مبدل اولتراسونیک میکروماشین خازنی

View Categories

مبدل اولتراسونیک میکروماشین خازنی

26 min read

PDF

مبدل اولتراسونیک میکروماشین خازنی
معرفی
مبدل اولتراسونیک میکروماشین خازنی (CMUT) یک گیرنده در مقیاس میکرو است که اولتراسوند را به سیگنال الکتریکی برای کاربردهای تصویربرداری با وضوح بالا تبدیل می کند. این مدل یک طراحی CMUT را با ویژگی‌های بهینه جابجایی نیرو برای افزایش کارایی تحلیل می‌کند. یک معیار مهم برای بهبود، ضریب یکنواختی جابجایی است که می‌تواند با استفاده از یک مطالعه Prestressed دامنه فرکانس محاسبه شود. این طراحی خاص بر اساس یک فناوری تصویربرداری پزشکی به خوبی تثبیت شده تحت سلطه مبدل های پیزوالکتریک بهبود می یابد و نوید کوچک سازی و وضوح بالاتر را می دهد.
تعریف مدل
دستگاه بر اساس کار گزارش شده در Ref. 1 . می توان آن را با استفاده از فناوری فرآیند 0.35  میکرومتر CMOS-MEMS ساخت. بر روی یک بستر سیلیکونی، لایه‌های متناوب دی الکتریک (دی‌اکسید سیلیکون) و فلز (آلومینیوم) رسوب می‌کنند و از نظر لیتوگرافی به ترتیب الگوبرداری می‌شوند. تمام ضخامت های دی الکتریک و فلز به ترتیب 1.0  میکرومتر و 0.64  میکرومتر هستند ، به جز بالاترین لایه فلزی که 1.28  میکرومتر است . سه لایه دی الکتریک، چهار لایه فلزی و یک لایه غیرفعال سازی نهایی (نیترید سیلیکون) وجود دارد که 1.0  μ است.متر لایه غیرفعال به عنوان غشایی عمل می کند که می تواند به فشار خارجی پاسخ دهد و از دستگاه در برابر محیط خارجی محافظت می کند. پس از تکمیل مراحل رسوب گذاری، یک فرآیند اچینگ انتخابی و ایزوتروپیک، مواد قربانی را حذف می کند تا غشا و توده معلق آزاد شود.
این مدل یک مدل سه بعدی از یک ربع دستگاه است. به دلیل تقارن چهار برابری آن و تحلیل های مورد نیاز، نیازی به مدل سازی صریح کل دستگاه نیست. شکل 1 مدلی را نشان می دهد که شامل لایه های دی الکتریک، فلز و غیرفعال می شود. ابعاد مدل عبارتند از:
طول: 31.75  میکرومتر (نصف طول دستگاه)
ارتفاع:  6.56 میکرومتر
شکل 1: مدل یک ربع دستگاه. این نمودار سه بعدی مواد استفاده شده در مدل را نشان می دهد. غشاء نیترید سیلیکون (زرد)، الکترود بالایی و تکیه گاه ها فلزی (قرمز) و جرم معلق دی اکسید سیلیکون (آبی) است. فضای خالی یا شکاف به رنگ خاکستری نشان داده شده است.
شکل 2 شرایط مرزی را نشان می دهد. صفحه زمین با یک شرط مرزی زمین نشان داده می شود. اولین لایه دی اکسید سیلیکون بر روی سطح زمین رسوب می کند. شکاف با ضخامت لایه فلزی قربانی تعریف می شود. در داخل جرم معلق صفحه الکترود متصل به غشاء نیترید سیلیکون/لایه غیرفعال سازی تعبیه شده است. همانطور که غشاء توسط یک اختلاف فشار خارجی منحرف می شود، شکاف بین الکترودها تغییر می کند. تحریک خارجی با یک شرط مرزی بار مرزی با استفاده از اغتشاش هارمونیک نشان داده می شود. این حالت در سطح بالایی غشا اعمال می شود. با بایاس کوچک 5 ولت بین الکترودها، تغییر در ظرفیت در جریان خروجی منعکس خواهد شد.
شکل 2: این نمودار سه بعدی شرایط مرزی استفاده شده در مدل را نشان می دهد. در سطح پایین مدل صفحه زمین و الکترود بالایی روی 5 ولت تنظیم شده است. بار مرزی با استفاده از اغتشاش هارمونیک به سطح بالایی اعمال می شود.
کار گزارش شده در Ref. 1 با هدف افزایش ولتاژ خروجی تقویت شده، out ، از CMUT همانطور که توسط
که در آن CMUT ظرفیت استاتیکی دستگاه است، F ظرفیت CI است ، BF بهره مدار بافر، o شکاف خازن، 1MD ضخامت کل دی الکتریک بین الکترودها است. ε r گذردهی دی الکتریک است و Δ avg میانگین جابجایی الکترود است. هدف طراحی جدید افزایش در عین حفظ فناوری فرآیند یکسان است تا بتوان بازده را حفظ کرد. این بدان معنی است که ضخامت لایه ( o ، 1MD ) و خواص مواد ( εr ) و پارامترهای مدار بافر خارجی ( CF ، BF ) بدون تغییر هستند Δ avg تنها پارامتری است که می توان از طریق طراحی ماسک تغییر داد. هنگامی که انحنای الکترود کاهش می یابد افزایش می یابد و طراحی جرم معلق انحنای الکترود را کاهش می دهد. این بهبود در ضریب یکنواختی جابجایی CMUT، F ، منعکس شده است
که با استفاده از عملگرهای کوپلینگ Average و Minimum قابل محاسبه است. یکی از ویژگی های کلیدی در این طراحی این است که جرم معلق فقط به غشایی متصل می شود که در آن تکیه گاه های فلزی همپوشانی دارند. این بدان معنی است که الکترود بالایی تا حدی از غشاء جدا شده است بنابراین انحنای الکترود بالایی کاهش می یابد که به نوبه خود باعث افزایش میانگین جابجایی در ناحیه الکترود می شود.
هندسه مدل کاملاً پارامتری شده است تا امکان تغییرات آسان در ساختار دستگاه را فراهم کند تا فرکانس تشدید خاصی را هدف قرار دهد. این مدل یک مسئله چندفیزیکی مربوط به نیروی الکترومکانیکی را حل می‌کند و پاسخ فرکانسی دستگاه را با استفاده از یک مطالعه Prestressed دامنه فرکانس محاسبه می‌کند. دستگاه با استفاده از رابط مدار الکتریکی برای محاسبه جریان خروجی به یک مدار خارجی متصل می شود. این مدل از عملگرهای داخلی برای محاسبه میانگین و حداقل جابجایی روی سطح الکترود برای محاسبه ضریب یکنواختی جابجایی استفاده می‌کند.
نتایج و بحث
شکل 3 پاسخ فرکانسی را در محدوده 1.7-2.5 مگاهرتز برای اندازه گیری جابجایی الکترود و جریان خروجی نشان می دهد.
شکل 3: جریان در مقابل فرکانس.
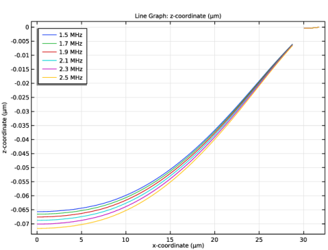
شکل 4 نمایه سطح مقطع الکترود بالایی را به عنوان تابعی از فرکانس نشان می دهد. حداکثر جابجایی در مرکز دستگاه و 13 نانومتر در 2.1 مگاهرتز است.
شکل 4: مشخصات الکترود بالایی با تابع فرکانس. حداکثر جابجایی در مرکز دستگاه و 13 نانومتر در 2.1 مگاهرتز است.
شکل 5 جابجایی z سازه را با اغتشاش هارمونیک در فرکانس 1.7 مگاهرتزنشان می دهدهمانطور که انتظار می رود، جابجایی در صفحات تقارن در مرکز دستگاه حداکثر است. با توجه به طراحی، گوشه های جرم معلق در امتداد مورب دستگاه نیز دارای جابجایی زیادی است که منجر به امتداد لوب به گوشه دستگاه می شود. دستگاه معمولی یک الگوی دایره ای در مرکز دستگاه خواهد داشت.
شکل 5: تغییر مکان z سازه با اغتشاش هارمونیک در فرکانس 1.7 مگاهرتز.
این مدل از مطالعه فرکانس ویژه برای تعیین فرکانس تشدید استفاده می کند. فرکانس ویژه 7.5011 مگاهرتز با مقدار گزارش شده 7.52 مگاهرتز مطابقت دارد ( مراجعه 1 ).
شکل 6: مشخصات الکترود بالایی با تابع فرکانس. حداکثر جابجایی در مرکز دستگاه و 13 نانومتر در 2.1 مگاهرتز است.
با توجه به رفر. 1 ، مقدار F برای CMUT معمولی 0.6 است بنابراین طراحی پیستون خروجی دستگاه را حدود 40٪ بهبود می بخشد.
ارجاع
1. سی چو، پی. چن، اچ وو، تی. هسو و ام. لی، «CMOS-MEMS CMUT-Piston-Shaped CMUT Front-End Featuring Force-Displacement Transduction Enhancement»، مجموعه مقالات بیست و یکمین کنفرانس بین المللی حسگرهای حالت جامد، محرک ها و میکروسیستم ها ( مبدل‌ها) ، صفحات 26-29، 2021.
مسیر کتابخانه برنامه: MEMS_Module/Sensors/capacitive_micromachined_ultrasonic_transducer
دستورالعمل مدلسازی
با ایجاد یک مدل سه بعدی جدید با رابط های Electromechanics و Electrical Circuit شروع کنید.
از منوی File ، New را انتخاب کنید .
جدید
در پنجره جدید ، روی  Model  Wizard کلیک کنید .
مدل جادوگر
1
در پنجره Model  Wizard ، روی  3D کلیک کنید .
2
در درخت Select  Physics ، AC/DC>Electromagnetics  and  Mechanics>Electromechanics>Electromechanics را انتخاب کنید .
3
روی افزودن کلیک کنید .
4
در درخت Select  Physics ، AC/DC>Electrical  Circuit  (cir) را انتخاب کنید .
5
روی افزودن کلیک کنید .
6
 روی مطالعه کلیک کنید .
7
در درخت مطالعه انتخاب ،  مطالعات از پیش تعیین شده برای واسط های فیزیک انتخاب شده مکانیک جامد> دامنه فرکانس، پیش تنیده را انتخاب کنید .
8
 روی Done کلیک کنید .
مقادیر پارامترهای زیر را تعریف و وارد کنید.
تعاریف جهانی
پارامترهای 1
1
در پنجره Model  Builder ، در قسمت Global  Definitions روی Parameters  1 کلیک کنید .
2
در پنجره تنظیمات برای پارامترها ، بخش پارامترها را پیدا کنید .
3
در جدول تنظیمات زیر را وارد کنید:
 
نام
اصطلاح
ارزش
شرح
ل
63.5 [یک]
6.35E-5 متر
طول دستگاه
اجازه دهید
33 [یک]
3.3E-5 متر
طول الکترود بالایی
l_eb
35 [یک]
3.5E-5m
طول الکترود پایین
t_ox
1 یکی]
1E-6 متر
ضخامت اکسید
t_m2
0.64 [یک]
6.4E-7 متر
ضخامت فلز قربانی، M2
t_m3
0.64 [یک]
6.4E-7 متر
ضخامت الکترود بالایی M3
t_m4
1.28 [یک]
1.28E-6 متر
ضخامت فلز ساپورت M4
t_w
3.4 [یک]
3.4E-6 متر
ضخامت دیوار
w_ox
11.25 [یک]
1.125E-5 متر
عرض اکسید در اطراف الکترود بالایی
l_v43
12 [یک]
1.2E-5 متر
طول از طریق 4-3
l_m4
15 [یک]
1.5E-5m
طول فلز نگهدارنده
w_b
3.6 [یک]
3.6E-6 متر
عرض تیر پشتیبانی
t_np
1 یکی]
1E-6 متر
ضخامت لایه غیرفعال سازی نیترید
p_max
1[MPa]
1E6 خب
حداکثر فشار
R_load
1 [Gohm]
1E9 اوه
مقاومت بار
V_a
5 [V]
5 V
ولتاژ اعمال شده
از میکرون به عنوان واحد هندسه استفاده کنید.
هندسه 1
1
در پنجره Model  Builder ، در قسمت Component   (comp1) روی Geometry  1 کلیک کنید .
2
در پنجره تنظیمات هندسه ، بخش Units را پیدا کنید .
3
از لیست واحد طول  ، میکرومتر را انتخاب کنید .
صفحه کار 1 (wp1)
در نوار ابزار هندسه ، روی صفحه  کار  کلیک کنید .
صفحه کار 1 (wp1)> هندسه صفحه
در پنجره Model  Builder ، روی صفحه  هندسه کلیک کنید .
دستگاه
1
در نوار ابزار Work Plane ، روی  مربع کلیک کنید .
2
در پنجره تنظیمات مربع ، Device را در قسمت نوشتار برچسب تایپ کنید .
3
قسمت Size را پیدا کنید . در قسمت متن Side  length ، l/2 را تایپ کنید .
پیستون
1
در نوار ابزار Work Plane ، روی  مربع کلیک کنید .
2
در پنجره تنظیمات مربع ، پیستون را در قسمت نوشتار برچسب تایپ کنید .
3
قسمت Size را پیدا کنید . در قسمت متن Side  length ، l_eb/2+w_ox را تایپ کنید .
داخل دیوار
1
در نوار ابزار Work Plane ، روی  مربع کلیک کنید .
2
در پنجره تنظیمات مربع ، Inside Wall را در قسمت نوشتار Label تایپ کنید .
3
قسمت Size را پیدا کنید . در قسمت متن Side  length ، l/2-t_w/2 را تایپ کنید .
الکترود پایین
1
در نوار ابزار Work Plane ، روی  مربع کلیک کنید .
2
در پنجره تنظیمات مربع ، در قسمت نوشتار Label ، Bottom Electrode را تایپ کنید .
3
قسمت Size را پیدا کنید . در قسمت متن Side  length ، l_eb/2 را تایپ کنید .
اکسید 1
1
در پنجره Model  Builder ، روی Geometry  1 کلیک راست کرده و Extrude را انتخاب کنید .
2
در پنجره تنظیمات برای Extrude ، Oxide 1 را در قسمت نوشتار Label تایپ کنید .
3
بخش فاصله ها را بیابید . در جدول تنظیمات زیر را وارد کنید:
 
فواصل (ΜM)
t_ox
فلز 2
1
در نوار ابزار Geometry ، روی  Extrude کلیک کنید .
2
در پنجره تنظیمات برای Extrude ، عبارت Metal 2 را در قسمت نوشتار Label تایپ کنید .
3
قسمت General را پیدا کنید . از لیست Extrude  from ، Faces را انتخاب کنید .
4
در شیء ext1 ، فقط مرزهای 4، 8، 12 و 16 را انتخاب کنید.
5
از فهرست مدیریت شی ورودی  ، Keep را انتخاب کنید .
6
بخش فاصله ها را بیابید . در جدول تنظیمات زیر را وارد کنید:
 
فواصل (ΜM)
t_m2
اکسید 2
1
در نوار ابزار Geometry ، روی  Extrude کلیک کنید .
2
در پنجره تنظیمات برای Extrude ، Oxide 2 را در قسمت نوشتار Label تایپ کنید .
3
قسمت General را پیدا کنید . از لیست Extrude  from ، Faces را انتخاب کنید .
4
در شیء ext2 ، فقط مرزهای 4، 8، 12 و 16 را انتخاب کنید.
5
از فهرست مدیریت شی ورودی  ، Keep را انتخاب کنید .
6
بخش فاصله ها را بیابید . در جدول تنظیمات زیر را وارد کنید:
 
فواصل (ΜM)
t_ox
فلز 3
1
در نوار ابزار Geometry ، روی  Extrude کلیک کنید .
2
در پنجره تنظیمات برای Extrude ، عبارت Metal 3 را در قسمت نوشتار Label تایپ کنید .
3
قسمت General را پیدا کنید . از لیست Extrude  from ، Faces را انتخاب کنید .
4
در شیء ext3 ، فقط مرزهای 4، 8، 12 و 16 را انتخاب کنید.
5
از فهرست مدیریت شی ورودی  ، Keep را انتخاب کنید .
6
بخش فاصله ها را بیابید . در جدول تنظیمات زیر را وارد کنید:
 
فواصل (ΜM)
t_m3
اکسید 3
1
در نوار ابزار Geometry ، روی  Extrude کلیک کنید .
2
در پنجره تنظیمات برای Extrude ، Oxide 3 را در قسمت نوشتار Label تایپ کنید .
3
قسمت General را پیدا کنید . از لیست Extrude  from ، Faces را انتخاب کنید .
4
در شیء ext4 ، فقط مرزهای 4، 8، 12 و 16 را انتخاب کنید.
5
از فهرست مدیریت شی ورودی  ، Keep را انتخاب کنید .
6
بخش فاصله ها را بیابید . در جدول تنظیمات زیر را وارد کنید:
 
فواصل (ΜM)
t_ox
صفحه کار 2 (wp2)
1
در نوار ابزار هندسه ، روی صفحه  کار  کلیک کنید .
2
در پنجره تنظیمات برای صفحه کار  ، قسمت تعریف هواپیما را پیدا کنید .
3
در قسمت متن مختصات z ، t_ox+t_m2+t_ox+t_m3+t_ox را تایپ کنید .
صفحه کار 2 (wp2)> هندسه صفحه
در پنجره Model  Builder ، روی صفحه  هندسه کلیک کنید .
مرکز پشتیبانی
1
در نوار ابزار Work Plane ، روی  مربع کلیک کنید .
2
در پنجره تنظیمات مربع ، پشتیبانی، مرکز را در قسمت متن برچسب تایپ کنید .
3
قسمت Size را پیدا کنید . در قسمت متن Side  length ، l_m4/2 را تایپ کنید .
پشتیبانی، x
1
در نوار ابزار Work Plane ، روی  Rectangle کلیک کنید .
2
در پنجره تنظیمات برای Rectangle ، عبارت Support، x را در قسمت نوشتار Label تایپ کنید .
3
قسمت Size  and  Shape را پیدا کنید . در قسمت متن Width ، l/2-l_m4/2 را تایپ کنید .
4
در قسمت متن ارتفاع ، w_b/2 را تایپ کنید .
5
قسمت Position را پیدا کنید . در قسمت نوشتار xw ، l_m4/2 را تایپ کنید .
پشتیبانی، y
1
در نوار ابزار Work Plane ، روی  Rectangle کلیک کنید .
2
در پنجره تنظیمات برای Rectangle ، عبارت Support، y را در قسمت نوشتار Label تایپ کنید .
3
قسمت Size  and  Shape را پیدا کنید . در قسمت متن Width ، w_b/2 را تایپ کنید .
4
در قسمت متن ارتفاع ، l/2-l_m4/2 را تایپ کنید .
5
قسمت Position را پیدا کنید . در قسمت متن yw ، l_m4/2 را تایپ کنید .
دستگاه، بالا
1
در نوار ابزار Work Plane ، روی  مربع کلیک کنید .
2
در پنجره تنظیمات مربع ، Device, Upper را در قسمت نوشتار Label تایپ کنید .
3
قسمت Size را پیدا کنید . در قسمت متن Side  length ، l/2 را تایپ کنید .
دیوار داخلی، بالا
1
در نوار ابزار Work Plane ، روی  مربع کلیک کنید .
2
در پنجره تنظیمات مربع ، Inside Wall، Upper را در قسمت نوشتار Label تایپ کنید .
3
قسمت Size را پیدا کنید . در قسمت متن Side  length ، l/2-t_w/2 را تایپ کنید .
فلز 4
1
در پنجره Model  Builder ، در قسمت Component   (comp1)>Geometry  1 روی Work  Plane   (wp2) کلیک راست کرده و Extrude را انتخاب کنید .
2
در پنجره تنظیمات برای Extrude ، عبارت Metal 4 را در قسمت نوشتار Label تایپ کنید .
3
قسمت General را پیدا کنید . از فهرست مدیریت شی ورودی  ، Keep را انتخاب کنید .
4
بخش فاصله ها را بیابید . در جدول تنظیمات زیر را وارد کنید:
 
فواصل (ΜM)
t_m4
نیترید
1
در نوار ابزار Geometry ، روی  Block کلیک کنید .
2
در پنجره تنظیمات برای Block ، Nitride را در قسمت نوشتار Label تایپ کنید .
3
قسمت Size  and  Shape را پیدا کنید . در قسمت متن Width ، l/2 را تایپ کنید .
4
در قسمت Depth text، l/2 را تایپ کنید .
5
در قسمت متن ارتفاع ، t_np را تایپ کنید .
6
قسمت Position را پیدا کنید . در قسمت متن z ، t_ox+t_m2+t_ox+t_m3+t_ox+t_m4 را تایپ کنید .
7
قسمت Selections  of  Resulting  Entities را پیدا کنید . تیک گزینه Resulting  objects  selection را انتخاب کنید .
8
زیربخش انتخاب تجمعی را  پیدا کنید . روی New کلیک کنید .
9
در کادر محاوره ای New  Cumulative  Selection ، Passivation را در قسمت متن Name تایپ کنید .
10
روی OK کلیک کنید .
11
در پنجره تنظیمات برای Block ، بخش Selections  of  Resulting  Entities را پیدا کنید .
12
از فهرست رنگ ، هیچ‌کدام یا – اگر از دسکتاپ چند پلتفرمی استفاده می‌کنید – سفارشی را انتخاب کنید . در دسکتاپ cross-platform، روی دکمه Color کلیک کنید .
13
روی تعریف رنگ های سفارشی کلیک کنید .
14
مقادیر RGB را به ترتیب روی 255، 255 و 155 قرار دهید.
15
روی افزودن به رنگ های سفارشی کلیک کنید .
16
روی نمایش تنها پالت رنگ یا تأیید در دسکتاپ چند پلتفرمی کلیک کنید .
از طريق
1
در نوار ابزار Geometry ، روی  Block کلیک کنید .
2
در پنجره تنظیمات برای Block ، Via را در قسمت نوشتار Label تایپ کنید .
3
قسمت Size  and  Shape را پیدا کنید . در قسمت متن Width ، l_v43/2 را تایپ کنید .
4
در قسمت متن عمق ، l_v43/2 را تایپ کنید .
5
در قسمت متن ارتفاع ، t_ox را تایپ کنید .
6
قسمت Position را پیدا کنید . در قسمت متن z ، t_ox+t_m2+t_ox+t_m3 را تایپ کنید .
الکترود بالا
1
در نوار ابزار Geometry ، روی  Block کلیک کنید .
2
در پنجره تنظیمات برای Block ، Top Electrode را در قسمت نوشتار Label تایپ کنید .
3
قسمت Size  and  Shape را پیدا کنید . در قسمت متن Width ، l_et/2 را تایپ کنید .
4
در قسمت Depth text l_et/2 را تایپ کنید .
5
در قسمت متن ارتفاع ، t_m3 را تایپ کنید .
6
قسمت Position را پیدا کنید . در قسمت متن z ، t_ox+t_m2+t_ox را تایپ کنید .
فرم اتحادیه (فین)
1
در پنجره Model  Builder ، روی Form  Union  (fin) کلیک کنید .
2
در پنجره تنظیمات Form  Union/Assembly ، روی  Build  Selected کلیک کنید .
انتخاب های زیر را برای مناطق شکاف، اکسید و الکترود تعریف کنید.
تعاریف
شکاف
1
در نوار ابزار تعاریف ، روی  Explicit کلیک کنید .
2
در پنجره تنظیمات برای Explicit ، Gap را در قسمت نوشتار Label تایپ کنید .
3
قسمت Input  Entities را پیدا کنید .  روی Paste  Selection کلیک کنید .
4
در کادر محاوره ای Paste  Selection ، 2 12 17 18 19 20 27 را در قسمت متن Selection تایپ کنید .
5
روی OK کلیک کنید .
اکسید
1
در نوار ابزار تعاریف ، روی  Explicit کلیک کنید .
2
در پنجره تنظیمات برای Explicit ، Oxide را در قسمت نوشتار Label تایپ کنید .
3
قسمت Input  Entities را پیدا کنید .  روی Paste  Selection کلیک کنید .
4
در کادر محاوره ای Paste  Selection ، 1 3 8 10 11 13 14 15 16 21 22 23 24 25 28 را در قسمت متن انتخاب تایپ کنید .
5
روی OK کلیک کنید .
6
در پنجره تنظیمات برای Explicit ، بخش Color را پیدا کنید .
7
از فهرست رنگ ، هیچ‌کدام یا – اگر از دسکتاپ چند پلتفرمی استفاده می‌کنید – سفارشی را انتخاب کنید . در دسکتاپ cross-platform، روی دکمه Color کلیک کنید .
8
روی تعریف رنگ های سفارشی کلیک کنید .
9
مقادیر RGB را به ترتیب روی 175، 210 و 230 قرار دهید.
10
روی افزودن به رنگ های سفارشی کلیک کنید .
11
روی نمایش تنها پالت رنگ یا تأیید در دسکتاپ چند پلتفرمی کلیک کنید .
الکترود
1
در نوار ابزار تعاریف ، روی  Explicit کلیک کنید .
2
در پنجره تنظیمات برای Explicit ، Electrode را در قسمت نوشتار Label تایپ کنید .
3
قسمت Input  Entities را پیدا کنید .  روی Paste  Selection کلیک کنید .
4
در کادر محاوره‌ای Paste  Selection ، 4 5 6 9 26 29 30 را در قسمت متن انتخاب تایپ کنید .
5
روی OK کلیک کنید .
6
در پنجره تنظیمات برای Explicit ، بخش Color را پیدا کنید .
7
از فهرست رنگ ، هیچ‌کدام یا – اگر از دسکتاپ چند پلتفرمی استفاده می‌کنید – سفارشی را انتخاب کنید . در دسکتاپ cross-platform، روی دکمه Color کلیک کنید .
8
روی تعریف رنگ های سفارشی کلیک کنید .
9
مقادیر RGB را به ترتیب روی 255، 75 و 75 قرار دهید.
10
روی افزودن به رنگ های سفارشی کلیک کنید .
11
روی نمایش تنها پالت رنگ یا تأیید در دسکتاپ چند پلتفرمی کلیک کنید .
لبه، مرکز
1
در نوار ابزار تعاریف ، روی  جعبه کلیک کنید .
2
در پنجره تنظیمات جعبه ، Edge را تایپ کنید و در قسمت Label وسط قرار دهید .
3
قسمت Geometric  Entity  Level را پیدا کنید . از لیست Level ، Edge را انتخاب کنید .
4
قسمت Box  Limits را پیدا کنید . در قسمت متن حداکثر x ،  0 را تایپ کنید .
5
در قسمت متن حداکثر y ،  0 را تایپ کنید .
6
قسمت Output  Entities را پیدا کنید . از فهرست Include  entity  if ، Entity  inside  کادر را انتخاب کنید .
میانگین و حداقل عملگرهای مورد نیاز برای ارزیابی را تعریف کنید.
میانگین 1 (aveop1)
1
در نوار ابزار تعاریف ، روی  Nonlocal  Couplings کلیک کنید و میانگین را انتخاب کنید .
2
در پنجره تنظیمات برای میانگین ، بخش انتخاب منبع  را پیدا کنید .
3
از لیست سطح نهاد هندسی  ، Boundary را انتخاب کنید .
4
 روی Paste  Selection کلیک کنید .
5
در کادر محاوره ای Paste  Selection ، عدد 12 را در قسمت انتخاب متن تایپ کنید.
6
روی OK کلیک کنید .
حداقل 1 (minop1)
1
در نوار ابزار تعاریف ، روی  Nonlocal  Couplings کلیک کنید و حداقل را انتخاب کنید .
2
در پنجره تنظیمات برای حداقل ، بخش انتخاب منبع  را پیدا کنید .
3
از لیست سطح نهاد هندسی  ، Boundary را انتخاب کنید .
4
 روی Paste  Selection کلیک کنید .
5
در کادر محاوره ای Paste  Selection ، عدد 12 را در قسمت انتخاب متن تایپ کنید.
6
روی OK کلیک کنید .
مواد را به مدل اضافه کنید.
مواد را اضافه کنید
1
در نوار ابزار Home ، روی  Add  Material کلیک کنید تا پنجره Add  Material باز شود .
2
به پنجره Add  Material بروید .
3
در درخت، MEMS>Metals>Al  –  Aluminium را انتخاب کنید .
4
روی Add  to  Component در نوار ابزار پنجره کلیک کنید .
مواد
آل – آلومینیوم (مت1)
1
در پنجره تنظیمات برای مواد ، قسمت انتخاب موجودیت هندسی  را پیدا کنید .
2
از لیست انتخاب ، الکترود را انتخاب کنید .
3
قسمت محتوای مواد  را پیدا کنید . در جدول تنظیمات زیر را وارد کنید:
 
ویژگی
متغیر
ارزش
واحد
گروه اموال
گذر نسبی
epsilonr_iso ; epsilonrii = epsilonr_iso، epsilonrij = 0
1
1
پایه ای
مواد را اضافه کنید
1
به پنجره Add  Material بروید .
2
در درخت، MEMS>Insulators>SiO2  –  Silicon  oxide را انتخاب کنید .
3
روی Add  to  Component در نوار ابزار پنجره کلیک کنید .
مواد
SiO2 – اکسید سیلیکون (mat2)
1
در پنجره تنظیمات برای مواد ، قسمت انتخاب موجودیت هندسی  را پیدا کنید .
2
از لیست انتخاب ، Oxide را انتخاب کنید .
مواد را اضافه کنید
1
به پنجره Add  Material بروید .
2
در درخت، MEMS>Insulators>Si3N4  –  Silicon  nitride را انتخاب کنید .
3
روی Add  to  Component در نوار ابزار پنجره کلیک کنید .
مواد
Si3N4 – نیترید سیلیکون (mat3)
1
در پنجره تنظیمات برای مواد ، قسمت انتخاب موجودیت هندسی  را پیدا کنید .
2
از لیست Selection ، Passivation را انتخاب کنید .
مواد را اضافه کنید
1
به پنجره Add  Material بروید .
2
در درخت، Liquids  and  Gases>Gases>Air را انتخاب کنید .
3
روی Add  to  Component در نوار ابزار پنجره کلیک کنید .
4
در نوار ابزار Home ، روی  Add  Material کلیک کنید تا پنجره Add  Material بسته شود .
مواد
آب (mat4)
1
در پنجره تنظیمات برای مواد ، قسمت انتخاب موجودیت هندسی  را پیدا کنید .
2
از لیست انتخاب ، Gap را انتخاب کنید .
3
قسمت محتوای مواد  را پیدا کنید . در جدول تنظیمات زیر را وارد کنید:
 
ویژگی
متغیر
ارزش
واحد
گروه اموال
گذر نسبی
epsilonr_iso ; epsilonrii = epsilonr_iso، epsilonrij = 0
1
1
پایه ای
مش متحرک
تغییر شکل دامنه 1
1
در پنجره Model  Builder ، در قسمت Component   (comp1)>Moving  Mesh روی Deforming  Domain  1 کلیک کنید .
2
در پنجره تنظیمات برای تغییر شکل  دامنه ، قسمت انتخاب دامنه  را پیدا کنید .
3
از لیست انتخاب ، Gap را انتخاب کنید .
تقارن / غلتک 1
1
در پنجره Model  Builder ، روی Symmetry/Roller  1 کلیک کنید .
2
فقط مرزهای 4، 5، 38، 54، 57، 60، 63، 117، 128، 130، 132 و 134 را انتخاب کنید.
شرایط مرزی Electrostatics را تنظیم کنید.
الکترواستاتیک (ES)
ویژگی پیش‌فرض Charge Conservation برای استفاده از نوع مواد جامد تنظیم شد. برای نمایش دامنه های غیر جامد (هوا) یک ویژگی دیگر Charge Conservation اضافه کنید.
حفظ شارژ 2
1
در پنجره Model  Builder ، در قسمت Component   (comp1) روی Electrostatics  (es) کلیک راست کرده و Charge  Conservation را انتخاب کنید .
2
در پنجره تنظیمات برای حفظ شارژ  ، بخش انتخاب دامنه را پیدا کنید .
3
از لیست انتخاب ، Gap را انتخاب کنید .
ترمینال 1
1
در نوار ابزار Physics ، روی  Domains کلیک کنید و Terminal را انتخاب کنید .
2
در پنجره تنظیمات برای ترمینال ، بخش انتخاب دامنه  را پیدا کنید .
3
از لیست انتخاب ، الکترود را انتخاب کنید .
4
قسمت ترمینال را پیدا کنید . از لیست نوع ترمینال  ، مدار را انتخاب کنید .
زمین 1
1
در نوار ابزار Physics ، روی  Boundaries کلیک کنید و Ground را انتخاب کنید .
2
در پنجره تنظیمات برای زمین ، قسمت انتخاب مرز  را پیدا کنید .
3
 روی Paste  Selection کلیک کنید .
4
در کادر محاوره‌ای Paste  Selection ، عدد 3 را در قسمت متن انتخاب تایپ کنید.
5
روی OK کلیک کنید .
صفحه تقارن 1
1
در نوار ابزار Physics ، روی  Boundaries کلیک کنید و Symmetry  Plane را انتخاب کنید .
2
در پنجره تنظیمات برای صفحه تقارن  ، قسمت انتخاب مرز را پیدا کنید .
3
 روی Paste  Selection کلیک کنید .
4
در کادر محاوره ای Paste  Selection ، 2 5 8 11 14 17 20 105 107 113 115 117 119 121 123 126 128 130 132 134 137 130 132 134 137 139 141 107 17 20 105 107 113 113 115 123 126 128 130 132 134 137 139 141 143 Selection را تایپ کنید .
5
روی OK کلیک کنید .
صفحه تقارن 2
1
در نوار ابزار Physics ، روی  Boundaries کلیک کنید و Symmetry  Plane را انتخاب کنید .
2
در پنجره تنظیمات برای صفحه تقارن  ، قسمت انتخاب مرز را پیدا کنید .
3
 روی Paste  Selection کلیک کنید .
4
در کادر محاوره ای Paste  Selection ، 1 4 7 10 13 16 19 23 27 31 35 38 41 44 47 51 54 57 60 63 67 70 73 76 79 82 1 4 76 79 82 را در قسمت انتخاب متن انتخاب کنید.
5
روی OK کلیک کنید .
شرایط مرزی مکانیک جامدات را تنظیم کنید.
مکانیک جامدات (جامدات)
در پنجره Model  Builder ، در قسمت Component   (comp1) روی Solid  Mechanics  (solid) کلیک کنید .
تقارن 1
در نوار ابزار Physics ، روی  Boundaries کلیک کنید و Symmetry را انتخاب کنید .
الکترواستاتیک (ES)
صفحه تقارن 1
1
در پنجره Model  Builder ، در قسمت Component   (comp1)>Electrostatics  (es) روی Symmetry  Plane  1 کلیک کنید .
2
در پنجره تنظیمات برای صفحه تقارن  ، قسمت انتخاب مرز را پیدا کنید .
3
در لیست، 2 ، 5 ، 8 ، 11 ، 14 ، 17 ، 20 ، 105 ، 107 ، 113، 115، 117 ، 119 ، 121 ، 123 ، 126 ، 1301،123 ، 123 ، 123 ، 123 ، 123 ، 123 ، 123، 123 ، 123 ، 123 ، 123، 123، 123 ، 123 ، 123 ، 123 ، 128 و 143 و 145 و 147 .
4
 روی Copy  Selection کلیک کنید .
مکانیک جامدات (جامدات)
تقارن 1
1
در پنجره Model  Builder ، در قسمت Component   (comp1)> Solid  Mechanics  (solid) Symmetry  1 را کلیک کنید .
2
در پنجره تنظیمات برای تقارن ، قسمت انتخاب مرز  را پیدا کنید .
3
 روی Paste  Selection کلیک کنید .
4
در کادر محاوره ای Paste  Selection ، 2 5 8 11 14 17 20 105 107 113 115 117 119 121 123 126 128 130 132 134 137 130 132 134 137 139 141 107 17 20 105 107 113 113 115 123 126 128 130 132 134 137 139 141 143 Selection را تایپ کنید .
5
روی OK کلیک کنید .
تقارن 2
در نوار ابزار Physics ، روی  Boundaries کلیک کنید و Symmetry را انتخاب کنید .
الکترواستاتیک (ES)
صفحه تقارن 2
1
در پنجره Model  Builder ، در قسمت Component   (comp1)>Electrostatics  (es) روی Symmetry  Plane  2 کلیک کنید .
2
در پنجره تنظیمات برای صفحه تقارن  ، قسمت انتخاب مرز را پیدا کنید .
3
در فهرست، 1 ، 4 ، 7 ، 10 ، 13 ، 16 ، 19 ، 23 ، 27 ، 31 ، 35 ، 38 ، 41 ، 44 ، 47 ، 51 ، 54 ، 57 ، 37 ، 60 ، 57 ، 37 ، 60 و 76 و 79 و 82 .
4
 روی Copy  Selection کلیک کنید .
مکانیک جامدات (جامدات)
تقارن 2
1
در پنجره Model  Builder ، در قسمت Component   (comp1)> Solid  Mechanics  (solid) Symmetry  2 را کلیک کنید .
2
در پنجره تنظیمات برای تقارن ، قسمت انتخاب مرز  را پیدا کنید .
3
 روی Paste  Selection کلیک کنید .
4
در کادر محاوره ای Paste  Selection ، 1 4 7 10 13 16 19 23 27 31 35 38 41 44 47 51 54 57 60 63 67 70 73 76 79 82 1 4 76 79 82 را در قسمت انتخاب متن انتخاب کنید.
5
روی OK کلیک کنید .
محدودیت ثابت 1
1
در نوار ابزار Physics ، روی  Boundaries کلیک کنید و Fixed  Constraint را انتخاب کنید .
2
در پنجره تنظیمات برای محدودیت ثابت  ، قسمت انتخاب مرز را پیدا کنید .
3
 روی Paste  Selection کلیک کنید .
4
در کادر محاوره ای Paste  Selection ، 3 37 53 69 86 87 88 89 90 91 92 103 152 153 154 155 156 157 154 159 3 37 53 69 86 87 88 89 90 91 92 103 152 153 154 155 159 157 157 159 را در قسمت انتخاب تایپ کنید.
5
روی OK کلیک کنید .
یک ویژگی بار مرزی را با اغتشاش هارمونیک برای مدل‌سازی یک تحریک توسط موج فشار مشخص کنید.
بار مرزی 1
1
در نوار ابزار Physics ، روی  Boundaries کلیک کنید و Boundary  Load را انتخاب کنید .
2
در پنجره تنظیمات برای بار مرزی  ، قسمت انتخاب مرز را پیدا کنید .
3
 روی Paste  Selection کلیک کنید .
4
در کادر محاوره ای Paste  Selection ، 22 را در قسمت متن Selection تایپ کنید .
5
روی OK کلیک کنید .
6
در پنجره تنظیمات برای بار مرزی  ، بخش Force را پیدا کنید .
7
از لیست نوع بار  ، فشار را انتخاب کنید .
8
در قسمت متن p ، p_max را تایپ کنید .
9
روی Boundary  Load  کلیک راست کرده و Harmonic  Perturbation را انتخاب کنید .
پارامترهای مدار الکتریکی را تنظیم کنید و نحوه اتصال پایانه های دستگاه به مدار خارجی را مشخص کنید.
مدار الکتریکی (دایره)
در پنجره Model  Builder ، در قسمت Component   (comp1) روی Electrical  Circuit  (cir) کلیک کنید .
خارجی I در مقابل U 1 (IvsU1)
1
در نوار ابزار Electrical Circuit ،  External   در مقابل  U را کلیک کنید .
2
در پنجره تنظیمات برای External   در مقابل  U ، بخش Node  Connections را پیدا کنید .
3
در جدول تنظیمات زیر را وارد کنید:
 
برچسب
نام گره ها
n
0
4
بخش External  Device را پیدا کنید . از لیست V ، ولتاژ ترمینال  (es/term1) را انتخاب کنید .
مقاومت 1 (R1)
1
در نوار ابزار مدار الکتریکی ، روی  Resistor کلیک کنید .
2
در پنجره تنظیمات برای مقاومت ، بخش Node  Connections را پیدا کنید .
3
در جدول تنظیمات زیر را وارد کنید:
 
برچسب
نام گره ها
پ
1
n
2
4
قسمت Device  Parameters را پیدا کنید . در قسمت متن R ، R_load را تایپ کنید .
منبع ولتاژ 1 (V1)
1
در نوار ابزار مدار الکتریکی ، روی منبع  ولتاژ  کلیک کنید .
2
در پنجره تنظیمات منبع ولتاژ  ، بخش اتصالات گره را پیدا کنید .
3
در جدول تنظیمات زیر را وارد کنید:
 
برچسب
نام گره ها
پ
2
n
0
4
قسمت Device  Parameters را پیدا کنید . در قسمت متن src ، V_a را تایپ کنید .
مش 1
1
در پنجره Model  Builder ، در قسمت Component   (comp1) روی Mesh  1 کلیک کنید .
2
در پنجره تنظیمات مش ، بخش Sequence  Type را پیدا کنید .
3
از لیست، مش کنترل شده توسط کاربر  را انتخاب کنید .
اندازه
1
در پنجره Model  Builder ، در قسمت Component   (comp1)>Mesh  1 روی Size کلیک کنید .
2
در پنجره تنظیمات برای اندازه ، قسمت اندازه عنصر  را پیدا کنید .
3
از لیست از پیش تعریف شده ، Extra  coarse را انتخاب کنید .
چهار وجهی رایگان 1
در پنجره Model  Builder ، روی Free  Tetrahedral  1 کلیک راست کرده و Build  All را انتخاب کنید .
مراحل مطالعه دامنه فرکانس، Prestressed را تنظیم کنید .
مطالعه 1
1
در پنجره Model  Builder ، روی Study  1 کلیک کنید .
2
در پنجره تنظیمات برای مطالعه ، قسمت تنظیمات مطالعه  را پیدا کنید .
3
تیک Generate  defaults defaults را  پاک کنید .
مرحله 2: اختلال دامنه فرکانس
1
در پنجره Model  Builder ، تحت مطالعه  1 روی مرحله  2:  اختلال دامنه فرکانس  کلیک کنید .
2
درتنظیمات برای اختلال دامنه فرکانس  ، بخش تنظیمات مطالعه را پیدا کنید .
3
از لیست واحد فرکانس  ، مگاهرتز را انتخاب کنید .
4
در قسمت متن فرکانس ها محدوده (1.5،0.2،2.5) را تایپ کنید .
5
در نوار ابزار صفحه اصلی ،  روی محاسبه کلیک کنید .
از نتایج مطالعه 1، جریان ترمینال در مقابل فرکانس را رسم کنید.
نتایج
جریان ترمینال در مقابل فرکانس
1
در نوار ابزار Home ، روی  Add  Plot  Group کلیک کنید و 1D  Plot را انتخاب کنید Group را انتخاب کنید .
2
در پنجره تنظیمات برای گروه طرح 1 بعدی  ، جریان پایانه در مقابل فرکانس را در برچسب تایپ کنید.  تایپ کنید .
3
قسمت Legend را پیدا کنید . از لیست موقعیت ، را انتخاب کنیدپایین  سمت راست را انتخاب کنید .
جهانی 1
1
روی Terminal  Current  vs.  Frequency کلیک راست کرده و Global را انتخاب کنید .
2
در پنجره تنظیمات برای جهانی ، بخش y-Axis  Data را پیدا کنید .
3
در جدول تنظیمات زیر را وارد کنید:
 
اصطلاح
واحد
شرح
en.I0_1
آ
جریان ترمینال
4
در نوار ابزار ترمینال جریان در مقابل فرکانس ، روی  Plot کلیک کنید .
از نتایج مطالعه 1، مشخصات الکترود را رسم کنید.
مشخصات الکترود
1
در نوار ابزار صفحه اصلی ، روی  Add  Plot  Group کلیک کنید و 1D  Plot  Group را انتخاب کنید .
2
در پنجره تنظیمات برای گروه طرح 1 بعدی  ، نمایه الکترود را در قسمت متن برچسب تایپ کنید .
3
قسمت Legend را پیدا کنید . از لیست موقعیت ، سمت چپ بالا  را انتخاب کنید .
نمودار خطی 1
1
روی Electrode  Profile کلیک راست کرده و Line  Graph را انتخاب کنید .
2
فقط لبه های 12، 144، 159 و 207 را انتخاب کنید.
3
در پنجره تنظیمات برای نمودار خط  ، بخش y-Axis Data را پیدا کنید .
4
در قسمت Expression text، z را تایپ کنید .
5
چک باکس Description را انتخاب کنید .
6
قسمت x-Axis  Data را پیدا کنید . از لیست Parameter ، Expression را انتخاب کنید .
7
در قسمت Expression text، x را تایپ کنید .
8
چک باکس Description را انتخاب کنید .
9
قسمت y-Axis  Data را پیدا کنید . تیک Compute  differential را انتخاب کنید .
10
برای گسترش بخش Legends کلیک کنید . تیک Show  legends را انتخاب کنید .
11
در نوار ابزار مشخصات الکترود ، روی  Plot کلیک کنید .
از نتایج مطالعه 1، بزرگی جابجایی را رسم کنید.
بزرگی جابجایی
1
در نوار ابزار صفحه اصلی ، روی  Add  Plot  Group کلیک کنید و 3D  Plot  Group را انتخاب کنید .
2
در پنجره تنظیمات برای گروه طرح سه بعدی  ، مقدار جابجایی را در قسمت نوشتار برچسب تایپ کنید .
3
قسمت Data را پیدا کنید . از لیست مقدار پارامتر  (فرکانس (MHz)) ، 1.7 را انتخاب کنید .
جلد 1
1
روی Displacement  Magnitude کلیک راست کرده و Volume را انتخاب کنید .
2
در پنجره تنظیمات برای حجم ، روی Replace  Expression در گوشه سمت راست بالای بخش Expression کلیک کنید . از منو، Component   (comp1)>Solid  Mechanics>Displacement>solid.disp  –  Displacement  magnitude  –  m را انتخاب کنید .
3
قسمت Expression را پیدا کنید . چک باکس Description را انتخاب کنید .
4
قسمت Coloring  and  Style را پیدا کنید .  روی تغییر  جدول رنگ  کلیک کنید .
5
در کادر محاوره ای Color  Table ، Rainbow>RainbowLight را در درخت انتخاب کنید.
6
روی OK کلیک کنید .
7
در نوار ابزار Displacement Magnitude ، روی  Plot کلیک کنید .
از نتایج مطالعه 1، ضریب یکنواختی جابجایی را ارزیابی کنید.
ضریب یکنواختی جابجایی
1
در نوار ابزار نتایج ، روی  Evaluation  Group کلیک کنید .
2
در پنجره تنظیمات برای گروه ارزیابی  ، Displacement Uniformity Factor را در قسمت نوشتار Label تایپ کنید .
ارزیابی جهانی 1
1
روی Displacement  Uniformity  Factor کلیک راست کرده و Global  Evaluation را انتخاب کنید .
2
در پنجره تنظیمات برای ارزیابی جهانی  ، بخش عبارات را پیدا کنید .
3
در جدول تنظیمات زیر را وارد کنید:
 
اصطلاح
واحد
شرح
aveop1(w)/minop1(w)
1
ضریب یکنواختی جابجایی
4
در قسمت متن توضیحات ، ضریب یکنواختی جابجایی را تایپ کنید .
5
در نوار ابزار Displacement Uniformity Factor ، روی  Evaluate کلیک کنید .
یک فرکانس ویژه تنظیم کنید برای جستجوی فرکانس ویژه در حدود 7.5 مگاهرتز
اضافه کردن مطالعه
1
در نوار ابزار Home ، روی  Add  Study کلیک کنید تا پنجره Add  Study باز شود .
2
به پنجره Add  Study بروید .
3
زیربخش مطالعات را پیدا کنید . در درخت انتخاب  مطالعه ، Preset  Studies  for  Selected  Multiphysics>Eigenfrequency را انتخاب کنید .
4
روی Add  Study در نوار ابزار پنجره کلیک کنید .
مطالعه 2
مرحله 1: فرکانس ویژه
1
در پنجره تنظیمات برای Eigenfrequency ، قسمت Study  Settings را پیدا کنید .
2
کادر بررسی تعداد دلخواه  فرکانس ویژه را انتخاب کنید . در فیلد متن مرتبط، 1 را تایپ کنید .
3
زیربخش منطقه جستجو  را پیدا کنید . از لیست واحد ، مگاهرتز را انتخاب کنید .
4
در قسمت Search  for  eigenfrequencies  around text، 7.5 را تایپ کنید .
5
در پنجره Model  Builder ، روی Study  2 کلیک کنید .
6
در پنجره تنظیمات برای مطالعه ، قسمت تنظیمات مطالعه  را پیدا کنید .
7
تیک Generate  defaults defaults را  پاک کنید .
8
در نوار ابزار صفحه اصلی ،  روی محاسبه کلیک کنید .
از نتایج مطالعه 2، حالت ویژه را رسم کنید.
نتایج
حالت اختصاصی
1
در نوار ابزار صفحه اصلی ، روی  Add  Plot  Group کلیک کنید و 3D  Plot  Group را انتخاب کنید .
2
در پنجره تنظیمات برای گروه طرح سه بعدی  ، Eigenmode را در قسمت نوشتار Label تایپ کنید .
3
قسمت Data را پیدا کنید . از فهرست مجموعه داده ، مطالعه  2/راه حل   (sol3) را انتخاب کنید .
4
از لیست فرکانس ویژه  (MHz) ، 7.4984 را انتخاب کنید .
جلد 1
1
روی Eigenmode کلیک راست کرده و Volume را انتخاب کنید .
2
در پنجره تنظیمات برای حجم ، روی Replace  Expression در گوشه سمت راست بالای بخش Expression کلیک کنید . از منو، Component   (comp1)>Solid  Mechanics>Displacement>solid.disp  –  Displacement  magnitude  –  m را انتخاب کنید .
3
قسمت Expression را پیدا کنید . چک باکس Description را انتخاب کنید .
4
قسمت Coloring  and  Style را پیدا کنید .  روی تغییر  جدول رنگ  کلیک کنید .
5
در کادر محاوره ای Color  Table ، Rainbow>RainbowLight را در درخت انتخاب کنید.
6
روی OK کلیک کنید .
7
در نوار ابزار Eigenmode ، روی  Plot کلیک کنید .