معرفی
انقباض مغناطیسی تغییر در ابعاد یک ماده به دلیل تغییر در مغناطش آن را توصیف می کند. این پدیده مظهر اتصال مغناطیسی الاستیک است که توسط تمام مواد مغناطیسی تا حدی به نمایش گذاشته می شود. اثرات مربوط به کوپلینگ مغناطیسی الاستیک با نام های مختلفی توصیف می شود. اثر ژول تغییر طول به دلیل تغییر در حالت مغناطیسی ماده را توصیف می کند. این اثر مغناطیسی در مبدلها برای کاربرد در سونارها، دستگاههای صوتی، کنترل لرزش فعال، کنترل موقعیت و سیستمهای تزریق سوخت استفاده میشود.
انقباض مغناطیسی منشأ مکانیکی کوانتومی دارد. جفت مگنتو-مکانیکی در سطح اتمی به دلیل اتصال اسپین-مدار انجام می شود. از سطح سیستم، ماده را می توان متشکل از تعدادی آهنربای کوچک بیضی شکل فرض کرد که به دلیل گشتاور تولید شده توسط میدان مغناطیسی اعمال شده خارجی می چرخند. چرخش این آهنرباهای عنصری باعث ایجاد تغییر ابعادی می شود که منجر به کرنش آزاد در ماده می شود. کرنش (یا مغناطیس انقباض) وابستگی غیرخطی به میدان مغناطیسی و تنش مکانیکی در ماده دارد.
این آموزش نحوه مدلسازی پاسخ غیرخطی یک ماده مغناطیسی را نشان میدهد.
تعریف مدل
یک مبدل مغناطیسی معمولی که در شکل 1 نشان داده شده است دارای یک محفظه فولادی است که یک سیم پیچ محرک را در بر می گیرد. یک ماده مغناطیسی در هسته قرار می گیرد که به عنوان یک محرک زمانی که میدان مغناطیسی با عبور جریان از سیم پیچ محرک اعمال می شود، عمل می کند.

شکل 1: نمای مقطعی مبدل استوانه ای.
با توجه به تقارن چرخشی هندسه، مشکل به صورت یک مدل متقارن محوری دوبعدی حل میشود که منجر به کاهش زمان محاسبه میشود. هندسه متقارن محوری 2 بعدی مربوطه در شکل 2 نشان داده شده است .

شکل 2: نمای متقارن محوری دوبعدی مبدل مغناطیسی انقباضی که توسط یک حوزه هوا احاطه شده است. ابعاد هندسی بر حسب میلی متر می باشد.
فرض بر این است که جریان در سیم پیچ DC است، و از این رو می توان آن را به عنوان یک مشکل ثابت حل کرد. اولین مطالعه انجام شده چگالی جریان ثابت 106 A  /m2 را در سیم پیچ در نظر می گیرد. مطالعه دومی تنظیم شده است که در آن چگالی جریان در سیم پیچ درایو از 0 تا 107 A  /m 2 با استفاده از ویژگی جاروب پارامتری در COMSOL تغییر می کند. سپس راه حل حاصل از این جاروب پارامتری برای ایجاد منحنی مغناطیسی غیرخطی ( λ ) در مقابل میدان مغناطیسی ( H ) استفاده می شود. افزایش چگالی جریان با استفاده از گزینه جاروب پارامتری با این فرض انجام می شود که جریان در سیم پیچ به صورت شبه استاتیک بدون ایجاد اثر القایی تغییر می کند.
نکاتی در مورد مسائل مغناطیسی و مغناطیسی الاستیک
یک دامنه هوا در اطراف مبدل ایجاد می شود تا مسیر شار مغناطیسی را به طور واقعی مدل کند. مرزهای این حوزه هوا دارای عایق مغناطیسی هستند که تضمین میکند که شار از حوزه مدلسازی منحرف نمیشود. یک تکنیک جایگزین برای اجرای این دامنه هوا در COMSOL Multiphysics شامل استفاده از عناصر بی نهایت است. برای اطلاعات بیشتر در مورد عناصر بی نهایت، لطفاً به راهنمای کاربر ماژول AC/DC مراجعه کنید .
سیم پیچ درایو به عنوان یک دامنه حامل جریان همگن مدل سازی شده است. سیم های مجزا و هدایت الکتریکی آنها حل نمی شود. فرض بر این است که چگالی جریان خارجی اعمال شده در سیم پیچ به طور پیشینی شناخته شده است . در یک مدل متقارن محوری دو بعدی، چگالی جریان خارجی کل جریان عبوری از سیم پیچ تقسیم بر سطح مقطع طولی (طول سیم پیچ ضربدر ضخامت سیم پیچ) است. سیم پیچ همچنین می تواند به طور متناوب با استفاده از ویژگی Multiturn Coil Domain موجود در ماژول AC/DC مدل شود. لطفاً برای جزئیات بیشتر در مورد استفاده از این تکنیک جایگزین، به راهنمای کاربر ماژول AC/DC مراجعه کنید.
به طور سنتی، چگالی شار مغناطیسی (که میدان B نیز نامیده می شود ) به عنوان تابعی از میدان مغناطیسی اعمال شده ( H) به دست می آید.-رشته). چنین رابطه ای معمولاً منحنی BH نامیده می شود. محفظه فولادی مورد استفاده در این مثال برای ایجاد یک مسیر شار مغناطیسی بسته طراحی شده است و در نتیجه نشت شار را به حداقل می رساند. رفتار مغناطیسی غیرخطی محفظه فولادی با استفاده از منحنی BH برای مشخص کردن رابطه سازنده مغناطیسی در ماده مدلسازی میشود. منحنی غیرخطی BH با انتخاب ماده آهن نرم (بدون تلفات) از کتابخانه مواد AC/DC به دست می آید. ادغام یک منحنی غیرخطی BH به مدل سازی اثرات اشباع مغناطیسی در یک میدان مغناطیسی به اندازه کافی بالا کمک می کند. علاوه بر این، میتوانید نتایج مدل را بررسی کنید تا مکانهای خاصی را در یک ماده پیدا کنید که در آن اشباع مغناطیسی رخ داده است در حالی که سایر مناطق آن ماده غیراشباع باقی ماندهاند.
تنش در مواد مغناطیسی انقباض به صورت مدلسازی میشود

ماده ایزوتروپیک فرض می شود، به طوری که تانسور الاستیسیته CH را می توان بر حسب دو پارامتر، مدول یانگ و نسبت پواسون نشان داد.
کرنش مغناطیسی به صورت تابع همسانگرد درجه دوم میدان مغناطیسی M مدلسازی میشود :

که در آن λ s مغناطیس انقباض اشباع است، که حداکثر کرنش مغناطیسی انقباضی است که در مغناطش اشباع Ms بدست می آید . حاصل ضرب تانسور دو بردار به صورت تعریف شده است

توجه داشته باشید که کرنش مغناطیسی با یک تانسور انحرافی نشان داده می شود. این به این دلیل است که تغییر شکل می تواند به چرخش دامنه مغناطیسی مرتبط با مغناطیسی شدن ماده مرتبط باشد. چنین فرآیندی نباید حجم مواد را تغییر دهد.
مغناطش غیرخطی در مواد مغناطیس گیر از رابطه غیرخطی زیر بدست می آید:

که در آن L تابع لانژوین است

با χ 0 که حساسیت مغناطیسی در ناحیه خطی اولیه است و میدان مغناطیسی موثر در ماده با استفاده از

 قسمت انحرافی تانسور تنش کجاست . عبارت دوم در رابطه فوق نشاندهنده سهم تنش مکانیکی در میدان مؤثر و در نتیجه مغناطش مواد است که اثر ویلاری نامیده میشود . توجه داشته باشید که این اصطلاح با مغناطش کردن نیز متناسب است، که به این معنی است که برای ایجاد اثر ویلاری به مقداری میدان مغناطیسی اعمال شده نیاز است. بنابراین، بار مکانیکی خالص نمی تواند هیچ گونه مغناطیسی شدن ماده ایجاد کند.
قسمت انحرافی تانسور تنش کجاست . عبارت دوم در رابطه فوق نشاندهنده سهم تنش مکانیکی در میدان مؤثر و در نتیجه مغناطش مواد است که اثر ویلاری نامیده میشود . توجه داشته باشید که این اصطلاح با مغناطش کردن نیز متناسب است، که به این معنی است که برای ایجاد اثر ویلاری به مقداری میدان مغناطیسی اعمال شده نیاز است. بنابراین، بار مکانیکی خالص نمی تواند هیچ گونه مغناطیسی شدن ماده ایجاد کند.علاوه بر این، مغناطش و میدان مغناطیسی با یکدیگر و با میدان B مرتبط هستند

ضرایب جفت پیزومغناطیسی مماسی موثر را می توان به صورت محاسبه کرد

جایی که

حساسیت مغناطیسی مماسی است. یک مشاهدات مهم از فرمول بالا این است که ضرایب پیزومغناطیسی باید به حداکثر (یا حداقل) خود در قدرت معینی از میدان بایاس اعمال شده برسند. این به این دلیل است که M در میدان اعمال شده صفر صفر است، در حالی که χ در قدر میدان اعمالی زیاد به دلیل اشباع، به صفر تمایل دارد.
تانسور جفت پیزومغناطیسی d یک تانسور مرتبه سوم است. به دلیل تقارن، می توان آن را به طور معمول با یک ماتریس 3 در 6 d HT با تنها چند مؤلفه غیر صفر نشان داد.
خواص مواد مورد استفاده برای توصیف مواد مغناطیسی در جدول 1 نشان داده شده است .
| دارایی مادی | ارزش | شرح | 
|  E | 60·10 9 Pa | مدول یانگ | 
|  n | 0.45 | نسبت پواسون | 
|  r | 7870 کیلوگرم بر متر مکعب | تراکم | 
|  پ | 5.96·10 6 S/m | هدایت الکتریکی | 
|  ε r | 1 | گذر نسبی | 
|  λ s | 2·10 -4 | مغناطیسی اشباع | 
|   M s | 1.5·10 6 A/M | مغناطش اشباع | 
انتهای پایینی میله مغناطیسی به صورت ثابت مدلسازی میشود، در حالی که قسمت بالایی میتواند بهمنظور مطالعه اثر Villari به صورت مکانیکی بارگذاری شود.
جفت کردن مشکلات مغناطیسی و ساختاری
پیاده سازی ساده است زیرا از یک رابط جفت چندفیزیکی از پیش تعریف شده موجود در COMSOL و به نام Magnetostriction استفاده می کنید.
انتخاب چنین رابطی در جادوگر مدل، رابطهای مکانیک ساختاری و میدانهای مغناطیسی را به همراه ویژگی کوپلینگ چندفیزیکی مربوطه، Magnetostriction اضافه میکند .
بسیاری از تنظیماتی که برای پیکربندی کوپلینگ باید به آنها دسترسی داشته باشید را می توان در زیر ویژگی Magnetostrictive Material اضافه شده در رابط مکانیک سازه پیدا کرد .
نتایج و بحث
نتایج به دست آمده از مطالعه اول، که در آن چگالی جریان خارجی ثابت 106 A  /m2 به سیم پیچ اعمال می شود. شکل 3 تنش فون میزس را در ماده مغناطیسی به صورت نمودار سطحی نشان می دهد. این نمودار نشان می دهد که تنش ناشی از مغناطیس انقباض به طور یکنواخت در همه جا به جز ناحیه نزدیک سطح پایین میله به دلیل شرایط مرزی محدودیت ثابت که به این انتهای میله اعمال می شود، صفر است. این به این دلیل است که کرنش آزاد ناشی از انقباض مغناطیسی نباید هیچ تنشی ایجاد کند مگر اینکه ماده از نظر مکانیکی محدود شود. شکل 4 نشان می دهد که میدان کرنش مربوطه ناشی از مغناطیس انقباض نیز در ماده به جز در انتهای ثابت میله، نسبتاً یکنواخت است.

شکل 3: نمودار سطحی تنش فون میزس و نمودار تغییر شکل مقیاس شده جابجایی.

شکل 4: نمودار سطحی جزء کرنش محوری.
شکل 5 غلظت شار مغناطیسی را در هسته مغناطیسی به دلیل مسیر مغناطیسی بسته ارائه شده توسط محفظه فولادی نشان می دهد. چگالی شار مغناطیسی در میله عمدتا یکنواخت است. اثرات حاشیه ای را می توان در هر دو انتهای میله مشاهده کرد، جایی که اکثر شار مغناطیسی مجبور به پیچ خوردن در محفظه فولادی است.

شکل 5: نمودار سطحی هنجار چگالی شار مغناطیسی و نمودار فلش نرمال شده از اجزای r و z آن که مسیر بسته شار را در مدل نشان می دهد.
شکل 6 یک ویژگی جالب پس پردازش در COMSOL Multiphysics را نشان می دهد. راهحل بهدستآمده از مدل تقارن محوری دوبعدی برای تجسم سهبعدی راهحل، 225 درجه چرخیده است. در حل یک مدل تقارن محوری دو بعدی، COMSOL Multiphysics به طور خودکار یک مجموعه داده راه حل سه بعدی را با چرخاندن راه حل ایجاد می کند، که سپس به عنوان یک نمودار سه بعدی رسم می شود.

شکل 6: نمای مقطعی 225 درجه به صورت سه بعدی از معیار چگالی شار مغناطیسی در میله مغناطیسی، محفظه فولادی و در ناحیه داخل محفظه. راه حل در حوزه هوای بیرونی برای داشتن دید بهتر سرکوب شده است. نمودار فلش نرمال شده جهت چگالی شار مغناطیسی را نشان می دهد.
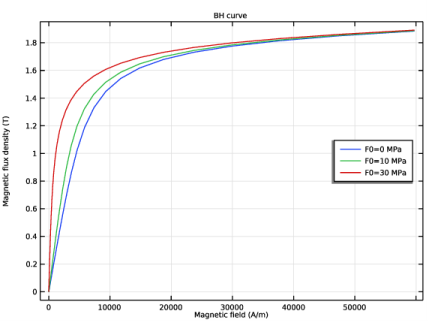
شکل 7 منحنی مغناطیسی انقباض ماده بدست آمده از مطالعه پارامتری را نشان می دهد که یک افزایش شبه استاتیکی چگالی جریان در سیم پیچ را برای سه مقدار مختلف بار مکانیکی شبیه سازی می کند. منحنی BH مربوطه در شکل 8 نشان داده شده است . از آنجایی که میدان مغناطیسی بیشتر در امتداد جهت محوری قرار دارد، تنها مولفههای Z بردارهای مربوطه رسم میشوند. به رفتار غیرخطی قابل توجهی در ناحیه ای که میدان مغناطیسی Hz بین 5 تا 20 کیلو آمپر بر متر تغییر می کند توجه کنید .

شکل 7: انقباض مغناطیسی در مقابل میدان مغناطیسی (در نقطه ای از مواد مغناطیسی.

شکل 8: چگالی شار مغناطیسی در مقابل میدان مغناطیسی در نقطه ای از ماده مغناطیسی.
در نهایت، شکل 9 اجزای ماتریس کوپلینگ پیزومغناطیسی مماسی را در صورت عدم بارگذاری مکانیکی نشان می دهد.

شکل 9: ضرایب جفت پیزومغناطیسی مماسی در یک نقطه از ماده مغناطیسی.
ارجاع
1. اس. چیکازومی، فیزیک فرومغناطیس ، انتشارات دانشگاه آکسفورد، نیویورک، 1997.
مسیر کتابخانه برنامه: ماژول_مکانیک_ساختاری/مکانیک مگنتومکانیک/انقباض_غیرخطی_مغناطیسی
دستورالعمل های مدل سازی
از منوی File ، New را انتخاب کنید .
جدید
در پنجره جدید ، روی  Model  Wizard کلیک کنید .
 Model  Wizard کلیک کنید .
 Model  Wizard کلیک کنید .
 Model  Wizard کلیک کنید .مدل جادوگر
| 1 | در پنجره Model  Wizard ، روی   2D  Axismetric کلیک کنید . | 
| 2 | در درخت انتخاب  فیزیک ، مکانیک سازه  >  تعامل الکترومغناطیسی-ساختار> انقباض مغناطیسی>  انقباض مغناطیسی غیرخطی را انتخاب کنید . | 
| 3 | روی افزودن کلیک کنید . | 
| 4 |  روی مطالعه کلیک کنید . | 
| 5 | در درخت انتخاب  مطالعه ، General  Studies>Stationary را انتخاب کنید . | 
| 6 |  روی Done کلیک کنید . | 
هندسه 1
| 1 | در پنجره Model  Builder ، در قسمت Component  1  (comp1) روی Geometry  1 کلیک کنید . | 
| 2 | در پنجره تنظیمات هندسه ، بخش Units را پیدا کنید . | 
| 3 | از لیست واحد طول  ، میلی متر را انتخاب کنید . | 
مستطیل 1 (r1)
| 1 | در نوار ابزار Geometry ، روی   Rectangle کلیک کنید . | 
| 2 | در پنجره تنظیمات برای Rectangle ، بخش Size  and  Shape را پیدا کنید . | 
| 3 | در قسمت متن Width ، 3 را تایپ کنید . | 
| 4 | در قسمت متن ارتفاع ، 50 را تایپ کنید . | 
| 5 | قسمت Position را پیدا کنید . در قسمت متن z ، -25 را تایپ کنید . | 
| 6 |  روی Build  Selected کلیک کنید . | 
کپی 1 (کپی1)
| 1 | در نوار ابزار Geometry ، روی   Transforms کلیک کنید و Copy را انتخاب کنید . | 
| 2 | فقط شی r1 را انتخاب کنید. | 
| 3 | در پنجره تنظیمات برای کپی ، بخش Displacement را پیدا کنید . | 
| 4 | در قسمت متن r ، 7.5 را تایپ کنید . | 
| 5 |  روی Build  Selected کلیک کنید . | 
مستطیل 2 (r2)
| 1 | در نوار ابزار Geometry ، روی   Rectangle کلیک کنید . | 
| 2 | در پنجره تنظیمات برای Rectangle ، بخش Size  and  Shape را پیدا کنید . | 
| 3 | در قسمت متن Width عدد 20 را تایپ کنید . | 
| 4 | در قسمت متن ارتفاع ، 5 را تایپ کنید . | 
| 5 | قسمت Position را پیدا کنید . در قسمت متن z ، -30 را تایپ کنید . | 
| 6 |  روی Build  Selected کلیک کنید . | 
کپی 2 (کپی2)
| 1 | در نوار ابزار Geometry ، روی   Transforms کلیک کنید و Copy را انتخاب کنید . | 
| 2 | فقط شی r2 را انتخاب کنید. | 
| 3 | در پنجره تنظیمات برای کپی ، بخش Displacement را پیدا کنید . | 
| 4 | در قسمت متن z ، 55 را تایپ کنید . | 
| 5 |  روی Build  Selected کلیک کنید . | 
مستطیل 3 (r3)
| 1 | در نوار ابزار Geometry ، روی   Rectangle کلیک کنید . | 
| 2 | در پنجره تنظیمات برای Rectangle ، بخش Size  and  Shape را پیدا کنید . | 
| 3 | در قسمت متن Width عدد 5 را تایپ کنید . | 
| 4 | در قسمت متن ارتفاع ، 50 را تایپ کنید . | 
| 5 | قسمت Position را پیدا کنید . در قسمت متن r ، 15 را تایپ کنید . | 
| 6 | در قسمت متن z ، -25 را تایپ کنید . | 
| 7 |  روی Build  Selected کلیک کنید . | 
مستطیل 4 (r4)
| 1 | در نوار ابزار Geometry ، روی   Rectangle کلیک کنید . | 
| 2 | در پنجره تنظیمات برای Rectangle ، بخش Size  and  Shape را پیدا کنید . | 
| 3 | در قسمت متن Width عدد 90 را تایپ کنید . | 
| 4 | در قسمت متن ارتفاع ، 180 را تایپ کنید . | 
| 5 | قسمت Position را پیدا کنید . در قسمت متن z ، -90 را تایپ کنید . | 
| 6 |  روی Build  Selected کلیک کنید . | 
| 7 |  روی دکمه Zoom  Extents در نوار ابزار Graphics کلیک کنید . | 
اتحادیه 1 (uni1)
| 1 | در نوار ابزار Geometry ، روی   Booleans  and  Partitions کلیک کنید و Union را انتخاب کنید . | 
برای اشیایی که باید در مرحله بعد انتخاب شوند، شکل زیر را ببینید.
| 2 | فقط اشیاء copy2 ، r2 و r3 را انتخاب کنید. | 
| 3 | در پنجره تنظیمات برای Union ، بخش Union را پیدا کنید . | 
| 4 | کادر تیک Keep  interior  borders را پاک کنید .  | 
نقطه 1 (pt1)
| 1 | در نوار ابزار هندسه ، روی   نقطه کلیک کنید . | 
| 2 | در پنجره تنظیمات برای Point ، روی   Build  All  Objects کلیک کنید . | 
| 3 |  روی دکمه Zoom  Extents در نوار ابزار Graphics کلیک کنید . | 
تعاریف جهانی
پارامترهای 1
| 1 | در پنجره Model  Builder ، در قسمت Global  Definitions روی Parameters  1 کلیک کنید . | 
| 2 | در پنجره تنظیمات برای پارامترها ، بخش پارامترها را پیدا کنید . | 
| 3 | در جدول تنظیمات زیر را وارد کنید: | 
| نام | اصطلاح | ارزش | شرح | 
| J0 | 1e6[A/m^2] | 1E6 A/m² | چگالی جریان | 
| F0 | 0[MPa] | 0 پاس | بار مکانیکی | 
مکانیک جامدات (جامدات)
| 1 | در پنجره Model  Builder ، در قسمت Component  1  (comp1) روی Solid  Mechanics  (solid) کلیک کنید . | 
| 2 | در پنجره تنظیمات برای Solid  Mechanics ، بخش انتخاب دامنه  را پیدا کنید . | 
| 3 |  روی Clear  Selection کلیک کنید . | 
| 4 | فقط دامنه 3 را انتخاب کنید. | 
معادلات مکانیک جامدات فقط در مواد مغناطیسی حل خواهند شد.
میدان های مغناطیسی (MF)
در پنجره Model  Builder ، در قسمت Component  1  (comp1) روی قسمت Magnetic  Fields  (mf) کلیک کنید .
قانون آمپر 2
| 1 | در نوار ابزار فیزیک ، روی   Domains کلیک کنید و قانون آمپر را  انتخاب کنید . | 
| 2 | فقط دامنه 2 را انتخاب کنید. | 
| 3 | در پنجره تنظیمات قانون آمپر  ، قسمت Material Type را پیدا کنید . | 
| 4 | از لیست نوع مواد  ، جامد را انتخاب کنید . | 
| 5 | بخش Constitutive  Relation  B-H را پیدا کنید . از لیست مدل مغناطیسی  ، منحنی BH را انتخاب کنید . | 
قانون آمپر، مغناطیسی غیرخطی 1
| 1 | در پنجره Model  Builder ، روی قانون Ampère ,  Nonlinear Magnetostrictive 1 کلیک کنید . | 
| 2 | در پنجره تنظیمات قانون آمپر  ،  مغناطیسی غیر خطی  ، بخش انتخاب دامنه را پیدا کنید . | 
| 3 | از لیست انتخاب ، دستی را انتخاب کنید . | 
| 4 |  روی Clear  Selection کلیک کنید . | 
| 5 | فقط دامنه 3 را انتخاب کنید. | 
چگالی جریان خارجی 1
| 1 | در نوار ابزار Physics ، روی   Domains کلیک کنید و External  Current  Density را انتخاب کنید . | 
| 2 | فقط دامنه 5 را انتخاب کنید. | 
| 3 | در پنجره تنظیمات برای چگالی جریان خارجی  ، قسمت چگالی جریان خارجی را پیدا کنید . | 
| 4 | بردار J e را به صورت مشخص کنید | 
| 0 | r | 
| J0 | فی | 
| 0 | z | 
مواد را اضافه کنید
| 1 | در نوار ابزار Home ، روی   Add  Material کلیک کنید تا پنجره Add  Material باز شود . | 
| 2 | به پنجره Add  Material بروید . | 
| 3 | در درخت، Built-in>Air را انتخاب کنید . | 
| 4 | کلیک راست کرده و Add  to  Component  1  (comp1) را انتخاب کنید . | 
| 5 | در درخت، AC/DC> Soft  Iron  (Without  Losses) را انتخاب کنید . | 
| 6 | کلیک راست کرده و Add  to  Component  1  (comp1) را انتخاب کنید . | 
| 7 | در نوار ابزار Home ، روی   Add  Material کلیک کنید تا پنجره Add  Material بسته شود . | 
مواد
آب (مت1)
فقط دامنه های 1 و 4-6 را انتخاب کنید.
آهن نرم (بدون تلفات) (mat2)
| 1 | در پنجره Model  Builder ، روی Soft  Iron  (Without  Losses)  (mat2) کلیک کنید . | 
| 2 | فقط دامنه 2 را انتخاب کنید. | 
مغناطیسی
| 1 | در پنجره Model  Builder ، روی Materials کلیک راست کرده و Blank  Material را انتخاب کنید . | 
| 2 | در پنجره تنظیمات مواد ، Magnetostrictive را در قسمت نوشتار Label تایپ کنید . | 
| 3 | فقط دامنه 3 را انتخاب کنید. | 
| 4 | قسمت محتوای مواد  را پیدا کنید . در جدول تنظیمات زیر را وارد کنید: | 
| ویژگی | متغیر | ارزش | واحد | گروه اموال | 
| مدول یانگ | E | 60e9 | پا | مدول یانگ و نسبت پواسون | 
| نسبت پواسون | نه | 0.45 | 1 | مدول یانگ و نسبت پواسون | 
| تراکم | rho | 7870 | کیلوگرم بر متر مکعب | پایه ای | 
| حساسیت مغناطیسی اولیه | chi0_iso ; chi0ii = chi0_iso، chi0ij = 0 | 200 | 1 | مغناطیسی | 
| کوپلینگ بین دامنه | alphaJA_iso ; alphaJAii = alphaJA_iso، alphaJAij = 0 | 0 | 1 | پارامترهای مدل Jiles-Atherton | 
| رسانایی الکتریکی | sigma_iso ; sigmaii = sigma_iso، sigmaij = 0 | 5.96e6 | S/m | پایه ای | 
| گذر نسبی | epsilonr_iso ; epsilonrii = epsilonr_iso، epsilonrij = 0 | 1 | 1 | پایه ای | 
| مغناطش اشباع | اماس | 1.5e6 | صبح | مغناطیسی | 
| مغناطیسی اشباع | لامبدا | 200 [ppm] | 1 | مغناطیسی | 
مکانیک جامدات (جامدات)
در پنجره Model  Builder ، در قسمت Component  1  (comp1) روی Solid  Mechanics  (solid) کلیک کنید .
محدودیت ثابت 1
| 1 | در نوار ابزار Physics ، روی   Boundaries کلیک کنید و Fixed  Constraint را انتخاب کنید . | 
| 2 | فقط مرز 6 را انتخاب کنید. | 
این شرایط مرزی شبیهسازی میکند که سطح پایینی میله مغناطیسی بر روی پایه محفظه مبدل ثابت است.
مش 1
Quad رایگان 1
| 1 | در نوار ابزار Mesh ، روی   Free  Quad کلیک کنید . | 
| 2 | در پنجره تنظیمات برای Free  Quad ، بخش انتخاب دامنه  را پیدا کنید . | 
| 3 | از لیست سطح نهاد هندسی  ، دامنه را انتخاب کنید . | 
| 4 | فقط دامنه های 2 و 3 را انتخاب کنید. | 
سایز 1
| 1 | روی Free  Quad  1 کلیک راست کرده و Size را انتخاب کنید . | 
| 2 | در پنجره تنظیمات برای اندازه ، قسمت اندازه عنصر  را پیدا کنید . | 
| 3 | روی دکمه Custom کلیک کنید . | 
| 4 | قسمت پارامترهای اندازه عنصر  را پیدا کنید . | 
| 5 | کادر انتخاب حداکثر  اندازه عنصر را  انتخاب کنید . در قسمت متن مرتبط، 0.75 را تایپ کنید . | 
مثلثی رایگان 1
| 1 | در نوار ابزار Mesh ، روی   Free  Triangular کلیک کنید . | 
| 2 | در پنجره تنظیمات برای Free  Triangular ، روی   Build  All کلیک کنید . | 
مطالعه 1
در نوار ابزار صفحه اصلی ،  روی محاسبه کلیک کنید .
 روی محاسبه کلیک کنید .
 روی محاسبه کلیک کنید .
 روی محاسبه کلیک کنید .تعاریف
مشاهده 1
در پنجره Model  Builder ، گره Component  1  (comp1)>Definitions را گسترش دهید .
محور
| 1 | در پنجره Model  Builder ، گره View  1 را گسترش دهید ، سپس روی Axis کلیک کنید . | 
| 2 | در پنجره تنظیمات برای Axis ، بخش Axis را پیدا کنید . | 
| 3 | در قسمت حداکثر متن r ،  60 را تایپ کنید . | 
| 4 | در قسمت حداقل متن r ،  -52 را تایپ کنید . | 
| 5 | در قسمت حداقل متن z ،  -45 را تایپ کنید . | 
| 6 | در قسمت حداکثر متن z ،  45 را تایپ کنید . | 
| 7 |  روی Update کلیک کنید . | 
نتایج
سطح 1
| 1 | در پنجره Model  Builder ، گره Stress  (solid) را گسترش دهید ، سپس روی Surface  1 کلیک کنید . | 
| 2 | در پنجره تنظیمات برای Surface ، بخش Expression را پیدا کنید . | 
| 3 | از لیست واحد ، MPa را انتخاب کنید . | 
| 4 | قسمت Coloring  and  Style را پیدا کنید . از لیست تبدیل جدول رنگ  ، غیرخطی را انتخاب کنید . | 
| 5 | مقدار پارامتر کالیبراسیون رنگ  را روی -1 تنظیم کنید . | 
اولین نمودار پیش فرض، تنش فون میزس در هسته مغناطیسی را به همراه یک نمودار تغییر شکل مقیاس شده نشان می دهد، که باید مشابه آنچه در شکل 3 نشان داده شده باشد .
سطح 1
| 1 | در پنجره Model  Builder ، گره Stress,  3D  (solid) را گسترش دهید ، سپس روی Surface  1 کلیک کنید . | 
| 2 | در پنجره تنظیمات برای Surface ، بخش Expression را پیدا کنید . | 
| 3 | از لیست واحد ، MPa را انتخاب کنید . | 
| 4 | قسمت Coloring  and  Style را پیدا کنید . از لیست تبدیل جدول رنگ  ، غیرخطی را انتخاب کنید . | 
| 5 | مقدار پارامتر کالیبراسیون رنگ  را روی -1 تنظیم کنید . | 
مراحل زیر را برای ایجاد شکل 4 دنبال کنید .
کرنش (جامد)
| 1 | در نوار ابزار صفحه اصلی ، روی   Add  Plot  Group کلیک کنید و 2D  Plot  Group را انتخاب کنید . | 
| 2 | در پنجره تنظیمات برای گروه طرح دو بعدی  ، Strain (solid) را در قسمت نوشتار برچسب تایپ کنید . | 
سطح 1
| 1 | روی Strain  (جامد) کلیک راست کرده و Surface را انتخاب کنید . | 
| 2 | در پنجره تنظیمات برای Surface ، روی Replace  Expression در گوشه سمت راست بالای بخش Expression کلیک کنید . از منو، Component  1  (comp1)>Solid  Mechanics>Strain>Srain  tensor  (قاب های مواد  و  هندسه  )>solid.eZZ  –  Strain  Tensor،  ZZ-component را انتخاب کنید . | 
| 3 | در نوار ابزار Strain (solid) روی   Plot کلیک کنید . | 
نمودار حاصل را با نمودار 4 مقایسه کنید .
مراحل ذکر شده در زیر را برای ایجاد شکل 5 دنبال کنید .
سطح پیکان 1
| 1 | در پنجره Model  Builder ، روی Norm چگالی شار مغناطیسی  (mf) راست کلیک کرده و Arrow Surface را انتخاب کنید . | 
| 2 | در پنجره تنظیمات برای Arrow  Surface ، بخش Expression را پیدا کنید . | 
| 3 | در قسمت متن r-component ، mf.Br را تایپ کنید . | 
| 4 | در قسمت متن z-component ، mf.Bz را تایپ کنید . | 
| 5 | قسمت تعیین موقعیت پیکان  را پیدا کنید . زیر بخش نقاط شبکه r را پیدا کنید . در قسمت متنی Points عدد 20 را تایپ کنید . | 
| 6 | قسمت Coloring  and  Style را پیدا کنید . از لیست طول پیکان  ، Normalized را انتخاب کنید . | 
| 7 | از لیست رنگ ، سیاه را انتخاب کنید . | 
| 8 | در نوار ابزار هنجار چگالی شار مغناطیسی (mf) ، روی   Plot کلیک کنید . | 
نمودار حاصل را با نمودار 5 مقایسه کنید .
مراحل ذکر شده در زیر را برای ایجاد شکل 6 دنبال کنید .
فیلتر 1
| 1 | در پنجره Model  Builder ، گره هنجار چگالی شار مغناطیسی  ، هندسه چرخشی (mf) را گسترش دهید . | 
| 2 | روی جلد  1 کلیک راست کرده و Filter را انتخاب کنید . | 
| 3 | در پنجره تنظیمات برای فیلتر ، قسمت انتخاب عنصر  را پیدا کنید . | 
| 4 | در قسمت عبارت Logical  for inclusion متن، dom!=1 را تایپ کنید . | 
این امر حوزه هوای بیرونی را از طرح حذف می کند.
هنجار چگالی شار مغناطیسی، هندسه چرخشی (mf)
| 1 | در پنجره Model  Builder ، در بخش Results روی هنجار چگالی شار مغناطیسی  ، هندسه چرخشی (mf) کلیک کنید . | 
| 2 | در پنجره Settings for 3D  Plot  Group ، قسمت Plot  Settings را پیدا کنید . | 
| 3 | کادر بررسی لبه های مجموعه داده Plot را  پاک کنید . | 
فلش جلد 1
| 1 | روی Norm Magnetic  Flux  Density  Norm,  Revolved  Geometry  (mf) کلیک راست کرده و Arrow  Volume را انتخاب کنید . | 
| 2 | در پنجره تنظیمات برای حجم پیکان  ، بخش Expression را پیدا کنید . | 
| 3 | در قسمت متن r-component ، mf.Br را تایپ کنید . | 
| 4 | در قسمت متن phi-component ، mf.Bphi را تایپ کنید . | 
| 5 | در قسمت متن z-component ، mf.Bz را تایپ کنید . | 
| 6 | قسمت تعیین موقعیت پیکان  را پیدا کنید . زیربخش نقاط شبکه ای x را پیدا کنید . از لیست روش ورود ، Coordinates را انتخاب کنید . | 
| 7 | در قسمت متن مختصات ، range(-20,4,20) را تایپ کنید . | 
| 8 | زیربخش نقاط شبکه ای y  را پیدا کنید . از لیست روش ورود ، Coordinates را انتخاب کنید . | 
| 9 | در قسمت متن مختصات ، range(-20,4,20) را تایپ کنید . | 
| 10 | زیربخش نقاط شبکه z  را پیدا کنید . از لیست روش ورود ، Coordinates را انتخاب کنید . | 
| 11 | در قسمت متن مختصات ، range(-30,2.5,30) را تایپ کنید . | 
| 12 | قسمت Coloring  and  Style را پیدا کنید . از لیست طول پیکان  ، Normalized را انتخاب کنید . | 
| 13 | تیک گزینه Scale  factor را انتخاب کنید . در فیلد متن مرتبط، 5 را تایپ کنید . | 
| 14 | از لیست رنگ ، سیاه را انتخاب کنید . | 
| 15 | در نوار ابزار هنجار شار مغناطیسی، هندسه چرخشی (mf) ، روی   Plot کلیک کنید . | 
مکانیک جامدات (جامدات)
بار مرزی 1
| 1 | در نوار ابزار Physics ، روی   Boundaries کلیک کنید و Boundary  Load را انتخاب کنید . | 
| 2 | فقط مرز 9 را انتخاب کنید. | 
| 3 | در پنجره تنظیمات برای بار مرزی  ، بخش Force را پیدا کنید . | 
| 4 | بردار F A را به صورت مشخص کنید | 
| 0 | r | 
| F0 | z | 
سپس، یک جارو ادامه کمکی بر روی چگالی جریان خارجی برای سه مقدار مختلف بار مکانیکی انجام دهید و محلول را رسم کنید تا اثر اشباع در هسته مغناطیسی را مشاهده کنید.
اضافه کردن مطالعه
| 1 | در نوار ابزار Home ، روی   Add  Study کلیک کنید تا پنجره Add  Study باز شود . | 
| 2 | به پنجره Add  Study بروید . | 
| 3 | زیربخش مطالعات را پیدا کنید . در درخت انتخاب  مطالعه ، General  Studies>Stationary را انتخاب کنید . | 
| 4 | روی Add  Study در نوار ابزار پنجره کلیک کنید . | 
| 5 | در نوار ابزار Home ، روی   Add  Study کلیک کنید تا پنجره Add  Study بسته شود . | 
مطالعه 2
| 1 | در پنجره Model  Builder ، روی Study  2 کلیک کنید . | 
| 2 | در پنجره تنظیمات برای مطالعه ، قسمت تنظیمات مطالعه  را پیدا کنید . | 
| 3 | تیک Generate  defaults defaults را  پاک کنید . | 
مرحله 1: ثابت
| 1 | در پنجره Model  Builder ، در بخش مطالعه  2 ، روی Step  1:  Stationary کلیک کنید . | 
| 2 | در پنجره تنظیمات برای Stationary ، برای گسترش بخش Study  Extensions کلیک کنید . | 
| 3 | کادر بررسی جارو کمکی  را انتخاب کنید . | 
| 4 |  روی افزودن کلیک کنید . | 
| 5 | از لیست موجود در ستون نام پارامتر ، J0 (تراکم جریان) را انتخاب کنید . | 
| 6 |  روی Range کلیک کنید . | 
| 7 | در کادر محاورهای Range ، 0 را در قسمت متن شروع تایپ کنید . | 
| 8 | در قسمت متن Step ، 0.1 را تایپ کنید . | 
| 9 | در قسمت متن توقف ، 7.3 را تایپ کنید . | 
| 10 | از تابع  برای  اعمال  در  لیست همه  مقادیر ، exp10(x)  –  تابع نمایی  (مبنای 10) را انتخاب کنید . | 
| 11 | روی افزودن کلیک کنید . | 
جارو پارامتریک
| 1 | در نوار ابزار مطالعه ، روی   پارامتر  Sweep کلیک کنید . | 
| 2 | در پنجره تنظیمات برای جابجایی پارامتری  ، بخش تنظیمات مطالعه را پیدا کنید . | 
| 3 |  روی افزودن کلیک کنید . | 
| 4 | در جدول تنظیمات زیر را وارد کنید: | 
| نام پارامتر | لیست مقادیر پارامتر | واحد پارامتر | 
| F0 (بار مکانیکی) | 0 10 30 | MPa | 
اجرای کل مطالعه پارامتریک بر اساس تنظیمات بالا چند دقیقه طول می کشد. زمان دقیق حل بسته به مشخصات کامپیوتر مورد استفاده متفاوت خواهد بود.
| 5 | در نوار ابزار مطالعه ،   روی محاسبه کلیک کنید . | 
نتایج
دستورالعمل های زیر را برای ایجاد شکل 7 و شکل 8 دنبال کنید .
انقباض مغناطیسی
| 1 | در نوار ابزار صفحه اصلی ، روی   Add  Plot  Group کلیک کنید و 1D  Plot  Group را انتخاب کنید . | 
| 2 | در پنجره Settings for 1D  Plot  Group ، Magnetostriction را در قسمت نوشتار Label تایپ کنید . | 
| 3 | قسمت Data را پیدا کنید . از لیست مجموعه داده ها ، مطالعه  2/  راه حل های پارامتریک  1  (sol3) را انتخاب کنید . | 
| 4 | برای گسترش بخش عنوان کلیک کنید . از لیست نوع عنوان  ، دستی را انتخاب کنید . | 
| 5 | در قسمت متن عنوان ، منحنی Magnetostriction را تایپ کنید . | 
| 6 | قسمت Plot  Settings را پیدا کنید . | 
| 7 | چک باکس x-axis  label را انتخاب کنید . در فیلد متن مرتبط، میدان مغناطیسی (A/m) را تایپ کنید . | 
| 8 | کادر بررسی برچسب محور y  را انتخاب کنید . در قسمت متن مرتبط، Magnetostriction (ppm) را تایپ کنید . | 
| 9 | قسمت Legend را پیدا کنید . از لیست موقعیت ، سمت راست میانی  را انتخاب کنید . | 
نمودار نقطه 1
| 1 | روی Magnetostriction کلیک راست کرده و Point  Graph را انتخاب کنید . | 
| 2 | در پنجره تنظیمات برای نمودار نقطه  ، بخش انتخاب را پیدا کنید . | 
| 3 |  روی Paste  Selection کلیک کنید . | 
| 4 | در کادر محاورهای Paste  Selection ، 4 را در قسمت متن انتخاب تایپ کنید . | 
| 5 | روی OK کلیک کنید . | 
| 6 | در پنجره تنظیمات نمودار نقطهای  ، روی Replace Expression در گوشه سمت راست بالای بخش y-Axis Data کلیک کنید . از منو، Component 1 (comp1)>Multiphysics>Strain>Magnetostrictive strain tensor>npzm1.emeZZ – تانسور فشار مغناطیسی ، ZZ-component را انتخاب کنید . | 
| 7 | قسمت y-Axis  Data را پیدا کنید . از لیست واحد ، ppm را انتخاب کنید . | 
| 8 | قسمت x-Axis  Data را پیدا کنید . از لیست Parameter ، Expression را انتخاب کنید . | 
| 9 | روی Replace  Expression در گوشه سمت راست بالای بخش x-Axis  Data کلیک کنید . از منو، Component  1  (comp1)>Magnetic  Fields>Magnetic>Magnetic (  قاب های  مواد  و  هندسه  )  –  A/m>mf.HZ  –  میدان مغناطیسی ،  Z-component را انتخاب کنید . | 
| 10 | برای گسترش بخش Legends کلیک کنید . تیک Show  legends را انتخاب کنید . | 
| 11 | زیربخش Include را پیدا کنید . چک باکس Point را پاک کنید . | 
| 12 | در نوار ابزار Magnetostriction ، روی   Plot کلیک کنید . | 
منحنی BH
| 1 | در پنجره Model  Builder ، روی Magnetostriction کلیک راست کرده و Duplicate را انتخاب کنید . | 
| 2 | در پنجره تنظیمات برای گروه طرح 1 بعدی  ، منحنی BH را در قسمت متن برچسب تایپ کنید . | 
| 3 | قسمت عنوان را پیدا کنید . در قسمت متن عنوان ، منحنی BH را تایپ کنید . | 
| 4 | قسمت Plot  Settings را پیدا کنید . در قسمت نوشتاری برچسب محور y  ، چگالی شار مغناطیسی (T) را تایپ کنید . | 
نمودار نقطه 1
| 1 | در پنجره Model  Builder ، گره منحنی BH را گسترش دهید ، سپس  روی Point Graph 1 کلیک کنید . | 
| 2 | در پنجره تنظیمات نمودار نقطهای  ، روی Replace Expression در گوشه سمت راست بالای بخش y-Axis Data کلیک کنید . از منو، جزء 1 (comp1)> میدان های مغناطیسی> مغناطیسی> چگالی شار مغناطیسی (قاب های مواد و هندسه ) – T>mf.BZ – چگالی شار مغناطیسی ، مولفه Z را انتخاب کنید . | 
| 3 | در نوار ابزار BH Curve ، روی   Plot کلیک کنید . | 
ضرایب پیزومغناطیسی
| 1 | در نوار ابزار صفحه اصلی ، روی   Add  Plot  Group کلیک کنید و 1D  Plot  Group را انتخاب کنید . | 
| 2 | در پنجره تنظیمات برای گروه طرح 1 بعدی  ، ضرایب پیزومغناطیسی را در قسمت متن برچسب تایپ کنید . | 
| 3 | قسمت Data را پیدا کنید . از لیست مجموعه داده ها ، مطالعه  2/  راه حل های پارامتریک  1  (sol3) را انتخاب کنید . | 
| 4 | از لیست انتخاب پارامتر  (F0) ، First را انتخاب کنید . | 
| 5 | قسمت عنوان را پیدا کنید . از لیست نوع عنوان  ، دستی را انتخاب کنید . | 
| 6 | در قسمت متن عنوان ، Tangent piezomagnetic coupling coefficients را تایپ کنید . | 
| 7 | قسمت Plot  Settings را پیدا کنید . | 
| 8 | چک باکس x-axis  label را انتخاب کنید . در فیلد متن مرتبط، میدان مغناطیسی (A/m) را تایپ کنید . | 
| 9 | کادر بررسی برچسب محور y  را انتخاب کنید . در قسمت متن مربوطه، Coupling Coefficients (m/A) را تایپ کنید . | 
نمودار نقطه 1
| 1 | روی ضرایب پیزومغناطیسی  کلیک راست کرده و Point Graph را انتخاب کنید . | 
| 2 | در پنجره تنظیمات برای نمودار نقطه  ، بخش انتخاب را پیدا کنید . | 
| 3 |  روی Paste  Selection کلیک کنید . | 
| 4 | در کادر محاورهای Paste  Selection ، 4 را در قسمت متن انتخاب تایپ کنید . | 
| 5 | روی OK کلیک کنید . | 
| 6 | در پنجره تنظیمات نمودار نقطهای  ، روی Replace Expression در گوشه سمت راست بالای بخش y-Axis Data کلیک کنید . از منو، Component 1 (comp1)>Multiphysics>Effective خواص> Tangent piezomagnetic coupling matrix, Voigt notation – m/A>npzm1.dHT33 – Tangent piezomagnetic coupling matrix, Voigt notation, 33-component را انتخاب کنید . | 
| 7 | قسمت x-Axis  Data را پیدا کنید . از لیست Parameter ، Expression را انتخاب کنید . | 
| 8 | در قسمت متن Expression ، mf.HZ را تایپ کنید . | 
| 9 | برای گسترش بخش Legends کلیک کنید . تیک Show  legends را انتخاب کنید . | 
| 10 | از فهرست Legends ، Manual را انتخاب کنید . | 
| 11 | در جدول تنظیمات زیر را وارد کنید: | 
| افسانه ها | 
| dHT33 | 
نمودار نقطه 2
| 1 | روی Point  Graph  1 کلیک راست کرده و Duplicate را انتخاب کنید . | 
| 2 | در پنجره تنظیمات نمودار نقطهای  ، بخش y-Axis Data را پیدا کنید . | 
| 3 | در قسمت متن Expression ، npzm1.dHT31 را تایپ کنید . | 
| 4 | قسمت Legends را پیدا کنید . در جدول تنظیمات زیر را وارد کنید: | 
| افسانه ها | 
| dHT31 | 
نمودار نقطه 3
| 1 | روی Point  Graph  2 کلیک راست کرده و Duplicate را انتخاب کنید . | 
| 2 | در پنجره تنظیمات نمودار نقطهای  ، بخش y-Axis Data را پیدا کنید . | 
| 3 | در قسمت متن Expression ، npzm1.dHT15 را تایپ کنید . | 
| 4 | قسمت Legends را پیدا کنید . در جدول تنظیمات زیر را وارد کنید: | 
| افسانه ها | 
| dHT15 | 
نمودار نقطه 4
| 1 | روی Point  Graph  3 کلیک راست کرده و Duplicate را انتخاب کنید . | 
| 2 | در پنجره تنظیمات نمودار نقطهای  ، بخش y-Axis Data را پیدا کنید . | 
| 3 | در قسمت متن Expression ، -(npzm1.dHT31+npzm1.dHT32) را تایپ کنید . | 
| 4 | قسمت Legends را پیدا کنید . در جدول تنظیمات زیر را وارد کنید: | 
| افسانه ها | 
| -(dHT31+dHT32) | 
| 5 | برای گسترش بخش Coloring  and  Style کلیک کنید . زیربخش Line  style را پیدا کنید . از لیست Line ، هیچکدام را انتخاب کنید . | 
| 6 | زیربخش نشانگرهای خط  را پیدا کنید . از لیست نشانگر ، چرخه را انتخاب کنید . | 
| 7 | از لیست موقعیت یابی ، Interpolated را انتخاب کنید . | 
| 8 | در نوار ابزار Piezomagnetic Coefficients ، روی   Plot کلیک کنید . | 
 
