لرزش شفت به دلیل جغجغه دنده و ناهماهنگی بلبرینگ
معرفی
در گیربکس، ارتعاشات ناشی از لرزش چرخ دنده و ناهماهنگی یاتاقان ها از منابع شناخته شده سر و صدا هستند. در این مثال دو شفت که از طریق یک جفت چرخ دنده به هم متصل شده اند در نظر گرفته شده است. شفت ها در انتهای خود بر روی بلبرینگ های غلتکی پشتیبانی می شوند. در ابتدا شفت محرک تخلیه می شود و شفت محرک با سرعت متغیری می چرخد. به دلیل واکنش متقابل، مش بندی متناوب دندان ها باعث ایجاد لرزش در شفت ها می شود. پس از مدتی، یک گشتاور مقاوم به محور محرک اعمال میشود و باعث میشود شبکه دندانی صاف شود. به منظور تجزیه و تحلیل اثر ناهماهنگی بلبرینگ بر ارتعاشات روتور، یک تحلیل وابسته به زمان برای دو مورد انجام شده است. در حالت اول، تمام یاتاقان ها با شفت ها در یک راستا قرار دارند و در حالت دوم، یکی از یاتاقان ها (شماره 2) دارای ناهماهنگی کوچک زاویه ای است.
توجه: این مدل به ماژول Multibody Dynamics و Module Rotordynamics نیاز دارد.
تعریف مدل
این مدل از دو شفت تشکیل شده است که از طریق یک جفت چرخ دنده به هم متصل شده اند. چرخ دنده خار شفت اول (درایور) چرخش را به چرخ دنده بزرگتر شفت دوم (محرک) منتقل می کند. هر دو شفت در انتهای خود با استفاده از رولبرینگ پشتیبانی می شوند.
هندسه در شکل 1 در زیر نشان داده شده است.

شکل 1: هندسه سیستم.
شفت ها
شفت ها از فولاد سازه ای با قطر و طول به ترتیب 20  میلی متر و 300  میلی متر ساخته شده اند. میانگین سرعت زاویه ای شفت محرک ω 0  =  20  راد بر ثانیه در نظر گرفته می شود. در مورد این سرعت متوسط به صورت زیر نوسان می کند:

بلبرینگ
هر محور توسط بلبرینگ های شیار عمیق در انتهای آن پشتیبانی می شود. یاتاقان ها دارای ابعاد و خواص مواد مشابه هستند. خواص در جدول 1 آورده شده است .
| ویژگی | ارزش | 
| تعداد توپ ها | 20 | 
| قطر توپ | 1.33 میلی متر | 
| قطر گام | 21.33 میلی متر | 
| شعاع کانتور، نژاد درونی | 0.7049 میلی متر | 
| شعاع کانتور، نژاد بیرونی | 0.7049 میلی متر | 
| مدول یانگ | 200 گیگا پاسکال | 
| نسبت پواسون | 0.3 | 
چرخ دنده ها
خواص چرخ دنده های خار در جدول 2 آورده شده است .
| ویژگی | ارزش | 
| تعداد دندان ها (چرخ) | 20 | 
| قطر گام (چرخ) | 100 میلی متر | 
| تعداد دندان ها (پینیون) | 30 | 
| قطر گام (پینیون) | 150 میلی متر | 
| زاویه فشار | 25 درجه | 
| نسبت دنده | 1.5 | 
| عکس العمل | 1 میلی متر | 
چگالی چرخ دنده ها که برای محاسبه خواص اینرسی استفاده می شود، برابر با چگالی شفت است.
محدودیت ها و بارها
| • | چرخش محوری در یک انتهای شفت محرک تجویز می شود. | 
| • | گشتاور بار مقاوم 100  نیوتن متر در انتهای مخالف شفت محرک اعمال می شود. گشتاور فقط پس از تکمیل چرخش 45 درجه ای شفت راننده فعال می شود. | 
نتایج و بحث
شکل 2تغییرات تنش محوری در شفت ها را نشان می دهد. علاوه بر گشتاور، عمدتاً دو نیرو بر روی شفت ها اعمال می شود. یکی، نیروی توری چرخ دنده ای که در جهت زاویه فشار عمل می کند که محورها را در جهت مخالف خم می کند و دیگر نیروهای واکنشی از یاتاقان. نیروهای واکنش در یاتاقان عمدتاً شفت را در برابر نیروی مش دنده پشتیبانی می کنند. علاوه بر این، به دلیل ناهماهنگی زاویه ای در یکی از یاتاقان ها، یک لحظه واکنش اضافی نیز برای غلبه بر ناهماهنگی در آن یاتاقان وجود دارد. تنش محوری خالص در شفت ترکیبی از خمش شفت حول دو محور خواهد بود که یکی عمود بر جهت زاویه فشار و دیگری موازی با محور ناهماهنگی است. از توزیع تنش در شفت ها مشخص می شود که خمش در شفت به دلیل نیروی توری چرخ دنده در مقایسه با خمش به دلیل ناهماهنگی یاتاقان ها بزرگتر است. جهت نیروی باربری روی شفت ها تأیید می کند که نیروهای مش بندی چرخ دنده به طور مستقیم در جهت زاویه فشار به یاتاقان ها منتقل می شود.

شکل 2: تنش ها و نیروهای باربری.
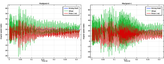
شکل 3 مقایسه سرعت های زاویه ای چرخ و پینیون را برای موارد یک یاتاقان تراز و ناهمتراز نشان می دهد. ارتعاش پیچشی کمی بالاتر برای مورد یاتاقان نامناسب وجود دارد. ارتعاشات لرزان در مورد نامناسب نیز برای مدت طولانیتری باقی میمانند.

شکل 3: سرعت زاویه ای شفت ها برای یاتاقان های تراز شده (چپ) و برای یاتاقان های نامناسب (راست).
ارتعاش محوری در چرخ، پس از فروکش کردن جغجغه، در شکل 4 نشان داده شده است . در مورد یاتاقان نامناسب، ارتعاشات محوری (شتاب) عمدتاً به دلیل ناهماهنگی در یاتاقان است. همانطور که در شکل 4 مشاهده می شود ، شتاب ها در مورد یک یاتاقان نامناسب به طور قابل توجهی بیشتر از یاتاقان های تراز است.
به دلیل ناهماهنگی زاویه ای در یاتاقان ها، نیروی منتقل شده از طریق غلتک به نژادهای مربوطه دارای یک جزء محوری است. این دلیل ارتعاش محوری قابل توجه شفت ها با بلبرینگ نامناسب است.

شکل 4: شتاب محوری در چرخ، برای یاتاقان های تراز شده (چپ)، و برای یاتاقان های نامناسب (راست).
طیف فرکانس برای ارتعاشات محوری در شکل 5 نشان داده شده است . در مقایسه با یاتاقانهای تراز، مورد یاتاقانهای نامناسب مشارکت طیف وسیعتری از فرکانسها را نشان میدهد. دامنه ارتعاش در فرکانسهای بالاتر در موارد نامناسب به طور قابلتوجهی بیشتر است.

شکل 5: طیف فرکانس شتاب محوری در چرخ، برای یاتاقان تراز (چپ) و نامناسب (راست).
شکل 6 مؤلفه های نیروی باربری را برای یاتاقان 2 نشان می دهد. موردی که یاتاقان در آن تراز است در سمت چپ و موردی که در آن تراز نادرست است در سمت راست نشان داده شده است. در مواردی که تراز نادرست هستند، تغییرات نیرو کمی بزرگتر است و دارای فرکانس های بالاتر است.

شکل 6: نیروی وارد بر یاتاقان 2، برای یاتاقان تراز (چپ) و نامناسب (راست).
شکل 7 گشتاورهای در یاتاقان 2 را مقایسه می کند. نتیجه برای یاتاقان های تراز شده در سمت چپ و برای یاتاقان های نامرتب در سمت راست ارائه شده است. می توان به وضوح یک لحظه بزرگ را در مورد محور x در حالت نامناسب مشاهده کرد. ممان حول محور z نیز در حالت نامرتب دارای تغییرات دامنه کمی بالاتر است.

شکل 7: لحظات در یاتاقان 2، برای یاتاقان تراز (چپ) و نامناسب (راست).
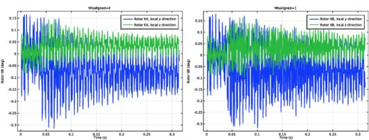
مقایسه کج شدن روتور در یاتاقان 2 در شکل 8 با نتایج برای مورد تراز شده در سمت چپ و برای مورد نامرتب در سمت راست نشان داده شده است. از آنجایی که ناهماهنگی بسیار کوچک است، میانگین عنوان و دامنه در هر دو مورد تفاوت قابل توجهی ندارند. با این حال، در حالت نامناسب، تغییر فرکانس بالایی در کج شدن وجود دارد.

شکل 8: چرخاندن روتور در یاتاقان 2، برای یاتاقان تراز (چپ) و نامناسب (راست).
نیروی تماس مش دنده برای موارد یاتاقان های تراز و ناهمتراز در شکل 9 نشان داده شده است . در طول ارتعاش جغجغه، تماس متناوب در مش بندی چرخ دنده به وضوح قابل مشاهده است. تغییر نیروی تماس فقط تحت تأثیر ناهماهنگی در یاتاقان است، با این حال، پس از بارگذاری شفت، در مواردی که یاتاقان نامناسب باشد، صدای تق تق برای مدت طولانی تری ادامه می یابد.

شکل 9: نیروهای تماس توری چرخ دنده، برای یاتاقان های تراز شده (چپ)، و برای یاتاقان های نامناسب (راست).
مسیر کتابخانه برنامه: Multibody_Dynamics_Module/Tutorials,_Transmission /gear_rattle_with_bearing_misalignment
دستورالعمل مدلسازی
از منوی File ، New را انتخاب کنید .
جدید
در پنجره جدید ، روی  Model  Wizard کلیک کنید .
 Model  Wizard کلیک کنید .
 Model  Wizard کلیک کنید .
 Model  Wizard کلیک کنید .مدل جادوگر
| 1 | در پنجره Model  Wizard ، روی   3D کلیک کنید . | 
| 2 | در درخت Select  Physics ، Structural  Mechanics>Multibody  Dynamics  (mbd) را انتخاب کنید . | 
| 3 | روی افزودن کلیک کنید . | 
| 4 |  روی مطالعه کلیک کنید . | 
| 5 | در درخت انتخاب  مطالعه ، General  Studies>Time  Dependent را انتخاب کنید . | 
| 6 |  روی Done کلیک کنید . | 
لیستی از پارامترها برای سرعت و گشتاور بارگذاری ایجاد کنید.
تعاریف جهانی
پارامترها: عمومی
| 1 | در پنجره Model  Builder ، در قسمت Global  Definitions روی Parameters  1 کلیک کنید . | 
| 2 | در پنجره تنظیمات برای پارامترها ، پارامترها: عمومی را در قسمت متن برچسب تایپ کنید . | 
| 3 | قسمت Parameters را پیدا کنید . در جدول تنظیمات زیر را وارد کنید: | 
| نام | اصطلاح | ارزش | شرح | 
| امگا 0 | 20[rad/s] | 20 راد در ثانیه | میانگین سرعت زاویه ای | 
| T0 | 100[N*m] | 100 نیوتن متر | گشتاور بارگذاری | 
| تی | 2*pi/omega0 | 0.31416 s | بازه زمانی | 
| نامناسب است | 0 | 0 | نادرست است | 
لیستی از پارامترها برای چرخ دنده ها ایجاد کنید.
پارامترها: چرخ دنده ها
| 1 | در نوار ابزار Home ، روی   پارامترها کلیک کنید و Add>Parameters را انتخاب کنید . | 
| 2 | در پنجره تنظیمات برای پارامترها ، پارامترها: چرخ دنده ها را در قسمت متن برچسب تایپ کنید . | 
| 3 | قسمت Parameters را پیدا کنید . در جدول تنظیمات زیر را وارد کنید: | 
| نام | اصطلاح | ارزش | شرح | 
| N1 | 20 | 20 | تعداد دندانه روی دنده 1 | 
| N2 | 30 | 30 | تعداد دندانه روی دنده 2 | 
| dp1 | 100[mm] | 0.1 متر | قطر گام چرخ دنده 1 | 
| dp2 | 150[mm] | 0.15 متر | قطر گام چرخ دنده 2 | 
| گرم | N2/N1 | 1.5 | نسبت دنده | 
| rc | 0.5*(dp1+dp2) | 0.125 متر | فاصله مرکز تا مرکز | 
| bl | 1e-3[m] | 0.001 متر | عکس العمل | 
لیستی از پارامترها برای یاتاقان ها ایجاد کنید.
پارامترها: بلبرینگ غلتکی
| 1 | در نوار ابزار Home ، روی   پارامترها کلیک کنید و Add>Parameters را انتخاب کنید . | 
| 2 | در پنجره تنظیمات برای پارامترها ، پارامترها: یاتاقان غلتکی را در قسمت متن برچسب تایپ کنید . | 
| 3 | قسمت Parameters را پیدا کنید . در جدول تنظیمات زیر را وارد کنید: | 
| نام | اصطلاح | ارزش | شرح | 
| دسی بی | 1.33[mm] | 0.00133 متر | قطر توپ | 
| dp | 21.33 [mm] | 0.02133 متر | قطر گام | 
| رین | 0.53*db | 7.049E-4 متر | شعاع مسابقه داخلی | 
| شکست | 0.53*db | 7.049E-4 متر | شعاع نژاد بیرونی | 
یک متغیر برای سرعت زاویه ای متغیر تعریف کنید.
تعاریف
متغیرهای 1
| 1 | در پنجره Model  Builder ، در قسمت Component  1  (comp1) روی Definitions کلیک راست کرده و Variables را انتخاب کنید . | 
| 2 | در پنجره تنظیمات برای متغیرها ، بخش متغیرها را پیدا کنید . | 
| 3 | در جدول تنظیمات زیر را وارد کنید: | 
| نام | اصطلاح | واحد | شرح | 
| امگا | omega0*(1+0.05*sin(10*omega0*t)) | راد/ثانیه | سرعت زاویه ای | 
با ایجاد هندسه سیستم چرخ دنده با استفاده از هندسه کتابخانه های قسمت شروع کنید.
کتابخانه های بخش
| 1 | در نوار ابزار Home ، روی   Windows کلیک کنید و Part  Libraries را انتخاب کنید . | 
| 2 | در پنجره Model  Builder ، در قسمت Component  1  (comp1) روی Geometry  1 کلیک کنید . | 
| 3 | در پنجره Part  Libraries ، Multibody  Dynamics  Module>3D>External  Gears>spur_gear را در درخت انتخاب کنید . | 
| 4 |  روی افزودن  به  هندسه کلیک کنید . | 
هندسه 1
Spur Gear 1 (pi1)
| 1 | در پنجره Model  Builder ، در قسمت Component  1  (comp1)>Geometry  1 روی Spur  Gear  1  (pi1) کلیک کنید . | 
| 2 | در پنجره تنظیمات برای نمونه قسمت  ، قسمت پارامترهای ورودی را پیدا کنید . | 
| 3 | در جدول تنظیمات زیر را وارد کنید: | 
| نام | اصطلاح | ارزش | شرح | 
| n | N1 | 20 | تعداد دندان ها | 
| dp | dp1 | 0.1 متر | قطر گام | 
| lsr | 3 | 3 | نسبت طول شفت به قطر گام (تنظیم 0 برای بدون شفت) | 
| یکی | 1 | 1 | محور چرخ دنده، جزء y | 
| کپی ها | 0 | 0 | محور دنده، جزء z | 
| 4 |  روی Build  Selected کلیک کنید . | 
Spur Gear 2 (pi2)
| 1 | در نوار ابزار Geometry ، روی   Parts کلیک کنید و Spur  Gear را انتخاب کنید . | 
| 2 | در پنجره تنظیمات برای نمونه قسمت  ، قسمت پارامترهای ورودی را پیدا کنید . | 
| 3 | در جدول تنظیمات زیر را وارد کنید: | 
| نام | اصطلاح | ارزش | شرح | 
| n | N2 | 30 | تعداد دندان ها | 
| dp | dp2 | 0.15 متر | قطر گام | 
| dr | 0.2 / گرم | 0.13333 | نسبت قطر سوراخ به قطر گام (برای بدون سوراخ 0 تنظیم کنید) | 
| wgr | 0.2 / گرم | 0.13333 | نسبت عرض چرخ دنده به قطر گام | 
| lsr | 3/گرم | 2 | نسبت طول شفت به قطر گام (تنظیم 0 برای بدون شفت) | 
| xc | rc | 0.125 متر | مرکز دنده، X-Coordinate | 
| یکی | 1 | 1 | محور چرخ دنده، جزء y | 
| کپی ها | 0 | 0 | محور دنده، جزء z | 
| هفتم | 360 [درجه]/2/N2 | 6 درجه | زاویه تراز مش | 
| 4 |  روی Build  Selected کلیک کنید . | 
صفحات کار را ایجاد کنید تا شفت ها را در محل های بلبرینگ تقسیم کنید.
صفحه کار 1 (wp1)
| 1 | در نوار ابزار هندسه ، روی صفحه   کار  کلیک کنید . | 
| 2 | در پنجره تنظیمات برای صفحه کار  ، قسمت تعریف هواپیما را پیدا کنید . | 
| 3 | از لیست Plane ، zx-plane را انتخاب کنید . | 
| 4 | در قسمت متن مختصات y ، -0.13 را تایپ کنید . | 
| 5 |  روی Build  Selected کلیک کنید . | 
صفحه کار 2 (wp2)
| 1 | روی Work  Plane  1  (wp1) کلیک راست کرده و Duplicate را انتخاب کنید . | 
| 2 | در پنجره تنظیمات برای صفحه کار  ، قسمت تعریف هواپیما را پیدا کنید . | 
| 3 | در قسمت متن مختصات y ، 0.13 را تایپ کنید . | 
صفحه کار 3 (wp3)
| 1 | روی Work  Plane  2  (wp2) کلیک راست کرده و Duplicate را انتخاب کنید . | 
| 2 | در پنجره تنظیمات برای صفحه کار  ، قسمت تعریف هواپیما را پیدا کنید . | 
| 3 | در قسمت متن مختصات y ، -0.11 را تایپ کنید . | 
صفحه کار 4 (wp4)
| 1 | روی Work  Plane  3  (wp3) کلیک راست کرده و Duplicate را انتخاب کنید . | 
| 2 | در پنجره تنظیمات برای صفحه کار  ، قسمت تعریف هواپیما را پیدا کنید . | 
| 3 | در قسمت متن مختصات y ، 0.11 را تایپ کنید . | 
اشیاء پارتیشن 1 (par1)
| 1 | در نوار ابزار Geometry ، روی   Booleans  and  Partitions کلیک کنید و Partition  Objects را انتخاب کنید . | 
| 2 | در پنجره Graphics کلیک کنید و سپس Ctrl+A را فشار دهید تا هر دو شی انتخاب شوند. | 
| 3 | در پنجره تنظیمات برای اشیاء پارتیشن  ، قسمت اشیاء پارتیشن را پیدا کنید . | 
| 4 | از فهرست پارتیشن  با ، صفحه کار  را انتخاب کنید . | 
| 5 | از لیست Work  Plane ، Work  Plane  1  (wp1) را انتخاب کنید . | 
پارتیشن اشیاء 2 (par2)
| 1 | روی Partition  Objects  1  (par1) راست کلیک کرده و Duplicate را انتخاب کنید . | 
| 2 | فقط شی pi1 را انتخاب کنید. | 
| 3 | در پنجره تنظیمات برای اشیاء پارتیشن  ، قسمت اشیاء پارتیشن را پیدا کنید . | 
| 4 | زیربخش Objects  to  Partition را پیدا کنید . برای انتخاب دکمه ضامن   فعال کردن  انتخاب کلیک کنید . | 
| 5 | در پنجره Graphics کلیک کنید و سپس Ctrl+A را فشار دهید تا هر دو شی انتخاب شوند. | 
| 6 | از لیست Work  Plane ، Work  Plane  2  (wp2) را انتخاب کنید . | 
| 7 |  روی Build  Selected کلیک کنید . | 
پارتیشن اشیاء 3 (پار3)
| 1 | روی Partition  Objects  2  (par2) راست کلیک کرده و Duplicate را انتخاب کنید . | 
| 2 | در پنجره Graphics کلیک کنید و سپس Ctrl+A را فشار دهید تا هر دو شی انتخاب شوند. | 
| 3 | در پنجره تنظیمات برای اشیاء پارتیشن  ، قسمت اشیاء پارتیشن را پیدا کنید . | 
| 4 | از لیست Work  Plane ، Work  Plane  3  (wp3) را انتخاب کنید . | 
| 5 |  روی Build  Selected کلیک کنید . | 
اشیاء پارتیشن 4 (par4)
| 1 | روی Partition  Objects  3  (par3) کلیک راست کرده و Duplicate را انتخاب کنید . | 
| 2 | در پنجره تنظیمات برای اشیاء پارتیشن  ، قسمت اشیاء پارتیشن را پیدا کنید . | 
| 3 | از لیست Work  Plane ، Work  Plane  4  (wp4) را انتخاب کنید . | 
| 4 | در پنجره Graphics کلیک کنید و سپس Ctrl+A را فشار دهید تا هر دو شی انتخاب شوند. | 
| 5 |  روی Build  Selected کلیک کنید . | 
مواد را اضافه کنید
| 1 | در نوار ابزار Home ، روی   Add  Material کلیک کنید تا پنجره Add  Material باز شود . | 
| 2 | به پنجره Add  Material بروید . | 
| 3 | در درخت، Built-in>Structural  steel را انتخاب کنید . | 
| 4 | روی Add  to  Component در نوار ابزار پنجره کلیک کنید . | 
| 5 | در نوار ابزار Home ، روی   Add  Material کلیک کنید تا پنجره Add  Material بسته شود . | 
برای تعیین سرعت زاویه ای شفت محرک، یک مفصل لولا ایجاد کنید.
MULTIBODY DYNAMICS (MBD)
پیوست 1
| 1 | در پنجره Model  Builder ، در قسمت Component  1  (comp1) روی Multibody  Dynamics  (mbd) راست کلیک کرده و Attachment را انتخاب کنید . | 
| 2 | فقط Boundary 86 را انتخاب کنید. | 
مفصل لولا 1
| 1 | در نوار ابزار Physics ، روی   Global کلیک کنید و Hinge  Joint را انتخاب کنید . | 
| 2 | در پنجره تنظیمات برای مفصل لولا  ، قسمت انتخاب پیوست را پیدا کنید . | 
| 3 | از لیست منبع ، ثابت را انتخاب کنید . | 
| 4 | از لیست مقصد ، پیوست  1 را انتخاب کنید . | 
| 5 | قسمت Axis  of  Joint را پیدا کنید . بردار e 0 را به صورت مشخص کنید | 
| 0 | ایکس | 
| 1 | y | 
| 0 | z | 
| 6 | قسمت Joint  Elasticity را پیدا کنید . از لیست، اتصال الاستیک  را انتخاب کنید . | 
شما اتصال الاستیک ایجاد می کنید تا حرکت جانبی و کج کننده شفت را امکان پذیر کند. بعداً با افزودن تکیه گاه رولبرینگ به شفت ها، این حرکت را محدود خواهید کرد .
حرکت تجویز شده 1
| 1 | در نوار ابزار Physics ، روی   Attributes کلیک کنید و Prescribed  Motion را انتخاب کنید . | 
| 2 | در پنجره تنظیمات برای حرکت تجویز شده  ، قسمت حرکت چرخشی تجویز شده را پیدا کنید . | 
| 3 | از لیست حرکت تجویز شده  ، سرعت زاویه ای را انتخاب کنید . | 
| 4 | در قسمت متن ω p ، Omega را تایپ کنید . | 
رولبرینگ شعاعی 1
| 1 | در نوار ابزار Physics ، روی   Boundaries کلیک کنید و Radial  Roller  Bearing را انتخاب کنید . | 
| 2 | فقط مرزهای 87، 88، 118 و 119 را انتخاب کنید. | 
| 3 | در پنجره تنظیمات برای یاتاقان غلتکی شعاعی  ، بخش جهت گیری یاتاقان را پیدا کنید . | 
| 4 | از لیست Bearing  axis ، y-axis را انتخاب کنید . | 
| 5 | از فهرست جهت محلی  y  ، User defined را انتخاب کنید . | 
| 6 | بردار جهت گیری را که بردار جهت محلی y را به صورت تعریف می کند، مشخص کنید | 
| 1 | ایکس | 
| 0 | y | 
| 0 | z | 
| 7 | قسمت خصوصیات هندسی  را پیدا کنید . در قسمت متن d b ، db را تایپ کنید . | 
| 8 | در قسمت متن d p ، dp را تایپ کنید . | 
| 9 | در قسمت r در متن، rin را تایپ کنید . | 
| 10 | در قسمت متن r out ، rout را تایپ کنید . | 
رولبرینگ شعاعی 2
| 1 | روی Radial  Roller  Bearing  1 کلیک راست کرده و Duplicate را انتخاب کنید . | 
| 2 | در پنجره تنظیمات برای یاتاقان غلتکی شعاعی  ، قسمت انتخاب مرز را پیدا کنید . | 
| 3 |  روی Clear  Selection کلیک کنید . | 
| 4 | فقط مرزهای 97، 98، 134 و 135 را انتخاب کنید. | 
رولبرینگ شعاعی 3
| 1 | روی Radial  Roller  Bearing  2 کلیک راست کرده و Duplicate را انتخاب کنید . | 
| 2 | در پنجره تنظیمات برای یاتاقان غلتکی شعاعی  ، قسمت انتخاب مرز را پیدا کنید . | 
| 3 |  روی Clear  Selection کلیک کنید . | 
| 4 | فقط مرزهای 343، 344، 378 و 385 را انتخاب کنید. | 
رولبرینگ شعاعی 4
| 1 | روی Radial  Roller  Bearing  3 کلیک راست کرده و Duplicate را انتخاب کنید . | 
| 2 | در پنجره تنظیمات برای یاتاقان غلتکی شعاعی  ، قسمت انتخاب مرز را پیدا کنید . | 
| 3 |  روی Clear  Selection کلیک کنید . | 
| 4 | فقط مرزهای 353، 354، 382 و 389 را انتخاب کنید. | 
انحراف زاویه ای را در یاتاقان واقع در مقابل انتهای تعیین شده شفت راننده اضافه کنید. از پارامتر isMisaligned برای فعال یا غیرفعال کردن ناهماهنگی در یاتاقان استفاده کنید.
رولبرینگ شعاعی 2
در پنجره Model  Builder ، روی Radial  Roller  Bearing  2 کلیک کنید .
ناهماهنگی 1
| 1 | در نوار ابزار Physics ، روی   Attributes کلیک کنید و Misalignment را انتخاب کنید . | 
| 2 | در پنجره تنظیمات برای Misalignment ، قسمت Angular  Misalignment را پیدا کنید . | 
| 3 | در قسمت متن θ 0 y ، 0.1[deg]*isMisaligned را تایپ کنید . | 
Spur Gear 1
| 1 | در نوار ابزار Physics ، روی   Domains کلیک کنید و Spur  Gear را انتخاب کنید . | 
| 2 | فقط دامنه 1 را انتخاب کنید. | 
| 3 | در پنجره تنظیمات Spur  Gear ، قسمت Gear  Properties را پیدا کنید . | 
| 4 | در قسمت متن n ، N1 را تایپ کنید . | 
| 5 | در قسمت متن d p ، dp1 را تایپ کنید . | 
| 6 | در قسمت متن α ، 25[deg] را تایپ کنید . | 
| 7 | قسمت Gear  Axis را پیدا کنید . بردار e g را به عنوان مشخص کنید | 
| 0 | ایکس | 
| 1 | y | 
| 0 | z | 
| 8 | قسمت مرکز  چرخش  را پیدا کنید . از لیست، User  defined را انتخاب کنید . | 
Spur Gear 2
| 1 | روی Spur  Gear  1 کلیک راست کرده و Duplicate را انتخاب کنید . | 
| 2 | در پنجره تنظیمات برای Spur  Gear ، بخش انتخاب دامنه  را پیدا کنید . | 
| 3 |  روی Clear  Selection کلیک کنید . | 
| 4 | فقط دامنه 7 را انتخاب کنید. | 
| 5 | قسمت Gear  Properties را پیدا کنید . در قسمت متن n ، N2 را تایپ کنید . | 
| 6 | در قسمت متن d p ، dp2 را تایپ کنید . | 
| 7 | قسمت مرکز  چرخش  را پیدا کنید . بردار X c را به صورت مشخص کنید | 
| rc | ایکس | 
| 0 | y | 
| 0 | z | 
جفت دنده 1
| 1 | در نوار ابزار Physics ، روی   Global کلیک کنید و Gear  Pair را انتخاب کنید . | 
| 2 | در پنجره تنظیمات برای Gear  Pair ، بخش Gear  Selection را پیدا کنید . | 
| 3 | از لیست چرخ ، Spur  Gear  1 را انتخاب کنید . | 
| 4 | از لیست Pinion ، Spur  Gear  2 را انتخاب کنید . | 
| 5 | قسمت Gear  Pair  Properties را پیدا کنید . چک باکس Include  backlash را انتخاب کنید . | 
| 6 | بخش محاسبه نیروی تماس  را پیدا کنید . از لیست، محاسبه شده با استفاده از روش مجازات را انتخاب کنید . | 
| 7 | در قسمت متن p c ، 1e8 را تایپ کنید . | 
عکس العمل 1
| 1 | در پنجره Model  Builder ، روی Backlash  1 کلیک کنید . | 
| 2 | در پنجره تنظیمات برای Backlash ، قسمت Backlash را پیدا کنید . | 
| 3 | در قسمت متن b l ، bl را تایپ کنید . | 
ضریب پنالتی را 200 برابر افزایش دهید تا خطا در عکس العمل کاهش یابد.
| 4 | در قسمت متن p b ، ((1[1/ms])^2)*mbd.grp1.Ie*200 را تایپ کنید . | 
اتصال سفت و سخت 1
| 1 | در نوار ابزار Physics ، روی   Boundaries کلیک کنید و Rigid  Connector را انتخاب کنید . | 
| 2 | فقط Boundary 359 را انتخاب کنید. | 
یک گشتاور بارگذاری روی شفت محرک اضافه کنید. گشتاور را فقط پس از اتمام چرخش 45 درجه ای شفت راننده فعال کنید.
لحظه کاربردی 1
| 1 | در نوار ابزار Physics ، روی   Attributes کلیک کنید و Applied  Moment را انتخاب کنید . | 
| 2 | در پنجره تنظیمات برای Applied  Moment ، بخش Applied  Moment را پیدا کنید . | 
| 3 | بردار M را به صورت مشخص کنید | 
| 0 | ایکس | 
| T0*(t>T/8) | y | 
| 0 | z | 
برای شفت ها از توری جارو استفاده کنید.
مش 1
مثلثی رایگان 1
| 1 | در نوار ابزار Mesh ، روی   Boundary کلیک کنید و Free  Triangular را انتخاب کنید . | 
| 2 | فقط مرزهای 86 و 342 را انتخاب کنید. | 
سایز 1
| 1 | روی Free  Triangular  1 کلیک راست کرده و Size را انتخاب کنید . | 
| 2 | در پنجره تنظیمات برای اندازه ، قسمت اندازه عنصر  را پیدا کنید . | 
| 3 | از لیست از پیش تعریف شده ، Extra  fine را انتخاب کنید . | 
جارو 1
| 1 | در نوار ابزار Mesh ، روی   Swept کلیک کنید . | 
| 2 | در پنجره تنظیمات برای Swept ، بخش انتخاب دامنه  را پیدا کنید . | 
| 3 | از لیست سطح نهاد هندسی  ، دامنه را انتخاب کنید . | 
| 4 | فقط دامنه های 2-6 و 8-12 را انتخاب کنید. | 
چهار وجهی رایگان 1
| 1 | در نوار ابزار Mesh ، روی   Free  Tetrahedral کلیک کنید . | 
| 2 | در پنجره تنظیمات برای Free  Tetrahedral ، روی   Build  All کلیک کنید . | 
مطالعه 1
مرحله 1: وابسته به زمان
در ابتدا از یک گام زمانی کوچک برای حل ارتعاش جغجغه استفاده کنید.
| 1 | در پنجره Model  Builder ، در بخش مطالعه  1 ، روی Step  1:  Time  Dependent کلیک کنید . | 
| 2 | در پنجره تنظیمات مربوط به زمان  وابسته ، قسمت تنظیمات مطالعه  را پیدا کنید . | 
| 3 | در قسمت متن زمان خروجی  ، محدوده (0,T/20000,T/4) محدوده (T/4+T/10000,T/10000,T) را تایپ کنید . | 
| 4 |  روی دکمه Show  More  Options در نوار ابزار Model Builder کلیک کنید . | 
| 5 | در کادر محاورهای Show  More  Options ، Study>Batch  and  Cluster را در درخت انتخاب کنید. | 
| 6 | در درخت، کادر بررسی گره Study>Batch  and  Cluster را انتخاب کنید . | 
| 7 | روی OK کلیک کنید . | 
برای حل دو مورد، یک جارو دستهای اضافه کنید: اول اینکه همه یاتاقانها تراز هستند و دوم اینکه یکی از یاتاقانها ناهمتراز هستند.
جارو دسته ای
| 1 | در نوار ابزار مطالعه ، روی   دسته کلیک کنید و جابجایی دسته ای  را انتخاب کنید . | 
| 2 | در پنجره تنظیمات برای جابجایی دسته ای  ، بخش خروجی هنگام حل را پیدا کنید . | 
| 3 | کادر بررسی جدول پروب انباشته را  پاک کنید . | 
| 4 | قسمت تنظیمات دسته  را پیدا کنید . زیربخش قبل از جارو کردن را پیدا کنید . تیک Clear_meshes را پاک کنید . | 
| 5 | تیک گزینه Clear  solutions را پاک کنید . | 
| 6 | تیک گزینه Synchronize  solutions را انتخاب کنید . | 
| 7 | بخش تنظیمات پیشرفته  را پیدا کنید . در قسمت متنی Number of simultaneous jobs ، 2 را تایپ کنید . | 
| 8 | بخش تنظیمات مطالعه  را پیدا کنید . روی افزودن کلیک کنید .  | 
| 9 | در جدول تنظیمات زیر را وارد کنید: | 
| نام پارامتر | لیست مقادیر پارامتر | واحد پارامتر | 
| isMisaligned (مناسب است) | 0 1 | 
تنظیمات مرحله زمانی و حداکثر تعداد تکرارها را در حل کننده تغییر دهید تا زمان محاسبه کاهش یابد.
راه حل 1 (sol1)
| 1 | در نوار ابزار مطالعه ، روی   Show  Default  Solver کلیک کنید . | 
| 2 | در پنجره Model  Builder ، گره Solution  1  (sol1) را گسترش دهید ، سپس روی Time-Dependent  Solver  1 کلیک کنید . | 
| 3 | در پنجره تنظیمات برای حل وابسته به زمان  ، برای گسترش بخش Time Steping کلیک کنید . | 
| 4 | از لیست مراحل  انجام شده  توسط  حل کننده ، Intermediate را انتخاب کنید . | 
| 5 | در پنجره Model  Builder ، گره Study  1>Solver  Configurations>Solution  1  (sol1)>Time-Dependent  Solver  1 را گسترش دهید ، سپس روی Fully  Coupled  1 کلیک کنید . | 
| 6 | در پنجره Settings for Fully  Coupled ، برای گسترش بخش Method  and  Termination کلیک کنید . | 
| 7 | از لیست بهروزرسانی Jacobian  ، یک بار در هر زمان مرحله را انتخاب کنید . | 
| 8 | در قسمت حداکثر  تعداد  تکرار ،  10 را تایپ کنید . | 
داده های دسته ای
در نوار ابزار مطالعه ،  روی محاسبه کلیک کنید .
 روی محاسبه کلیک کنید .
 روی محاسبه کلیک کنید .
 روی محاسبه کلیک کنید .نتایج
جابجایی (mbd)
جابجایی نمودار پیش فرض است. آن را کپی کنید و دستورالعمل های زیر را برای ایجاد نمودار تنش همانطور که در شکل 2 نشان داده شده است دنبال کنید .
استرس (mbd)
| 1 | در پنجره Model  Builder ، گره Results را گسترش دهید . | 
| 2 | روی Displacement  (mbd) کلیک راست کرده و Duplicate را انتخاب کنید . | 
| 3 | در پنجره تنظیمات برای گروه طرح سه بعدی  ، Stress (mbd) را در قسمت نوشتار Label تایپ کنید . | 
سطح
| 1 | در پنجره Model  Builder ، گره Stress  (mbd) را گسترش دهید ، سپس روی Surface کلیک کنید . | 
| 2 | در پنجره تنظیمات برای Surface ، بخش Expression را پیدا کنید . | 
| 3 | در قسمت متن Expression ، mbd.SYY را تایپ کنید . | 
| 4 | برای گسترش بخش Range کلیک کنید . تیک گزینه Manual  color  range را انتخاب کنید . | 
| 5 | در قسمت حداقل متن، -3e7 را تایپ کنید . | 
| 6 | در قسمت Maximum text، 3e7 را تایپ کنید . | 
Gears از مدل Rigid Material استفاده می کند . بنابراین نمی توان تنش را در چرخ دنده ها ترسیم کرد. مجموعه داده موجود را کپی کنید و انتخاب مجموعه جدید را فقط به چرخ دنده ها محدود کنید. شما از این مجموعه داده برای نمایش چرخ دنده ها در نمودار تنش استفاده خواهید کرد.
مطالعه 1 / راه حل های پارامتریک 1 (3) (sol2)
| 1 | در پنجره Model  Builder ، گره Results>Datasets را گسترش دهید . | 
| 2 | روی Results>Datasets>Study  1/Parametric  Solutions  1  (sol2) کلیک راست کرده و Duplicate را انتخاب کنید . | 
انتخاب
| 1 | در نوار ابزار نتایج ، روی   ویژگی ها کلیک کنید و Selection را انتخاب کنید . | 
| 2 | در پنجره تنظیمات برای انتخاب ، قسمت انتخاب موجودیت هندسی  را پیدا کنید . | 
| 3 | از لیست سطح نهاد هندسی  ، دامنه را انتخاب کنید . | 
| 4 | فقط دامنه های 1 و 7 را انتخاب کنید. | 
سطح 2
| 1 | در پنجره Model  Builder ، روی Surface کلیک راست کرده و Duplicate را انتخاب کنید . | 
| 2 | در پنجره تنظیمات برای Surface ، بخش Expression را پیدا کنید . | 
| 3 | در قسمت Expression text، 1 را تایپ کنید . | 
| 4 | قسمت Coloring  and  Style را پیدا کنید . از لیست Coloring ، Uniform را انتخاب کنید . | 
| 5 | از لیست رنگ ، خاکستری را انتخاب کنید . | 
| 6 | قسمت Data را پیدا کنید . از فهرست مجموعه داده ، مطالعه  1/  راه حل های پارامتریک  1  (3)  (sol2) را انتخاب کنید . | 
| 7 | از لیست پارامترهای راه حل  ، از والدین را انتخاب کنید . | 
برای رسم توزیع نیرو در یاتاقان غلتکی، نمودارهای فلش را اضافه کنید.
سطح پیکان 1
| 1 | در پنجره Model  Builder ، روی Stress  (mbd) کلیک راست کرده و Arrow  Surface را انتخاب کنید . | 
| 2 | در پنجره تنظیمات برای Arrow  Surface ، روی Replace  Expression در گوشه سمت راست بالای بخش Expression کلیک کنید . از منو، Component  1  (comp1)>Multibody  Dynamics>Radial  Roller  Bearing  1>mbd.rrb1.fbx,…,mbd.rrb1.fbz  –  توزیع نیروی بلبرینگ (  قاب فضایی ) را انتخاب کنید . | 
| 3 | قسمت تعیین موقعیت پیکان  را پیدا کنید . از لیست قرار دادن ، گره های مش را انتخاب کنید . | 
| 4 | قسمت Coloring  and  Style را پیدا کنید . | 
| 5 | چک باکس Scale  factor را انتخاب کنید . در قسمت متن مرتبط، 2E-4 را تایپ کنید . | 
تغییر شکل 1
| 1 | روی Arrow  Surface  1 کلیک راست کرده و Deformation را انتخاب کنید . | 
| 2 | در پنجره تنظیمات برای تغییر شکل ، بخش Expression را پیدا کنید . | 
| 3 | در قسمت متن X-component ، mbd.rrb1.u_cage را تایپ کنید . | 
| 4 | در قسمت متن Y-component ، mbd.rrb1.v_cage را تایپ کنید . | 
| 5 | در قسمت متنی Z-component ، mbd.rrb1.w_cage را تایپ کنید . | 
| 6 | قسمت Scale را پیدا کنید . | 
| 7 | چک باکس Scale  factor را انتخاب کنید . در فیلد متن مرتبط، 1 را تایپ کنید . | 
سطح پیکان 2
| 1 | در پنجره Model  Builder ، در Results>Stress  (mbd) روی Arrow  Surface  1 کلیک راست کرده و Duplicate را انتخاب کنید . | 
| 2 | در پنجره تنظیمات برای Arrow  Surface ، برای گسترش بخش Inherit  Style کلیک کنید . | 
| 3 | از لیست Plot ، Arrow  Surface  1 را انتخاب کنید . | 
به دلیل ناهماهنگی، نیروهای واکنش به طور قابل توجهی در این بلبرینگ بزرگتر هستند. مقیاس فلش را برای این بلبرینگ به ارث نبرید.
| 4 | برای گسترش بخش عنوان کلیک کنید . از لیست نوع عنوان  ، هیچکدام را انتخاب کنید . | 
| 5 | قسمت Expression را پیدا کنید . در قسمت متن X-component ، mbd.rrb2.fbx را تایپ کنید . | 
| 6 | در قسمت متن Y-component ، mbd.rrb2.fby را تایپ کنید . | 
| 7 | در قسمت متنی Z-component ، mbd.rrb2.fbz را تایپ کنید . | 
تغییر شکل 1
| 1 | در پنجره Model  Builder ، گره Arrow  Surface  2 را گسترش دهید ، سپس روی Deformation  1 کلیک کنید . | 
| 2 | در پنجره تنظیمات برای تغییر شکل ، بخش Expression را پیدا کنید . | 
| 3 | در قسمت متن X-component ، mbd.rrb2.u_cage را تایپ کنید . | 
| 4 | در قسمت متن Y-component ، mbd.rrb2.v_cage را تایپ کنید . | 
| 5 | در قسمت متنی Z-component ، mbd.rrb2.w_cage را تایپ کنید . | 
سطح پیکان 3
| 1 | در پنجره Model  Builder ، در Results>Stress  (mbd) روی Arrow  Surface  2 کلیک راست کرده و Duplicate را انتخاب کنید . | 
| 2 | در پنجره تنظیمات برای Arrow  Surface ، بخش Expression را پیدا کنید . | 
| 3 | در قسمت متن X-component ، mbd.rrb3.fbx را تایپ کنید . | 
| 4 | در قسمت متن Y-component ، mbd.rrb3.fby را تایپ کنید . | 
| 5 | در قسمت متنی Z-component ، mbd.rrb3.fbz را تایپ کنید . | 
تغییر شکل 1
| 1 | در پنجره Model  Builder ، گره Arrow  Surface  3 را گسترش دهید ، سپس روی Deformation  1 کلیک کنید . | 
| 2 | در پنجره تنظیمات برای تغییر شکل ، بخش Expression را پیدا کنید . | 
| 3 | در قسمت متن X-component ، mbd.rrb3.u_cage را تایپ کنید . | 
| 4 | در قسمت متن Y-component ، mbd.rrb3.v_cage را تایپ کنید . | 
| 5 | در قسمت متنی Z-component ، mbd.rrb3.w_cage را تایپ کنید . | 
سطح پیکان 4
| 1 | در پنجره Model  Builder ، در Results>Stress  (mbd) روی Arrow  Surface  3 کلیک راست کرده و Duplicate را انتخاب کنید . | 
| 2 | در پنجره تنظیمات برای Arrow  Surface ، بخش Expression را پیدا کنید . | 
| 3 | در قسمت متن X-component ، mbd.rrb4.fbx را تایپ کنید . | 
| 4 | در قسمت متن Y-component ، mbd.rrb4.fby را تایپ کنید . | 
| 5 | در قسمت متنی Z-component ، mbd.rrb4.fbz را تایپ کنید . | 
تغییر شکل 1
| 1 | در پنجره Model  Builder ، گره Arrow  Surface  4 را گسترش دهید ، سپس روی Deformation  1 کلیک کنید . | 
| 2 | در پنجره تنظیمات برای تغییر شکل ، بخش Expression را پیدا کنید . | 
| 3 | در قسمت متن X-component ، mbd.rrb4.u_cage را تایپ کنید . | 
| 4 | در قسمت متن Y-component ، mbd.rrb4.v_cage را تایپ کنید . | 
| 5 | در قسمت متنی Z-component ، mbd.rrb4.w_cage را تایپ کنید . | 
استرس (mbd)
| 1 | در پنجره Model  Builder ، در قسمت Results روی Stress  (mbd) کلیک کنید . | 
| 2 | در پنجره تنظیمات برای گروه طرح سه بعدی  ، برای گسترش بخش عنوان کلیک کنید . | 
| 3 | از لیست نوع عنوان  ، دستی را انتخاب کنید . | 
| 4 | در قسمت متن عنوان ، Surface: Second Piola-Kirchhoff stress, YY component (N/m<sup>2</sup>) را تایپ کنید . | 
| 5 |  روی دکمه Zoom  Extents در نوار ابزار Graphics کلیک کنید . | 
| 6 | در نوار ابزار استرس (mbd) ، روی   Plot کلیک کنید . | 
همانطور که در شکل 3 نشان داده شده است، دستورالعمل های زیر را دنبال کنید تا سرعت زاویه ای محور محرک، چرخ و پینیون را ترسیم کنید .
سرعت زاویه ای
| 1 | در نوار ابزار صفحه اصلی ، روی   Add  Plot  Group کلیک کنید و 1D  Plot  Group را انتخاب کنید . | 
| 2 | در پنجره Settings for 1D  Plot  Group ، بخش Data را پیدا کنید . | 
| 3 | از فهرست مجموعه داده ، مطالعه  1/  راه حل های پارامتریک  1  (2)  (sol2) را انتخاب کنید . | 
| 4 | در قسمت نوشتار برچسب ، Angular Speed را تایپ کنید . | 
| 5 | قسمت Data را پیدا کنید . از لیست انتخاب پارامتر  (isMisaligned) ، First را انتخاب کنید . | 
جهانی 1
| 1 | روی Angular  Speed کلیک راست کرده و Global را انتخاب کنید . | 
| 2 | در پنجره تنظیمات برای جهانی ، روی Replace  Expression در گوشه سمت راست بالای بخش y-Axis  Data کلیک کنید . از منو، Component  1  (comp1)>Definitions>Variables>Omega  –  Angular  speed  –  rad/s را انتخاب کنید . | 
| 3 | قسمت y-Axis  Data را پیدا کنید . در جدول تنظیمات زیر را وارد کنید: | 
| اصطلاح | واحد | شرح | 
| امگا | راد/ثانیه | محور رانندگی | 
| 4 | روی Add  Expression در گوشه سمت راست بالای بخش y-Axis  Data کلیک کنید . از منو، Component  1  (comp1)>Multibody  Dynamics>Gear  pairs>Gear  Pair  1>Wheel>mbd.grp1.tht_wh  –  Wheel  angular  velocity  –  rad/s را انتخاب کنید . | 
| 5 | قسمت y-Axis  Data را پیدا کنید . در جدول تنظیمات زیر را وارد کنید: | 
| اصطلاح | واحد | شرح | 
| mbd.grp1.tht_wh | راد/ثانیه | چرخ | 
| 6 | روی Add  Expression در گوشه سمت راست بالای بخش y-Axis  Data کلیک کنید . از منو، Component  1  (comp1)>Multibody  Dynamics>Gear  Pairs>Gear  Pair  1>Pinion>mbd.grp1.tht_pn  –  سرعت زاویه ای پینیون  – rad/s را انتخاب کنید . | 
| 7 | قسمت y-Axis  Data را پیدا کنید . در جدول تنظیمات زیر را وارد کنید: | 
| اصطلاح | واحد | شرح | 
| -mbd.grp1.tht_pn | راد/ثانیه | پینیون (-ve) | 
| 8 | برای گسترش بخش Coloring  and  Style کلیک کنید . از لیست Width ، 2 را انتخاب کنید . | 
| 9 | برای گسترش بخش Legends کلیک کنید . از فهرست Legends ، Manual را انتخاب کنید . | 
| 10 | در جدول تنظیمات زیر را وارد کنید: | 
| افسانه ها | 
| محور رانندگی | 
| چرخ | 
| پینیون (-ve) | 
سرعت زاویه ای
| 1 | در پنجره Model  Builder ، روی Angular  Speed کلیک کنید . | 
| 2 | در پنجره Settings for 1D  Plot  Group ، قسمت Plot  Settings را پیدا کنید . | 
| 3 | کادر بررسی برچسب محور y  را انتخاب کنید . در فیلد متن مرتبط، Angular speed (rad/s) را تایپ کنید . | 
| 4 | برای گسترش بخش عنوان کلیک کنید . از لیست نوع عنوان  ، دستی را انتخاب کنید . | 
| 5 | در قسمت متن عنوان ، Misaligned=eval(isMisaligned) را تایپ کنید . | 
| 6 | در نوار ابزار Angular Speed ، روی   Plot کلیک کنید . | 
پارامتر isMisaligned را تغییر دهید تا سرعت زاویه ای را برای حالت نامناسب ترسیم کنید.
| 7 | قسمت Data را پیدا کنید . از فهرست انتخاب پارامتر  (isMisaligned) ، گزینه Last را انتخاب کنید . | 
| 8 | در نوار ابزار Angular Speed ، روی   Plot کلیک کنید . | 
می توانید نیروهای واکنش و گشتاورهای یاتاقان را برای موارد تراز و ناهمتراز مقایسه کنید. این نمودارها در شکل 6 و شکل 7 نشان داده شده اند و با استفاده از دستورالعمل های زیر قابل بازتولید هستند.
نیروی باربری
| 1 | در نوار ابزار صفحه اصلی ، روی   Add  Plot  Group کلیک کنید و 1D  Plot  Group را انتخاب کنید . | 
| 2 | در پنجره Settings for 1D  Plot  Group ، بخش Data را پیدا کنید . | 
| 3 | از فهرست مجموعه داده ، مطالعه  1/  راه حل های پارامتریک  1  (2)  (sol2) را انتخاب کنید . | 
| 4 | در قسمت نوشتار Label ، Bearing Force را تایپ کنید . | 
| 5 | قسمت Data را پیدا کنید . از لیست انتخاب پارامتر  (isMisaligned) ، First را انتخاب کنید . | 
جهانی 1
| 1 | روی Bearing  Force کلیک راست کرده و Global را انتخاب کنید . | 
| 2 | در پنجره تنظیمات برای جهانی ، روی Replace  Expression در گوشه سمت راست بالای بخش y-Axis  Data کلیک کنید . از منو، Component  1  (comp1)>Multibody  Dynamics>Radial  Roller  Bearing  2>Force  on  shaft  (rrb2)  (spatial  frame)  –  N>همه  عبارات  این  گروه را  انتخاب کنید . | 
| 3 | قسمت Coloring  and  Style را پیدا کنید . از لیست Width ، 2 را انتخاب کنید . | 
| 4 | قسمت Legends را پیدا کنید . از فهرست Legends ، Manual را انتخاب کنید . | 
| 5 | در جدول تنظیمات زیر را وارد کنید: | 
| افسانه ها | 
| نیروی روی شفت (rrb2)، جزء x | 
| نیروی وارد بر شفت (rrb2)، جزء y | 
| نیروی روی شفت (rrb2)، جزء z | 
| 6 | در نوار ابزار Bearing Force ، روی   Plot کلیک کنید . | 
نیروی باربری
| 1 | در پنجره Model  Builder ، روی Bearing  Force کلیک کنید . | 
| 2 | در پنجره Settings for 1D  Plot  Group ، قسمت Plot  Settings را پیدا کنید . | 
| 3 | کادر بررسی برچسب محور y  را انتخاب کنید . در فیلد متن مرتبط، Bearing Force on Shaft (N) را تایپ کنید . | 
| 4 | قسمت عنوان را پیدا کنید . از لیست نوع عنوان  ، دستی را انتخاب کنید . | 
| 5 | در قسمت متن عنوان ، Misaligned=eval(isMisaligned) را تایپ کنید . | 
| 6 | در نوار ابزار Bearing Force ، روی   Plot کلیک کنید . | 
| 7 | قسمت Data را پیدا کنید . از فهرست انتخاب پارامتر  (isMisaligned) ، گزینه Last را انتخاب کنید . | 
| 8 | در نوار ابزار Bearing Force ، روی   Plot کلیک کنید . | 
باربری لحظه
| 1 | در نوار ابزار صفحه اصلی ، روی   Add  Plot  Group کلیک کنید و 1D  Plot  Group را انتخاب کنید . | 
| 2 | در پنجره Settings for 1D  Plot  Group ، بخش Data را پیدا کنید . | 
| 3 | از فهرست مجموعه داده ، مطالعه  1/  راه حل های پارامتریک  1  (2)  (sol2) را انتخاب کنید . | 
| 4 | در قسمت نوشتار Label ، Bearing Moment را تایپ کنید . | 
| 5 | قسمت Data را پیدا کنید . از لیست انتخاب پارامتر  (isMisaligned) ، First را انتخاب کنید . | 
جهانی 1
| 1 | روی Bearing  Moment کلیک راست کرده و Global را انتخاب کنید . | 
| 2 | در پنجره تنظیمات برای جهانی ، روی Replace  Expression در گوشه سمت راست بالای بخش y-Axis  Data کلیک کنید . از منو، Component  1  (comp1)>Multibody  Dynamics>Radial  Roller  Bearing  2>Moment  on  shaft  (rrb2)  (spatial  frame)  –  N·m>همه  عبارات  این  گروه را  انتخاب کنید . | 
| 3 | قسمت Coloring  and  Style را پیدا کنید . از لیست Width ، 2 را انتخاب کنید . | 
| 4 | قسمت Legends را پیدا کنید . از فهرست Legends ، Manual را انتخاب کنید . | 
| 5 | در جدول تنظیمات زیر را وارد کنید: | 
| افسانه ها | 
| لحظه روی شفت (rrb2)، جزء x | 
| لحظه روی شفت (rrb2)، جزء y | 
| لحظه روی شفت (rrb2)، جزء z | 
باربری لحظه
| 1 | در پنجره Model  Builder ، روی Bearing  Moment کلیک کنید . | 
| 2 | در پنجره Settings for 1D  Plot  Group ، قسمت Plot  Settings را پیدا کنید . | 
| 3 | کادر بررسی برچسب محور y  را انتخاب کنید . در فیلد متن مرتبط، Bearing Moment on Shaft (N*m) را تایپ کنید . | 
| 4 | قسمت عنوان را پیدا کنید . از لیست نوع عنوان  ، دستی را انتخاب کنید . | 
| 5 | در قسمت متن عنوان ، Misaligned=eval(isMisaligned) را تایپ کنید . | 
| 6 | در نوار ابزار Bearing Moment ، روی   Plot کلیک کنید . | 
| 7 | قسمت Data را پیدا کنید . از فهرست انتخاب پارامتر  (isMisaligned) ، گزینه Last را انتخاب کنید . | 
| 8 | در نوار ابزار Bearing Moment ، روی   Plot کلیک کنید . | 
ناهماهنگی زاویه ای در یاتاقان ها باعث ایجاد ارتعاشات محوری بزرگ می شود. با ایجاد یک نقطه برش در مرکز چرخ شروع کنید تا لرزش محوری را در این مکان ترسیم کنید.
Cut Point 3D 1
| 1 | در نوار ابزار نتایج ، بر روی   Cut  Point  3D کلیک کنید . | 
| 2 | در پنجره تنظیمات برای Cut  Point  3D ، قسمت Data را پیدا کنید . | 
| 3 | از فهرست مجموعه داده ، مطالعه  1/  راه حل های پارامتریک  1  (2)  (sol2) را انتخاب کنید . | 
| 4 | قسمت Point  Data را پیدا کنید . در قسمت متن X ، 0 را تایپ کنید . | 
| 5 | در قسمت متن Y عدد 0 را تایپ کنید . | 
| 6 | در قسمت متن Z ، 0 را تایپ کنید . | 
| 7 |  روی Plot کلیک کنید . | 
دستورالعمل های زیر را دنبال کنید تا لرزش محوری را در مرکز چرخ برای موارد تراز و نامناسب ترسیم کنید. این نمودار در شکل 4 نشان داده شده است .
Y شتاب چرخ
| 1 | در نوار ابزار نتایج ، روی   1D  Plot  Group کلیک کنید . | 
| 2 | در پنجره تنظیمات برای گروه طرح 1 بعدی  ، Y Acceleration of Wheel را در قسمت متن برچسب تایپ کنید . | 
| 3 | قسمت Data را پیدا کنید . از لیست Dataset ، Cut  Point  3D  1 را انتخاب کنید . | 
در ابتدا به دلیل تق تق دنده ها، پاسخ شتاب اثرات گذرا خواهد داشت. شتاب را پس از مدتی که اثرات گذرا فروکش می کند ترسیم کنید.
| 4 | از لیست انتخاب زمان  ، دستی را انتخاب کنید . | 
| 5 | در قسمت متنی شاخص های زمان  (1-12501) ، محدوده (6000,1,12501) را تایپ کنید . | 
| 6 | از لیست انتخاب پارامتر  (isMisaligned) ، First را انتخاب کنید . | 
نمودار نقطه 1
| 1 | روی Y  Acceleration  of  Wheel کلیک راست کرده و Point  Graph را انتخاب کنید . | 
| 2 | در پنجره تنظیمات نمودار نقطهای  ، بخش y-Axis Data را پیدا کنید . | 
| 3 | در قسمت متن Expression ، vtt را تایپ کنید . | 
Y شتاب چرخ
| 1 | در پنجره Model  Builder ، روی Y  Acceleration  of  Wheel کلیک کنید . | 
| 2 | در پنجره Settings for 1D  Plot  Group ، قسمت Title را پیدا کنید . | 
| 3 | از لیست نوع عنوان  ، دستی را انتخاب کنید . | 
| 4 | در قسمت متن عنوان ، Misaligned=eval(isMisaligned) را تایپ کنید . | 
| 5 | در نوار ابزار Y Acceleration of Wheel ، روی   Plot کلیک کنید . | 
| 6 | قسمت Data را پیدا کنید . از فهرست انتخاب پارامتر  (isMisaligned) ، گزینه Last را انتخاب کنید . | 
| 7 | در نوار ابزار Y Acceleration of Wheel ، روی   Plot کلیک کنید . | 
نمودار ارتعاش محوری را کپی کنید و دستورالعمل های زیر را دنبال کنید تا طیف فرکانس ارتعاشات محوری را برای موارد تراز و ناهمتراز ترسیم کنید، همانطور که در شکل 5 نشان داده شده است .
شتاب Y چرخ (طیف فرکانس)
| 1 | روی Y  Acceleration  of  Wheel کلیک راست کرده و Duplicate را انتخاب کنید . | 
| 2 | در پنجره تنظیمات برای گروه طرح 1 بعدی  ، Y Acceleration of Wheel (طیف فرکانس) را در قسمت نوشتار Label تایپ کنید. | 
جغجغه دنده به دلیل خالی شدن شفت باعث ایجاد لرزش گذرا اولیه در سیستم می شود. این داده ارتعاش گذرا را برای نمودار طیف فرکانس حذف کنید.
| 3 | قسمت Data را پیدا کنید . از لیست انتخاب پارامتر  (isMisaligned) ، First را انتخاب کنید . | 
نمودار نقطه 1
| 1 | در پنجره Model  Builder ، گره Y  Acceleration  of  Wheel  (طیف  فرکانس) را گسترش دهید ، سپس روی Point  Graph  1 کلیک کنید . | 
| 2 | در پنجره تنظیمات برای پوینت  گراف ، قسمت x-Axis  Data را پیدا کنید . | 
| 3 | از لیست پارامتر ، تبدیل فوریه گسسته  را انتخاب کنید . | 
| 4 | از فهرست نمایش ، طیف فرکانس  را انتخاب کنید . | 
| 5 | کادر بررسی محدوده فرکانس  را انتخاب کنید . | 
| 6 | در قسمت Maximum text، 2000 را تایپ کنید . | 
| 7 | برای گسترش بخش Coloring  and  Style کلیک کنید . از لیست Width ، 2 را انتخاب کنید . | 
| 8 | در نوار ابزار Y Acceleration of Wheel (طیف فرکانس) ، روی   Plot کلیک کنید . | 
شتاب Y چرخ (طیف فرکانس)
| 1 | در پنجره Model  Builder ، روی Y  Acceleration  of  Wheel  (طیف  فرکانس) کلیک کنید . | 
| 2 | در پنجره Settings for 1D  Plot  Group ، بخش Data را پیدا کنید . | 
| 3 | از فهرست انتخاب پارامتر  (isMisaligned) ، گزینه Last را انتخاب کنید . | 
| 4 | در نوار ابزار Y Acceleration of Wheel (طیف فرکانس) ، روی   Plot کلیک کنید . | 
کج شدن روتور در یاتاقان در شکل 8 برای موارد تراز و ناهمتراز مقایسه شده است. دستورالعمل های زیر را برای بازتولید این طرح دنبال کنید.
شیب روتور در یاتاقان 2
| 1 | در نوار ابزار صفحه اصلی ، روی   Add  Plot  Group کلیک کنید و 1D  Plot  Group را انتخاب کنید . | 
| 2 | در پنجره Settings for 1D  Plot  Group ، بخش Data را پیدا کنید . | 
| 3 | از فهرست مجموعه داده ، مطالعه  1/  راه حل های پارامتریک  1  (2)  (sol2) را انتخاب کنید . | 
| 4 | در قسمت Label text، Rotor tilt at Bearing 2 را تایپ کنید . | 
| 5 | قسمت Data را پیدا کنید . از لیست انتخاب پارامتر  (isMisaligned) ، First را انتخاب کنید . | 
جهانی 1
| 1 | روی Rotor  tilt  در  Bearing  2 کلیک راست کرده و Global را انتخاب کنید . | 
| 2 | در پنجره تنظیمات برای جهانی ، بخش y-Axis  Data را پیدا کنید . | 
| 3 | در جدول تنظیمات زیر را وارد کنید: | 
| اصطلاح | واحد | شرح | 
| mbd.rrb2.alphay | درجه | شیب روتور در مورد جهت محلی y | 
| mbd.rrb2.alphaz | درجه | شیب روتور در مورد جهت z محلی | 
| 4 | قسمت Coloring  and  Style را پیدا کنید . از لیست Width ، 2 را انتخاب کنید . | 
| 5 | قسمت Legends را پیدا کنید . از فهرست Legends ، Manual را انتخاب کنید . | 
| 6 | در جدول تنظیمات زیر را وارد کنید: | 
| افسانه ها | 
| شیب روتور، جهت محلی y | 
| شیب روتور، جهت z محلی | 
شیب روتور در یاتاقان 2
| 1 | در پنجره Model  Builder ، روی Rotor  tilt  at  Bearing  2 کلیک کنید . | 
| 2 | در پنجره Settings for 1D  Plot  Group ، قسمت Plot  Settings را پیدا کنید . | 
| 3 | کادر بررسی برچسب محور y  را انتخاب کنید . در قسمت متن مربوطه، Rotor tilt (deg) را تایپ کنید . | 
| 4 | قسمت عنوان را پیدا کنید . از لیست نوع عنوان  ، دستی را انتخاب کنید . | 
| 5 | در قسمت متن عنوان ، Misaligned=eval(isMisaligned) را تایپ کنید . | 
| 6 | در نوار ابزار Rotor tilt at Bearing 2 ، روی   Plot کلیک کنید . | 
| 7 | قسمت Data را پیدا کنید . از فهرست انتخاب پارامتر  (isMisaligned) ، گزینه Last را انتخاب کنید . | 
| 8 | در نوار ابزار Rotor tilt at Bearing 2 ، روی   Plot کلیک کنید . | 
نیروی تماس توری چرخ دنده نشانگر ارتعاشات تلق در شفت است. این نمودار در شکل 9 نشان داده شده است و می توان آن را با استفاده از دستورالعمل های زیر بازتولید کرد.
نیروی تماسی مش دنده
| 1 | در نوار ابزار صفحه اصلی ، روی   Add  Plot  Group کلیک کنید و 1D  Plot  Group را انتخاب کنید . | 
| 2 | در پنجره Settings for 1D  Plot  Group ، بخش Data را پیدا کنید . | 
| 3 | از فهرست مجموعه داده ، مطالعه  1/  راه حل های پارامتریک  1  (2)  (sol2) را انتخاب کنید . | 
| 4 | در قسمت نوشتار Label ، Gear Mesh Contact Force را تایپ کنید . | 
| 5 | قسمت Data را پیدا کنید . از لیست انتخاب پارامتر  (isMisaligned) ، First را انتخاب کنید . | 
جهانی 1
| 1 | روی Gear  Mesh  Contact  Force کلیک راست کرده و Global را انتخاب کنید . | 
| 2 | در پنجره تنظیمات برای جهانی ، روی Replace  Expression در گوشه سمت راست بالای بخش y-Axis  Data کلیک کنید . از منو، Component  1  (comp1)>Multibody  Dynamics>Gear  pairs>Gear  Pair  1>mbd.grp1.Fc  –  Force  at  point contact  – N را انتخاب کنید . | 
| 3 | قسمت Coloring  and  Style را پیدا کنید . از لیست Width ، 2 را انتخاب کنید . | 
نیروی تماسی مش دنده
| 1 | در پنجره Model  Builder ، روی Gear  Mesh  Contact  Force کلیک کنید . | 
| 2 | در پنجره Settings for 1D  Plot  Group ، قسمت Title را پیدا کنید . | 
| 3 | از لیست نوع عنوان  ، دستی را انتخاب کنید . | 
| 4 | در قسمت متن عنوان ، Misaligned=eval(isMisaligned) را تایپ کنید . | 
| 5 | قسمت Legend را پیدا کنید . تیک Show  legends را پاک کنید . | 
| 6 | در نوار ابزار Gear Mesh Contact Force ، روی   Plot کلیک کنید . | 
| 7 | قسمت Data را پیدا کنید . از فهرست انتخاب پارامتر  (isMisaligned) ، گزینه Last را انتخاب کنید . | 
| 8 | در نوار ابزار Gear Mesh Contact Force ، روی   Plot کلیک کنید . | 
در نهایت، از دستورالعمل های زیر برای ایجاد انیمیشن تغییرات تنش در شفت ها استفاده کنید.
انیمیشن 1
| 1 | در نوار ابزار نتایج ، روی   انیمیشن کلیک کنید و Player را انتخاب کنید . | 
| 2 | در پنجره تنظیمات انیمیشن ، بخش صحنه را پیدا کنید . | 
| 3 | از لیست موضوع ، استرس  (mbd) را انتخاب کنید . | 
| 4 | قسمت Frames را پیدا کنید . در قسمت متنی Number  of  frames عدد 50 را تایپ کنید . | 
| 5 | قسمت ویرایش انیمیشن  را پیدا کنید . از لیست مقدار پارامتر (isMisaligned) ، 1 را انتخاب کنید . | 
| 6 |  روی دکمه Play در نوار ابزار Graphics کلیک کنید . | 
 
