنجره تنظیمات برای Cut  Line  3D ، بخش Line  Data را پیدا کنید .
3
در ردیف  ، x را روی 40  و y را روی -20 تنظیم کنید .
4
در ردیف  2 ، x را روی 40 ، y را روی -20 و z را روی 30 تنظیم کنید .
5
 روی Plot کلیک کنید .
6
 روی دکمه Zoom  In در نوار ابزار Graphics کلیک کنید .
7
 روی دکمه Zoom  Extents در نوار ابزار Graphics کلیک کنید .
Cut Line 3D 2
1
بر روی Cut  Line  3D  کلیک راست کرده و Duplicate را انتخاب کنید .
2
در پنجره تنظیمات برای Cut  Line  3D ، بخش Line  Data را پیدا کنید .
3
در ردیف  1 ، y را روی 80- تنظیم کنید .
4
در ردیف  2 ، y را روی 80- تنظیم کنید .
مقادیر x و z را بدون تغییر رها کنید .
Cut Line 3D 3
1
بر روی Cut  Line  3D  کلیک راست کرده و Duplicate را انتخاب کنید .
2
در پنجره تنظیمات برای Cut  Line  3D ، بخش Line  Data را پیدا کنید .
3
در ردیف  1 ، y را روی 140- تنظیم کنید .
4
در ردیف  2 ، y را روی 140- تنظیم کنید .
Cut Line 3D 4
1
بر روی Cut  Line  3D  کلیک راست کرده و Duplicate را انتخاب کنید .
2
در پنجره تنظیمات برای Cut  Line  3D ، بخش Line  Data را پیدا کنید .
3
در ردیف  1 ، y را روی 200- تنظیم کنید .
4
در ردیف  2 ، y را روی 200- تنظیم کنید .
گروه طرح 1 بعدی 5
1
در نوار ابزار نتایج ، روی  1D  Plot  Group کلیک کنید .
2
در پنجره تنظیمات برای گروه طرح 1 بعدی  ، قسمت Legend را پیدا کنید .
3
از لیست موقعیت ، سمت چپ بالا  را انتخاب کنید .
4
برای گسترش بخش عنوان کلیک کنید . از لیست نوع عنوان  ، دستی را انتخاب کنید .
5
در قسمت متن عنوان ، Concentration (mol/m<sup>3</sup>) را تایپ کنید .
به استفاده از تگ های HTML برای دریافت متن بالا توجه کنید.
نمودار خطی 1
1
روی 1D  Plot  Group  کلیک راست کرده و Line  Graph را انتخاب کنید .
2
در پنجره تنظیمات برای نمودار خط  ، بخش داده را پیدا کنید .
3
از لیست Dataset ، Cut  Line  3D  1 را انتخاب کنید .
4
روی Replace  Expression در گوشه سمت راست بالای بخش y-Axis  Data کلیک کنید . از منو، Component   (comp1)>Transport  of  Diluted  Species>Species  c>c  –  Concentration  –  mol/m³ را انتخاب کنید .
5
روی Replace  Expression در گوشه سمت راست بالای بخش x-Axis  Data کلیک کنید . از منو، Component   (comp1)>Geometry>Coordinate>z  –  z-coordinate را انتخاب کنید .
6
برای گسترش بخش Legends کلیک کنید . تیک Show  legends را انتخاب کنید .
7
از فهرست Legends ، Manual را انتخاب کنید .
8
در جدول تنظیمات زیر را وارد کنید:
 
افسانه ها
20 میکرومتر
برای وارد کردن کاراکتر ‘µ’، نویسه Unicode u00b5 را از یک ابزار خارجی (مانند Character Map در ویندوز) کپی کرده و در جدول قرار دهید.
نمودار خط 2
1
روی Line  Graph  کلیک راست کرده و Duplicate را انتخاب کنید .
2
در پنجره تنظیمات برای نمودار خط  ، بخش داده را پیدا کنید .
3
از لیست Dataset ، Cut  Line  3D  2 را انتخاب کنید .
4
قسمت Legends را پیدا کنید . در جدول تنظیمات زیر را وارد کنید:
 
افسانه ها
80 میکرومتر
نمودار خط 3
1
روی Line  Graph  کلیک راست کرده و Duplicate را انتخاب کنید .
2
در پنجره تنظیمات برای نمودار خط  ، بخش داده را پیدا کنید .
3
از لیست Dataset ، Cut  Line  3D  3 را انتخاب کنید .
4
قسمت Legends را پیدا کنید . در جدول تنظیمات زیر را وارد کنید:
 
افسانه ها
140 میکرومتر
نمودار خطی 4
1
روی Line  Graph  کلیک راست کرده و Duplicate را انتخاب کنید .
2
در پنجره تنظیمات برای نمودار خط  ، بخش داده را پیدا کنید .
3
از لیست Dataset ، Cut  Line  3D  4 را انتخاب کنید .
4
قسمت Legends را پیدا کنید . در جدول تنظیمات زیر را وارد کنید:
 
افسانه ها
200 میکرومتر
5
در نوار ابزار 1D Plot Group 5 ، روی  Plot کلیک کنید .
نتیجه را با شکل 5 مقایسه کنید .
ضمیمه – دستورالعمل هندسه
از منوی File ، New را انتخاب کنید .
جدید
در پنجره جدید ، روی  Blank  Model کلیک کنید .
افزودن کامپوننت
در نوار ابزار Home ، روی  Add  Component کلیک کنید و 3D را انتخاب کنید .
هندسه 1
1
در پنجره تنظیمات هندسه ، بخش Units را پیدا کنید .
2
از لیست واحد طول  ، میکرومتر را انتخاب کنید .
بلوک 1 (blk1)
1
در نوار ابزار Geometry ، روی  Block کلیک کنید .
2
در پنجره تنظیمات برای Block ، قسمت Size  and  Shape را پیدا کنید .
3
در قسمت متن Width عدد 80 را تایپ کنید .
4
در قسمت Depth text عدد 200 را تایپ کنید .
5
در قسمت متن ارتفاع ، 30 را تایپ کنید .
6
قسمت Position را پیدا کنید . در قسمت متن y ، -200 را تایپ کنید .
صفحه کار 1 (wp1)
در نوار ابزار هندسه ، روی صفحه  کار  کلیک کنید .
صفحه کار 1 (wp1)> هندسه صفحه
در پنجره Model  Builder ، روی صفحه  هندسه کلیک کنید .
صفحه کار 1 (wp1)> دایره 1 (c1)
1
در نوار ابزار Work Plane ، روی  Circle کلیک کنید .
2
در پنجره تنظیمات دایره ، بخش اندازه  و  شکل را پیدا کنید .
3
در قسمت متن Radius ، 320 را تایپ کنید .
4
در قسمت متنی Sector  angle عدد 90 را تایپ کنید .
5
قسمت Position را پیدا کنید . در قسمت نوشتار xw ، 320 را تایپ کنید .
6
قسمت Rotation  Angle را پیدا کنید . در قسمت متن چرخش ، 90 را تایپ کنید .
7
برای گسترش بخش لایه ها کلیک کنید . در جدول تنظیمات زیر را وارد کنید:
 
نام لایه
ضخامت (ΜM)
لایه 1
20
لایه 2
10
لایه 3
20
لایه 4
10
لایه 5
20
صفحه کار 1 (wp1)> مستطیل 1 (r1)
1
در نوار ابزار Work Plane ، روی  Rectangle کلیک کنید .
2
در پنجره تنظیمات برای Rectangle ، بخش Size  and  Shape را پیدا کنید .
3
در قسمت متن Width عدد 320 را تایپ کنید .
4
در قسمت متن ارتفاع ، 200 را تایپ کنید .
صفحه کار 1 (wp1)> تقاطع 1 (int1)
1
در نوار ابزار Work Plane ، روی  Booleans  and  Partitions کلیک کنید و Intersection را انتخاب کنید .
2
در پنجره Graphics کلیک کنید و سپس Ctrl+A را فشار دهید تا هر دو شی انتخاب شوند.
3
در پنجره تنظیمات برای تقاطع ، روی  Build  Selected کلیک کنید .
صفحه کار 1 (wp1)> حذف نهادهای 1 (del1)
1
در نوار ابزار Work Plane ، روی  Delete کلیک کنید .
2
در پنجره تنظیمات برای حذف  نهادها ، بخش Entities  یا  Objects  to  Delete را پیدا کنید .
3
از لیست سطح نهاد هندسی  ، دامنه را انتخاب کنید .
4
در شیء int1 ، فقط دامنه های 2، 4 و 6 را انتخاب کنید.
اکسترود 1 (ext1)
1
در پنجره Model  Builder ، در قسمت Component   (comp1)>Geometry  1 روی Work  Plane   (wp1) کلیک راست کرده و Extrude را انتخاب کنید .
2
در پنجره تنظیمات برای Extrude ، بخش Distances را پیدا کنید .
3
در جدول تنظیمات زیر را وارد کنید:
 
فواصل (ΜM)
10
کپی 1 (کپی1)
1
در نوار ابزار Geometry ، روی  Transforms کلیک کنید و Copy را انتخاب کنید .
2
فقط شی ext1 را انتخاب کنید.
3
در پنجره تنظیمات برای کپی ، بخش Displacement را پیدا کنید .
4
در قسمت متن z ، 20 را تایپ کنید .
آینه 1 (mir1)
1
در نوار ابزار Geometry ، روی  Transforms کلیک کرده و Mirror را انتخاب کنید .
2
فقط شیء copy1 را انتخاب کنید.
3
در پنجره تنظیمات برای Mirror ، قسمت Point  on  Plane  of  Reflection را پیدا کنید .
4
در قسمت متن x ، 40 را تایپ کنید .
5
بخش بردار عادی  به صفحه بازتاب را پیدا کنید . در قسمت متن x ، 1 را تایپ کنید .
6
در قسمت متن z ، 0 را تایپ کنید .
اتحادیه 1 (uni1)
1
در نوار ابزار Geometry ، روی  Booleans  and  Partitions کلیک کنید و Union را انتخاب کنید .
2
در پنجره Graphics کلیک کنید و سپس Ctrl+A را فشار دهید تا همه اشیا انتخاب شوند.
3
در پنجره تنظیمات برای Union ، بخش Union را پیدا کنید .
4
کادر تیک Keep  interior  borders را پاک کنید .
فرم اتحادیه (فین)
1
در پنجره Model  Builder ، روی Form  Union  (fin) کلیک کنید .
2
در پنجره تنظیمات Form  Union/Assembly ، روی  Build  Selected کلیک کنید .
هندسه
1
در نوار ابزار Geometry ، روی  Selections کلیک کنید و Explicit  Selection را انتخاب کنید .
2
در باله شی ، فقط دامنه 1 را انتخاب کنید.
3
در پنجره تنظیمات برای انتخاب صریح  ، هندسه را در قسمت متن برچسب تایپ کنید .
همه دیوارها
1
در نوار ابزار Geometry ، روی  Selections کلیک کنید و گزینه Adjacent  Selection را انتخاب کنید .
2
در پنجره تنظیمات برای انتخاب مجاور  ، همه دیوارها را در قسمت متن برچسب تایپ کنید .
3
قسمت Input  Entities را پیدا کنید .  روی افزودن کلیک کنید .
4
در کادر محاوره‌ای افزودن ، هندسه را در فهرست انتخاب‌های ورودی  انتخاب کنید .
5
روی OK کلیک کنید .
پریز
1
در نوار ابزار Geometry ، روی  Selections کلیک کنید و Explicit  Selection را انتخاب کنید .
2
در پنجره تنظیمات برای انتخاب صریح  ، Outlet را در قسمت متن برچسب تایپ کنید .
3
قسمت Entities  to  Select را پیدا کنید . از لیست سطح نهاد هندسی  ، Boundary را انتخاب کنید .
4
در باله شی ، فقط مرز 16 را انتخاب کنید.
تمرکز 1
1
در نوار ابزار Geometry ، روی  Selections کلیک کنید و Explicit  Selection را انتخاب کنید .
2
در پنجره تنظیمات برای انتخاب صریح  ، Concentration 1 را در قسمت متن برچسب تایپ کنید .
3
قسمت Entities  to  Select را پیدا کنید . از لیست سطح نهاد هندسی  ، Boundary را انتخاب کنید .
4
در باله شی ، فقط مرزهای 1، 6 و 11 را انتخاب کنید.
تمرکز 2
1
در نوار ابزار Geometry ، روی  Selections کلیک کنید و Explicit  Selection را انتخاب کنید .
2
در پنجره تنظیمات برای انتخاب صریح  ، Concentration 2 را در قسمت متن برچسب تایپ کنید .
3
قسمت Entities  to  Select را پیدا کنید . از لیست سطح نهاد هندسی  ، Boundary را انتخاب کنید .
4
در باله شی ، فقط مرزهای 32، 35 و 36 را انتخاب کنید.
ورودی
1
در نوار ابزار Geometry ، روی  Selections کلیک کنید و Union  Selection را انتخاب کنید .
2
در پنجره تنظیمات برای انتخاب اتحادیه  ، Inlet را در قسمت نوشتار Label تایپ کنید .
3
قسمت Geometric  Entity  Level را پیدا کنید . از لیست Level ، Boundary را انتخاب کنید .
4
قسمت Input  Entities را پیدا کنید .  روی افزودن کلیک کنید .
5
در کادر محاوره‌ای افزودن ، در فهرست انتخاب‌ها برای افزودن ، تمرکز  1 و تمرکز  2 را انتخاب کنید .
6
روی OK کلیک کنید .
تقارن
1
در نوار ابزار Geometry ، روی  Selections کلیک کنید و Explicit  Selection را انتخاب کنید .
2
در پنجره تنظیمات برای انتخاب صریح  ، Symmetry را در قسمت متن برچسب تایپ کنید .
3
قسمت Entities  to  Select را پیدا کنید . از لیست سطح نهاد هندسی  ، Boundary را انتخاب کنید .
4
تیک گروه  بر اساس  مماس پیوسته را  انتخاب کنید .
5
در باله شی ، فقط مرزهای 4، 9، 14، 17، 18، 20، 26 و 30 را انتخاب کنید.
دیوارهای خارجی
1
در نوار ابزار Geometry ، روی  Selections کلیک کنید و Difference  Selection را انتخاب کنید .
2
در پنجره تنظیمات برای انتخاب تفاوت  ، Exterior Walls را در قسمت متن برچسب تایپ کنید .
3
قسمت Geometric  Entity  Level را پیدا کنید . از لیست Level ، Boundary را انتخاب کنید .
4
قسمت Input  Entities را پیدا کنید .  روی افزودن کلیک کنید .
5
در کادر محاوره‌ای افزودن ، همه  دیوارها را در لیست انتخاب‌ها  برای  افزودن انتخاب کنید .
6
روی OK کلیک کنید .
7
در پنجره Settings for Difference  Selection ، بخش Input  Entities را پیدا کنید .
8
 روی افزودن کلیک کنید .
9
در کادر محاوره‌ای افزودن ، در فهرست انتخاب‌ها برای تفریق ، خروجی ، ورودی و تقارن را انتخاب کنید .
10
روی OK کلیک کنید .