جوشکاری صفحه تیتانیوم

View Categories

جوشکاری صفحه تیتانیوم

28 min read

PDF

جوشکاری صفحه تیتانیوم
معرفی
در طول جوشکاری فلزات، مواد به دلیل گذراهای حرارتی در اطراف حوضچه مذاب متحرک دچار دگرگونی فازی می‌شوند. در این مثال، جوشکاری صفحه تیتانیوم در نظر گرفته شده است. ماده تیتانیوم یک آلیاژ آلفا-بتا قابل عملیات حرارتی است و فرآیند جوشکاری با استفاده از منبع حرارتی گلداک دو بیضی شکل مدل‌سازی می‌شود ( مرجع 1 ). این مدل نشان می‌دهد که چگونه می‌توان تبدیل‌های فاز متالورژیکی وابسته به دما را که در این فرآیند دخیل هستند، تعریف کرد و چگونه ترکیب فاز ناهمگن را در صفحه پس از یک پاس جوش تک محاسبه کرد.
تعریف مدل
طول صفحه 5 سانتی متر، عرض 3.5 سانتی متر و ضخامت آن 5 میلی متر است. در این مثال، صفحه باید به یک صفحه دوم و یکسان در طول آنها جوش داده شود. به دلیل تقارن، تنها یک صفحه مدل سازی شده است. این صفحه از آلیاژ آلفا بتا تیتانیوم ساخته شده است. این دسته ای از مواد است که می توان آن را برای مثال در کاربردهای خودروسازی و هوافضا یافت. ماده مدل‌سازی‌شده در اینجا نشان‌دهنده یک آلیاژ ساختگی است، با این حال خواص مواد و سینتیک تبدیل فاز نماینده آلیاژهای تجاری آلفا-بتا تیتانیوم است.
خواص مواد
خواص مواد آلیاژ آلفا-بتا وابسته به دما و همچنین وابسته به ترکیب فاز است. رابط فیزیک تبدیل فاز آلفا-بتا به طور خودکار این ویژگی ها را به خواص مؤثری که یک ماده ترکیبی را تعریف می کند، میانگین می کند. مواد مرکب در آنالیز حرارتی استفاده می شود.
تجزیه و تحلیل تبدیل فاز
گذرای حرارتی شامل گرمایش و سرمایش می‌تواند منجر به تبدیل فازهای مختلف در آلیاژ تیتانیوم آلفا بتا شود. رابط فیزیک تبدیل فاز آلفا-بتا به طور خودکار یک فاز بتا و دو فاز آلفا – Widmanstätten alpha و Martensitic alpha را تنظیم می کند و سپس تبدیل فاز مربوط به سرمایش و گرمایش را تعریف می کند. رابط فیزیک چندین پارامتر مدل مانند دمای تبدیل را نیز تولید می کند. از آنجایی که این مدل به یک آلیاژ تیتانیوم آلفا-بتای ساختگی مربوط می شود، این مقادیر پیش فرض بدون تغییر استفاده می شوند. تبدیل‌های فازی که باید با داده‌های تبدیل فاز تکمیل شوند عبارتند از:
بتا به Widmanstätten آلفا
آلفا (Widmanstätten alpha و Martensitic alpha) تا بتا
مارتنزیتی آلفا به بتا
آلفای مارتنزیتی تا آلفای Widmanstätten
تشکیل مجدد بتا
علاوه بر این، کسر تعادل وابسته به دما فاز آلفا مورد نیاز است. داده‌های تبدیل فاز و داده‌های کسر تعادل فاز آلفا در فایل‌های متنی تعریف شده‌اند که می‌توانند به عنوان توابع درونیابی بارگذاری شوند.
بتا به Widmanstätten Alpha
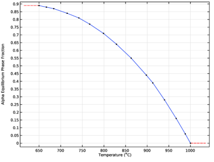
تبدیل فاز بتا به فاز آلفای Widmanstätten در طول خنک شدن زیر دمای ترانس بتا با استفاده از مدل تبدیل فاز JMAK مدل‌سازی شده است. با استفاده از داده های TTT برای سطوح تبدیل 1٪ و 50٪، که در اینجا به عنوان توابع درون یابی ارائه شده است، مشخص می شود. کسر فاز تعادل فاز آلفا نیز به عنوان تابع درون یابی داده می شود. داده‌های TTT و داده‌های کسر فاز تعادلی از Salsi و دیگران گرفته شده‌اند ( مرجع 2 ). شکل 1 و شکل 2 را ببینید
شکل 1: داده های TTT برای تبدیل فاز آلفای بتا به Widmanstätten.
شکل 2: کسر فاز تعادلی برای فاز آلفا.
آلفا به بتا
انحلال فاز آلفا با استفاده از مدل تبدیل فاز نرخ هیپربولیک مدل‌سازی می‌شود. داده‌های وابسته به دما برای انحلال آلفا از Kelly ( مراجعه 3 ) گرفته شده است، جایی که یک عبارت قانون قدرت برای توصیف ضخیم شدن به اصطلاح سهموی استفاده شده است:
با واحد ضمنی 1/s 1/2 و دما بر حسب کلوین. این شکل تحلیلی برای داده ها به یک تابع درون یابی از نظر عددی کمتر چالش برانگیز f Diss ( T ) تبدیل می شود، و زمانی که از آن برای مدل سازی تبدیل فاز با استفاده از مدل تبدیل فاز نرخ هیپربولیک استفاده می شود، عبارت نرخ تبدیل می شود:
این تبدیل فاز نشان دهنده انحلال همزمان آلفای Widmanstätten و آلفای مارتنزیتی است. این کار با استفاده از زیرگره فاز منبع اضافی انجام می شود .
آلفای مارتنزیتی به بتا و آلفای مارتنزیتی به ویدمن آلفا را پشتیبانی می‌کند
بالاتر از دمای انحلال مارتنزیت، فاز آلفای مارتنزیتی به ترکیبی از فاز آلفا و بتا Widmanstätten حل می شود. این تبدیل با استفاده از دو گره تبدیل فاز مجزا مدل‌سازی می‌شود . مدل تبدیل فاز JMAK برای هر تبدیل فاز استفاده می شود و داده های TTT برای مشخص کردن سرعت انحلال استفاده می شود. مقدار داده های موجود در ادبیات کمیاب است. با هدایت کار آزمایشی در قاضی و دیگران ( مراجعه 4 )، تبدیل با داده های TTT برای سطوح تبدیل 1% و 99% تقریبی شده است، به شکل 3 مراجعه کنید .
شکل 3: داده های TTT برای انحلال آلفای مارتنزیتی.
تشکیل مجدد بتا
هنگامی که دما از دمای بتا ترانسوس بیشتر شود، فازهای آلفا به فاز بتا حل می شوند. در اینجا، این تبدیل فاز ساده شده است، زیرا هدف صرفاً “تنظیم مجدد” مواد بالای ترانوس بتا است. از مدل تبدیل فاز JMAK استفاده شده و از ثابت زمانی ثابت و ثابت اورامی استفاده شده است. زیرگره فاز منبع اضافی برای گنجاندن هر دو فاز آلفا به عنوان فازهای منبع استفاده می شود. اگر شرح دقیق تری از انحلال آلفا مورد نیاز باشد، داده های تبدیل فاز به تعریف دقیق تری نیاز دارند.
آنالیز حرارتی
انتقال حرارت در صفحه با معادله گرما توصیف می شود:
که در آن T دما است، k نشان دهنده رسانایی گرمایی، ρ نشان دهنده چگالی، p نشان دهنده ظرفیت گرمایی ویژه و Q است.منبع گرما است رسانایی حرارتی، چگالی و ظرفیت گرمایی ویژه به طور کلی وابسته به دما هستند، اما در حضور تبدیل‌های فاز متالورژیکی، به ترکیب فاز فعلی نیز بستگی دارند. در تحلیل حرارتی حاضر، گرمای نهان تبدیل فاز نادیده گرفته شده است. بنابراین، تنها منبع گرمایی که کمک می‌کند، قوس جوش خارجی است. چگالی، ظرفیت گرمایی ویژه و رسانایی حرارتی هر فاز در زیر تعریف شده است. توجه داشته باشید که معادلات بر روی قاب مواد حل می شوند، به این معنی که چگالی هر فاز ثابت است، مطابق با چگالی در دمای مرجع حجم. با توجه به رسانایی حرارتی، آنها به عنوان توابع خطی دما در نظر گرفته می شوند. گرمای ویژه در هر سه فاز برابر فرض می شود.جدول 1 خواص حرارتی سه فاز را فهرست می کند. دمای T بر حسب کلوین فرض می شود.
جدول 1: خواص مواد حرارتی وابسته به دما.
فاز
r
 ج ص
ک
بتا
4700 کیلوگرم بر متر 3
480J/(kg · K) + 0.24m/W · T
0.3W/(m · K) + 0.021m/W · T
Widmanstätten
آلفا
4400 کیلوگرم بر متر 3
480J/(kg · K) + 0.24m/W · T
0.1W/(m · K) + 0.016m/W · T
مارتنزیتی
آلفا
4400 کیلوگرم بر متر 3
480J/(kg · K) + 0.24m/W · T
0.1W/(m · K) + 0.016m/W · T
در طول جوشکاری، صفحه در معرض یک منبع حرارت متحرک قرار می گیرد که نشان دهنده قوس جوش است. با گرم شدن صفحه، گرما را نیز از طریق همرفت طبیعی و تشعشعات حرارتی به بیرون آزاد می کند.
منبع حرارتی دو بیضی گلداک
نقطه مرکزی قوس جوش در امتداد محور X با سرعت vel  = 1 میلی متر بر ثانیه حرکت می کند. بنابراین موقعیت فعلی آن با 0 = vel ·t داده می شود. منبع گرما توسط Goldak توسط دو ناحیه تعریف می شود که در 0 به هم می پیوندند و شکل آنها بیضی است. عرض a و عمق b این نواحی برابر است، اما طول جلو و عقب، cf و r ، ممکن است متفاوت باشد، به شکل 4 مراجعه کنید . منبع گرما توسط:
که در آن 0 چگالی توان جوش است که توسط
که در آن قدرت جوش w  = 800 W، a = 4 میلی متر، b = 4 میلی متر، cr = 8 میلی متر، cf = 4 میلی متر است، و شرطی که r  +  f  = 2، r  = 4/3 را می دهد و f  = 2/3.
شکل 4: بیضی دوگانه گلداک.
همرفت طبیعی
انتقال گرما به بیرون با ضریب انتقال حرارت ثابت فرضی 10 W/(m · K) مشخص می شود.
تابش حرارتی
تابش حرارتی با استفاده از گسیل سطحی 0.4 مدل سازی شده است.
نتایج و بحث
همانطور که قوس جوش در امتداد صفحه حرکت می کند، ماده را گرم می کند. در واقعیت، یک حوضچه مذاب تشکیل می شود، اما این در اینجا مدل سازی نشده است. درعوض، ما به تغییر فازهای حالت جامد که از گرم کردن مواد و متعاقباً سرد شدن مواد ناشی می‌شوند، توجه داریم. شکل 5تکامل ترکیب فاز را در طول زمان، در نیمه راه در طول مسیر جوش نشان می دهد. ترکیب اولیه 89٪ فاز آلفا Widmanstätten و 11٪ فاز بتا است. با افزایش دما از ترانسوس بتا، فاز آلفا به فاز بتا حل می شود. با عبور قوس جوش، ماده در زیر ترانوس بتا سرد می‌شود و فاز بتا به Widmanstätten آلفا تبدیل می‌شود. با سرد شدن بیشتر در زیر دمای شروع مارتنزیت، فاز آلفای مارتنزیتی تشکیل می شود. این مثال شامل یک پاس جوش است. در شرایط چند پاس جوش، ترکیب فاز با هر پاس جوش تغییر می کند. با انجام شبیه‌سازی‌های به اصطلاح جوشکاری چند پاسی، می‌توان بینشی در مورد چگونگی توسعه مواد در منطقه تحت تأثیر حرارت (HAZ) به دست آورد.
شکل 5: تکامل ترکیب فاز در طول زمان.
منابع
1. J. Goldak، A. Chakravarti، و M. Bibby، “یک مدل المان محدود جدید برای جوشکاری منابع حرارتی” Metall. ترانس. ب ، جلد. 15، صص 299-305، 1984.
2. E. Salsi, M. Chiumenti, and M. Cervera, “Modeling of Microstructure Evolution of Ti6Al4V for Additive Manufacturing,” Metals , vol. 8، صفحات 633-657، 2018.
3. SM Kelly، مدلسازی حرارتی و ریزساختاری فرآیندهای رسوب فلز با کاربرد در Ti-6Al-4V ، پایان نامه دکتری، ویرجینیا تک، 2004.
https://doi.org/10.1103/PhysRevLett.93.111111، Google Scholar Crossref، CAS 4. JI Qazi, ON Senkov, J. Rahim, and FH (Sam) Froes, “Kinetics of Martensite Decomposition in Ti-6Al-4V- xH آلیاژها، مات . علمی مهندسی ، جلد A359، صص 101-1 137-149، 2003.
مسیر کتابخانه برنامه: ماژول_پردازش_فلز/تبدیل_فاز_تیتانیوم/جوشکاری_صفحه_تیتانیوم
دستورالعمل مدلسازی
از منوی File ، New را انتخاب کنید .
جدید
در پنجره جدید ، روی  Model  Wizard کلیک کنید .
مدل جادوگر
1
در پنجره Model  Wizard ، روی  3D کلیک کنید .
2
در درخت انتخاب فیزیک ، انتقال حرارت   انتقال حرارت  در  جامدات  (ht) و انتقال حرارت  > پردازش فلز >  تبدیل فاز آلفا-بتا  (abp) را انتخاب کنید .
3
روی افزودن کلیک کنید .
4
 روی مطالعه کلیک کنید .
5
در درخت انتخاب  مطالعه ، General  Studies>Time  Dependent را انتخاب کنید .
6
 روی Done کلیک کنید .
تعاریف جهانی
پارامترهای 1
1
در پنجره Model  Builder ، در قسمت Global  Definitions روی Parameters  1 کلیک کنید .
2
در پنجره تنظیمات برای پارامترها ، بخش پارامترها را پیدا کنید .
3
در جدول تنظیمات زیر را وارد کنید:
 
نام
اصطلاح
ارزش
شرح
Lx
5[cm]
0.05 متر
طول بشقاب
Ly
3.5[cm]
0.035 متر
عرض بشقاب
Lz
5[mm]
0.005 متر
ضخامت صفحه
Qw
800[W]
800 وات
قدرت جوش
خوب
1[mm/s]
0.001 متر بر ثانیه
سرعت جوش
آ
4[mm]
0.004 متر
عرض بیضی گلداک
ب
4[mm]
0.004 متر
عمق بیضی گلداک
cr
8 [mm]
0.008 متر
طول بیضی گلداک، عقب
رجوع کنید به
4[mm]
0.004 متر
بیضی گلداک، جلو
fr
2/(cf/cr+1)
1.3333
پارامتر گلداک
ff
2-fr
0.66667
پارامتر گلداک
q0
6*sqrt(3)*fr*Qw/a/b/cr/pi/sqrt(pi)
1.5553E10 W/m³
چگالی توان گلداک
تعاریف
متغیرهای 1
1
در پنجره Model  Builder ، گره Component   (comp1)>Definitions را گسترش دهید .
2
روی Definitions کلیک راست کرده و Variables را انتخاب کنید .
3
در پنجره تنظیمات برای متغیرها ، بخش متغیرها را پیدا کنید .
4
در جدول تنظیمات زیر را وارد کنید:
 
نام
اصطلاح
واحد
شرح
X0
vel*t
متر
موقعیت فعلی قوس جوش
تحلیلی 1 (an1)
1
در نوار ابزار Home ، روی  Functions کلیک کنید و Local>Analytic را انتخاب کنید .
2
در پنجره تنظیمات برای تحلیل ، قسمت تعریف را پیدا کنید .
3
در قسمت متن Expression ، q0*exp(-3*(dX^2/C^2 + dY^2/A^2 + dZ^2/B^2)) را تایپ کنید .
4
در قسمت متن Arguments ، dX، dY، dZ، q0، A، B، C را تایپ کنید .
5
قسمت Units را پیدا کنید . در قسمت متن تابع ، W/m^3 را تایپ کنید .
6
در جدول تنظیمات زیر را وارد کنید:
 
بحث و جدل
واحد
dX
متر
dY
متر
dZ
متر
q0
W/m^3
آ
متر
ب
متر
سی
متر
درون یابی 1 (int1)
1
در نوار ابزار Home ، روی  Functions کلیک کنید و Local>Interpolation را انتخاب کنید .
2
در پنجره تنظیمات برای درون یابی ، قسمت Definition را پیدا کنید .
3
در قسمت متن نام تابع  ، xieqAlpha را تایپ کنید .
4
 روی Load  from  File کلیک کنید .
5
به پوشه Application Libraries مدل بروید و روی فایل welding_of_a_titanium_plate_xieqalpha.txt دوبار کلیک کنید .
6
قسمت Units را پیدا کنید . در جدول Function تنظیمات زیر را وارد کنید:
 
تابع
واحد
xieqAlpha
1
7
در جدول Argument تنظیمات زیر را وارد کنید:
 
بحث و جدل
واحد
تی
tenC
درون یابی 2 (int2)
1
در نوار ابزار Home ، روی  Functions کلیک کنید و Local>Interpolation را انتخاب کنید .
2
در پنجره تنظیمات برای درون یابی ، قسمت Definition را پیدا کنید .
3
در قسمت متن نام تابع  ، ttt1 را تایپ کنید .
4
 روی Load  from  File کلیک کنید .
5
به پوشه Application Libraries مدل بروید و روی فایل welding_of_a_titanium_plate_ttt1.txt دوبار کلیک کنید .
6
بخش Interpolation  و  Extrapolation را پیدا کنید . از لیست Extrapolation ، خطی را انتخاب کنید .
7
قسمت Units را پیدا کنید . در جدول Function تنظیمات زیر را وارد کنید:
 
تابع
واحد
ttt1
1
8
در جدول Argument تنظیمات زیر را وارد کنید:
 
بحث و جدل
واحد
تی
tenC
درون یابی 3 (int3)
1
در نوار ابزار Home ، روی  Functions کلیک کنید و Local>Interpolation را انتخاب کنید .
2
در پنجره تنظیمات برای درون یابی ، قسمت Definition را پیدا کنید .
3
در قسمت متن نام تابع  ، ttt50 را تایپ کنید .
4
 روی Load  from  File کلیک کنید .
5
به پوشه Application Libraries مدل بروید و روی فایل welding_of_a_titanium_plate_ttt50.txt دوبار کلیک کنید .
6
بخش Interpolation  و  Extrapolation را پیدا کنید . از لیست Extrapolation ، خطی را انتخاب کنید .
7
قسمت Units را پیدا کنید . در جدول Function تنظیمات زیر را وارد کنید:
 
تابع
واحد
ttt50
1
8
در جدول Argument تنظیمات زیر را وارد کنید:
 
بحث و جدل
واحد
تی
tenC
درون یابی 4 (int4)
1
در نوار ابزار Home ، روی  Functions کلیک کنید و Local>Interpolation را انتخاب کنید .
2
در پنجره تنظیمات برای درون یابی ، قسمت Definition را پیدا کنید .
3
در قسمت متن نام تابع  ، fDiss را تایپ کنید .
4
 روی Load  from  File کلیک کنید .
5
به پوشه Application Libraries مدل بروید و روی فایل welding_of_a_titanium_plate_fdiss.txt دوبار کلیک کنید .
6
قسمت Units را پیدا کنید . در جدول Function تنظیمات زیر را وارد کنید:
 
تابع
واحد
fDiss
1
7
در جدول Argument تنظیمات زیر را وارد کنید:
 
بحث و جدل
واحد
تی
ک
درون یابی 5 (int5)
1
در نوار ابزار Home ، روی  Functions کلیک کنید و Local>Interpolation را انتخاب کنید .
2
در پنجره تنظیمات برای درون یابی ، قسمت Definition را پیدا کنید .
3
در قسمت متن نام تابع  ، ttt1m را تایپ کنید .
4
 روی Load  from  File کلیک کنید .
5
به پوشه Application Libraries مدل بروید و روی فایل welding_of_a_titanium_plate_ttt1m.txt دوبار کلیک کنید .
6
بخش Interpolation  و  Extrapolation را پیدا کنید . از لیست Extrapolation ، خطی را انتخاب کنید .
7
قسمت Units را پیدا کنید . در جدول Function تنظیمات زیر را وارد کنید:
 
تابع
واحد
ttt1m
1
8
در جدول Argument تنظیمات زیر را وارد کنید:
 
بحث و جدل
واحد
تی
tenC
درون یابی 6 (int6)
1
در نوار ابزار Home ، روی  Functions کلیک کنید و Local>Interpolation را انتخاب کنید .
2
در پنجره تنظیمات برای درون یابی ، قسمت Definition را پیدا کنید .
3
در قسمت متن نام تابع  ، ttt99m را تایپ کنید .
4
 روی Load  from  File کلیک کنید .
5
به پوشه Application Libraries مدل بروید و روی فایل welding_of_a_titanium_plate_ttt99m.txt دوبار کلیک کنید .
6
بخش Interpolation  و  Extrapolation را پیدا کنید . از لیست Extrapolation ، خطی را انتخاب کنید .
7
قسمت Units را پیدا کنید . در جدول Function تنظیمات زیر را وارد کنید:
 
تابع
واحد
ttt99m
1
8
در جدول Argument تنظیمات زیر را وارد کنید:
 
بحث و جدل
واحد
تی
tenC
داده‌های TTT وارد شده از یک محور زمان لگاریتمی استفاده می‌کنند، بنابراین باید داده‌ها را برای استفاده از آن در مدل‌سازی تبدیل فاز تبدیل کنیم.
تحلیلی 2 (an2)
1
در نوار ابزار Home ، روی  Functions کلیک کنید و Local>Analytic را انتخاب کنید .
2
در پنجره تنظیمات برای تحلیل ، قسمت تعریف را پیدا کنید .
3
در قسمت متن Expression ، 10^ttt1(x) را تایپ کنید .
4
قسمت Units را پیدا کنید . در قسمت Function text، s را تایپ کنید .
5
در جدول تنظیمات زیر را وارد کنید:
 
بحث و جدل
واحد
ایکس
ک
تحلیلی 3 (an3)
1
در نوار ابزار Home ، روی  Functions کلیک کنید و Local>Analytic را انتخاب کنید .
2
در پنجره تنظیمات برای تحلیل ، قسمت تعریف را پیدا کنید .
3
در قسمت متن Expression ، 10^ttt50(x) را تایپ کنید .
4
قسمت Units را پیدا کنید . در قسمت Function text، s را تایپ کنید .
5
در جدول تنظیمات زیر را وارد کنید:
 
بحث و جدل
واحد
ایکس
ک
تحلیلی 4 (an4)
1
در نوار ابزار Home ، روی  Functions کلیک کنید و Local>Analytic را انتخاب کنید .
2
در پنجره تنظیمات برای تحلیل ، قسمت تعریف را پیدا کنید .
3
در قسمت متن Expression ، 10^ttt1m(x) را تایپ کنید .
4
قسمت Units را پیدا کنید . در قسمت Function text، s را تایپ کنید .
5
در جدول تنظیمات زیر را وارد کنید:
 
بحث و جدل
واحد
ایکس
ک
تحلیلی 5 (an5)
1
در نوار ابزار Home ، روی  Functions کلیک کنید و Local>Analytic را انتخاب کنید .
2
در پنجره تنظیمات برای تحلیل ، قسمت تعریف را پیدا کنید .
3
در قسمت متن Expression ، 10^ttt99m(x) را تایپ کنید .
4
قسمت Units را پیدا کنید . در قسمت Function text، s را تایپ کنید .
5
در جدول تنظیمات زیر را وارد کنید:
 
بحث و جدل
واحد
ایکس
ک
هندسه 1
بلوک 1 (blk1)
1
در پنجره Model  Builder ، گره Component   (comp1)>Geometry  1 را گسترش دهید .
2
روی Geometry  کلیک راست کرده و Block را انتخاب کنید .
3
در پنجره تنظیمات برای Block ، قسمت Size  and  Shape را پیدا کنید .
4
در قسمت متن Width ، Lx را تایپ کنید .
5
در قسمت Depth text Ly را تایپ کنید .
6
در قسمت متن ارتفاع ، Lz را تایپ کنید .
7
قسمت Position را پیدا کنید . در قسمت متن z ، -Lz را تایپ کنید .
8
برای گسترش بخش لایه ها کلیک کنید . زیربخش Layer  position را پیدا کنید . چک باکس Front را انتخاب کنید .
9
تیک Bottom را پاک کنید .
10
در جدول تنظیمات زیر را وارد کنید:
 
نام لایه
ضخامت (متر)
لایه 1
0.2 * دروغ
11
 روی Build  Selected کلیک کنید .
انتقال حرارت در جامدات (HT)
منبع حرارت 1
1
در پنجره Model  Builder ، در قسمت Component   (comp1) روی انتقال حرارت  در جامدات (ht) کلیک راست کرده و منبع حرارت را انتخاب کنید .
2
در پنجره تنظیمات برای منبع گرما  ، بخش انتخاب دامنه را پیدا کنید .
3
از لیست انتخاب ، همه  دامنه ها را انتخاب کنید .
4
قسمت منبع حرارت  را پیدا کنید . در قسمت متنی ، (X>=X0)*an1(X-X0,Y,Z,q0,a,b,cf) + (X<X0)*an1(X-X0,Y,Z, را تایپ کنید. q0، a، b، cr) .
شار حرارتی 1
1
در نوار ابزار Physics ، روی  Boundaries کلیک کنید و Heat  Flux را انتخاب کنید .
2
فقط مرزهای 1، 3-5، و 7-11 را انتخاب کنید.
3
در پنجره تنظیمات برای شار گرما  ، قسمت Material Type را پیدا کنید .
4
از لیست نوع مواد  ، جامد را انتخاب کنید .
5
قسمت Heat  Flux را پیدا کنید . از لیست نوع شار  ، شار حرارتی همرفتی را انتخاب کنید .
6
در قسمت متن h ، 10 را تایپ کنید .
تابش سطح به محیط 1
1
در نوار ابزار Physics ، روی  Boundaries کلیک کنید و Surface-to-Ambient  Radiation را انتخاب کنید .
2
فقط مرزهای 1، 3-5، و 7-11 را انتخاب کنید.
3
در پنجره تنظیمات برای تابش سطح به محیط  ، بخش تابش سطح به محیط را پیدا کنید .
4
از لیست ε ، User  defined را انتخاب کنید . در قسمت متن مرتبط، 0.4 را تایپ کنید .
تبدیل فاز آلفا-بتا (ABP)
1
در پنجره Model  Builder ، در قسمت Component   (comp1) روی Alpha-Beta  Phase  Transformation  (abp) کلیک کنید .
2
در پنجره تنظیمات برای تبدیل فاز آلفا-بتا  ، قسمت Material Properties را پیدا کنید .
3
روی Create  Compound  Material در گوشه سمت راست بالای بخش کلیک کنید .
بتا
1
در پنجره Model  Builder ، در قسمت Component   (comp1)> Alpha-Beta  Phase  Transformation  (abp) روی Beta کلیک کنید .
2
در پنجره تنظیمات برای فاز متالورژی  ، بخش مواد فاز را پیدا کنید .
3
روی Create  Phase  Material در گوشه سمت راست بالای بخش کلیک کنید .
Widmanstätten آلفا
1
در پنجره Model  Builder ، روی Widmanstätten  Alpha کلیک کنید .
2
در پنجره تنظیمات برای فاز متالورژی  ، بخش مواد فاز را پیدا کنید .
3
روی Create  Phase  Material در گوشه سمت راست بالای بخش کلیک کنید .
آلفای مارتنزیتی
1
در پنجره Model  Builder ، روی Martensitic  Alpha کلیک کنید .
2
در پنجره تنظیمات برای فاز متالورژی  ، بخش مواد فاز را پیدا کنید .
3
روی Create  Phase  Material در گوشه سمت راست بالای بخش کلیک کنید .
بتا به Widmanstätten Alpha
1
در پنجره Model  Builder ، روی Beta  to  Widmanstätten  Alpha کلیک کنید .
2
در پنجره تنظیمات برای تبدیل فاز  ، بخش تبدیل فاز را پیدا کنید .
3
از لیست فرمولاسیون ، داده های نمودار TTT  را انتخاب کنید .
4
در قسمت متن ξ eq d ، xieqAlpha(abp.T) را تایپ کنید .
5
منحنی TTT  1 را پیدا کنید . در قسمت متنی 1 ، 0.01 را تایپ کنید .
6
در قسمت متن 1 ، an2(abp.T) را تایپ کنید .
7
منحنی TTT  2 را پیدا کنید . در قسمت متنی 2 ، 0.5 را تایپ کنید .
8
در قسمت متن 2 ، an3(abp.T) را تایپ کنید .
آلفا به بتا
1
در پنجره Model  Builder ، روی Alpha  to  Beta کلیک کنید .
2
در پنجره تنظیمات برای تبدیل فاز  ، بخش تبدیل فاز را پیدا کنید .
3
در قسمت متنی −> d ، 0.5*fDiss(abp.T)^2 * 1[1/s] را تایپ کنید .
مارتنزیتی آلفا تا بتا
1
در پنجره Model  Builder ، روی Martensitic  Alpha  to  Beta کلیک کنید .
2
در پنجره تنظیمات برای تبدیل فاز  ، بخش تبدیل فاز را پیدا کنید .
3
از لیست فرمولاسیون ، داده های نمودار TTT  را انتخاب کنید .
4
منحنی TTT  1 را پیدا کنید . در قسمت متنی 1 ، 0.01 را تایپ کنید .
5
در قسمت متن 1 ، an4(abp.T) را تایپ کنید .
6
منحنی TTT  2 را پیدا کنید . در قسمت متنی 2 ، 0.99 را تایپ کنید .
7
در قسمت متن 2 ، an5(abp.T) را تایپ کنید .
آلفای مارتنزیتی تا آلفای Widmanstätten
1
در پنجره Model  Builder ، روی Martensitic  Alpha  تا  Widmanstätten  Alpha کلیک کنید .
2
در پنجره تنظیمات برای تبدیل فاز  ، بخش تبدیل فاز را پیدا کنید .
3
از لیست فرمولاسیون ، داده های نمودار TTT  را انتخاب کنید .
4
منحنی TTT  1 را پیدا کنید . در قسمت متنی 1 ، 0.01 را تایپ کنید .
5
در قسمت متن 1 ، an4(abp.T) را تایپ کنید .
6
منحنی TTT  2 را پیدا کنید . در قسمت متنی 2 ، 0.99 را تایپ کنید .
7
در قسمت متن 2 ، an5(abp.T) را تایپ کنید .
تشکیل مجدد بتا
1
در پنجره Model  Builder ، روی Beta  Re-Formation کلیک کنید .
2
در پنجره تنظیمات برای تبدیل فاز  ، بخش تبدیل فاز را پیدا کنید .
3
از لیست مدل تبدیل فاز  ، Johnson-Mehl-Avrami-Kolmogorov (JMAK) را انتخاب کنید .
4
در قسمت متن τ −> d ، 5 را تایپ کنید .
5
در قسمت متن −> d ، 2 را تایپ کنید .
تعاریف جهانی
بتا (abpphase1mat)
در پنجره Model  Builder ، گره Global  Definitions>Materials را گسترش دهید .
تحلیلی 1 (an1)
1
در پنجره Model  Builder ، گره بتا  (abpphase1mat) را گسترش دهید .
2
روی Global  Definitions>Materials>Beta  (abpphase1mat)>Basic  (def) کلیک راست کرده و Functions>Analytic را انتخاب کنید .
3
در پنجره تنظیمات برای تحلیل ، قسمت تعریف را پیدا کنید .
4
در قسمت متن Arguments ، T را تایپ کنید .
5
در قسمت متن Expression ، 0.3+0.021*T را تایپ کنید .
6
قسمت Units را پیدا کنید . در قسمت متن تابع ، W/m/K را تایپ کنید .
7
در جدول تنظیمات زیر را وارد کنید:
 
بحث و جدل
واحد
تی
ک
8
در قسمت متن نام تابع  ، k را تایپ کنید .
بتا (abpphase1mat)
1
در پنجره Model  Builder ، در قسمت Global  Definitions>Materials>Beta  (abpphase1mat) روی Basic  (def) کلیک کنید .
2
در پنجره تنظیمات برای Basic ، قسمت Output  Properties را پیدا کنید .
3
در جدول تنظیمات زیر را وارد کنید:
 
ویژگی
متغیر
اصطلاح
واحد
اندازه
رسانایی گرمایی
k_iso ; kii = k_iso، kij = 0
k(T)
W/(m·K)
3×3
4
قسمت Model  Inputs را پیدا کنید .  روی Select  Quantity کلیک کنید .
5
در کادر محاوره‌ای Physical  Quantity ، General>Temperature  (K) را در درخت انتخاب کنید.
6
روی OK کلیک کنید .
7
در پنجره تنظیمات برای Basic ، قسمت Output  Properties را پیدا کنید .
8
در جدول تنظیمات زیر را وارد کنید:
 
ویژگی
متغیر
اصطلاح
واحد
اندازه
تراکم
rho
4700
کیلوگرم بر متر مکعب
1×1
1
در نوار ابزار Home ، روی  Functions کلیک کنید و Global>Analytic را انتخاب کنید .
2
در پنجره تنظیمات برای تحلیل ، فیلد متن برچسب را تایپ کنید .
3
در قسمت متن نام تابع  ، C را تایپ کنید .
4
قسمت Definition را پیدا کنید . در قسمت متن Arguments ، T را تایپ کنید .
5
در قسمت متن Expression ، 480+0.24*T را تایپ کنید .
6
قسمت Units را پیدا کنید . در جدول تنظیمات زیر را وارد کنید:
 
بحث و جدل
واحد
تی
ک
7
در قسمت متن تابع ، J/kg/K را تایپ کنید .
بتا (abpphase1mat)
1
در پنجره Model  Builder ، در قسمت Global  Definitions>Materials>Beta  (abpphase1mat) روی Basic  (def) کلیک کنید .
2
در پنجره تنظیمات برای Basic ، قسمت Output  Properties را پیدا کنید .
3
در جدول تنظیمات زیر را وارد کنید:
 
ویژگی
متغیر
اصطلاح
واحد
اندازه
ظرفیت گرمایی در فشار ثابت
Cp
C(T)
J/(kg·K)
1×1
تحلیلی 1 (an1)
1
در پنجره Model  Builder ، گره Widmanstätten  Alpha  (abpphase2mat) را گسترش دهید .
2
روی Global  Definitions>Materials>Widmanstätten  Alpha  (abpphase2mat)>Basic  (def) کلیک راست کرده و Functions>Analytic را انتخاب کنید .
3
در پنجره تنظیمات برای تحلیل ، قسمت تعریف را پیدا کنید .
4
در قسمت متن Arguments ، T را تایپ کنید .
5
در قسمت متن Expression ، 0.1+0.016*T را تایپ کنید .
6
قسمت Units را پیدا کنید . در قسمت متن تابع ، W/m/K را تایپ کنید .
7
در جدول تنظیمات زیر را وارد کنید:
 
بحث و جدل
واحد
تی
ک
8
در قسمت متن نام تابع  ، k را تایپ کنید .
Widmanstätten Alpha (abpphase2mat)
1
در پنجره Model  Builder ، در قسمت Global  Definitions>Materials>Widmanstätten  Alpha  (abpphase2mat) روی Basic  (def) کلیک کنید .
2
در پنجره تنظیمات برای Basic ، قسمت Output  Properties را پیدا کنید .
3
در جدول تنظیمات زیر را وارد کنید:
 
ویژگی
متغیر
اصطلاح
واحد
اندازه
رسانایی گرمایی
k_iso ; kii = k_iso، kij = 0
k(T)
W/(m·K)
3×3
4
قسمت Model  Inputs را پیدا کنید .  روی Select  Quantity کلیک کنید .
5
در کادر محاوره‌ای Physical  Quantity ، General>Temperature  (K) را در درخت انتخاب کنید.
6
روی OK کلیک کنید .
7
در پنجره تنظیمات برای Basic ، قسمت Output  Properties را پیدا کنید .
8
در جدول تنظیمات زیر را وارد کنید:
 
ویژگی
متغیر
اصطلاح
واحد
اندازه
تراکم
rho
4400
کیلوگرم بر متر مکعب
1×1
تحلیلی 2 (an2)
1
در نوار ابزار Home ، روی  Functions کلیک کنید و Global>Analytic را انتخاب کنید .
2
در پنجره تنظیمات برای تحلیل ، در قسمت متن نام تابع ، C را تایپ کنید .
3
قسمت Definition را پیدا کنید . در قسمت متن Arguments ، T را تایپ کنید .
4
در قسمت متن Expression ، 480+0.24*T را تایپ کنید .
5
قسمت Units را پیدا کنید . در جدول تنظیمات زیر را وارد کنید:
 
بحث و جدل
واحد
تی
ک
6
در قسمت متن تابع ، J/kg/K را تایپ کنید .
Widmanstätten Alpha (abpphase2mat)
1
در پنجره Model  Builder ، در قسمت Global  Definitions>Materials>Widmanstätten  Alpha  (abpphase2mat) روی Basic  (def) کلیک کنید .
2
در پنجره تنظیمات برای Basic ، قسمت Output  Properties را پیدا کنید .
3
در جدول تنظیمات زیر را وارد کنید:
 
ویژگی
متغیر
اصطلاح
واحد
اندازه
ظرفیت گرمایی در فشار ثابت
Cp
C(T)
J/(kg·K)
1×1
تحلیلی 1 (an1)
1
در پنجره Model  Builder ، گره Martensitic  Alpha  (abpphase3mat) را گسترش دهید .
2
روی Global  Definitions>Materials>Martensitic  Alpha  (abpphase3mat)>Basic  (def) کلیک راست کرده و Functions>Analytic را انتخاب کنید .
3
در پنجره تنظیمات برای تحلیل ، قسمت تعریف را پیدا کنید .
4
در قسمت متن Arguments ، T را تایپ کنید .
5
در قسمت متن Expression ، 0.1+0.016*T را تایپ کنید .
6
قسمت Units را پیدا کنید . در قسمت متن تابع ، W/m/K را تایپ کنید .
7
در جدول تنظیمات زیر را وارد کنید:
 
بحث و جدل
واحد
تی
ک
8
در قسمت متن نام تابع  ، k را تایپ کنید .
مارتنزیتی آلفا (abpphase3mat)
1
در پنجره Model  Builder ، در قسمت Global  Definitions>Materials>Martensitic  Alpha  (abpphase3mat) روی Basic  (def) کلیک کنید .
2
در پنجره تنظیمات برای Basic ، قسمت Output  Properties را پیدا کنید .
3
در جدول تنظیمات زیر را وارد کنید:
 
ویژگی
متغیر
اصطلاح
واحد
اندازه
رسانایی گرمایی
k_iso ; kii = k_iso، kij = 0
k(T)
W/(m·K)
3×3
4
قسمت Model  Inputs را پیدا کنید .  روی Select  Quantity کلیک کنید .
5
در کادر محاوره‌ای Physical  Quantity ، General>Temperature  (K) را در درخت انتخاب کنید.
6
روی OK کلیک کنید .
7
در پنجره تنظیمات برای Basic ، قسمت Output  Properties را پیدا کنید .
8
در جدول تنظیمات زیر را وارد کنید:
 
ویژگی
متغیر
اصطلاح
واحد
اندازه
تراکم
rho
4400
کیلوگرم بر متر مکعب
1×1
تحلیلی 2 (an2)
1
در نوار ابزار Home ، روی  Functions کلیک کنید و Global>Analytic را انتخاب کنید .
2
در پنجره تنظیمات برای تحلیل ، در قسمت متن نام تابع ، C را تایپ کنید .
3
قسمت Definition را پیدا کنید . در قسمت متن Arguments ، T را تایپ کنید .
4
در قسمت متن Expression ، 480+0.24*T را تایپ کنید .
5
قسمت Units را پیدا کنید . در جدول تنظیمات زیر را وارد کنید:
 
بحث و جدل
واحد
تی
ک
6
در قسمت متن تابع ، J/kg/K را تایپ کنید .
مارتنزیتی آلفا (abpphase3mat)
1
در پنجره Model  Builder ، در قسمت Global  Definitions>Materials>Martensitic  Alpha  (abpphase3mat) روی Basic  (def) کلیک کنید .
2
در پنجره تنظیمات برای Basic ، قسمت Output  Properties را پیدا کنید .
3
در جدول تنظیمات زیر را وارد کنید:
 
ویژگی
متغیر
اصطلاح
واحد
اندازه
ظرفیت گرمایی در فشار ثابت
Cp
C(T)
J/(kg·K)
1×1
مش 1
نقشه برداری 1
1
در نوار ابزار Mesh ، روی  Boundary کلیک کنید و Mapped را انتخاب کنید .
2
فقط مرز 1 را انتخاب کنید.
سایز 1
1
روی Mapped  کلیک راست کرده و Size را انتخاب کنید .
2
در پنجره تنظیمات برای اندازه ، قسمت اندازه عنصر  را پیدا کنید .
3
از لیست از پیش تعریف شده ، Extremely  fine را انتخاب کنید .
Quad رایگان 1
1
در نوار ابزار Mesh ، روی  Boundary کلیک کنید و Free  Quad را انتخاب کنید .
2
فقط مرز 5 را انتخاب کنید.
سایز 1
1
روی Free  Quad  کلیک راست کرده و Size را انتخاب کنید .
2
در پنجره تنظیمات برای اندازه ، قسمت اندازه عنصر  را پیدا کنید .
3
از لیست از پیش تعریف شده ، Extra  fine را انتخاب کنید .
جارو 1
در نوار ابزار Mesh ، روی  Swept کلیک کنید .
سایز 1
1
روی Swept  کلیک راست کرده و Size را انتخاب کنید .
2
در پنجره تنظیمات برای اندازه ، قسمت اندازه عنصر  را پیدا کنید .
3
از لیست از پیش تعریف شده ، Extra  fine را انتخاب کنید .
4
 روی ساخت  همه کلیک کنید .
مطالعه 1
مرحله 1: وابسته به زمان
1
در پنجره Model  Builder ، در بخش مطالعه  1 ، روی Step  1:  Time  Dependent کلیک کنید .
2
در پنجره تنظیمات مربوط به زمان  وابسته ، قسمت تنظیمات مطالعه  را پیدا کنید .
3
در قسمت متن زمان خروجی  ، range(0,2.5,500) را تایپ کنید .
4
در نوار ابزار صفحه اصلی ،  روی محاسبه کلیک کنید .
نتایج
Cut Point 3D 1
1
در نوار ابزار نتایج ، بر روی  Cut  Point  3D کلیک کنید .
2
در پنجره تنظیمات برای Cut  Point  3D ، بخش Point  Data را پیدا کنید .
3
در قسمت متن X ، Lx/2 را تایپ کنید .
4
در قسمت متن عدد 0 را تایپ کنید .
5
در قسمت متن Z ، 0 را تایپ کنید .
6
از لیست Snapping ، Snap  to  nearترین  لبه را انتخاب کنید .
7
 روی Plot کلیک کنید .
گروه طرح 1 بعدی 6
1
در نوار ابزار نتایج ، روی  1D  Plot  Group کلیک کنید .
2
در پنجره Settings for 1D  Plot  Group ، بخش Data را پیدا کنید .
3
از لیست Dataset ، Cut  Point  3D  1 را انتخاب کنید .
4
برای گسترش بخش عنوان کلیک کنید . از لیست نوع عنوان  ، هیچکدام را انتخاب کنید .
5
قسمت Plot  Settings را پیدا کنید . چک باکس Two  y-axes را انتخاب کنید .
6
قسمت Legend را پیدا کنید . از لیست Layout ، ناحیه محور گراف بیرونی  را انتخاب کنید .
نمودار نقطه 1
1
روی 1D  Plot  Group  کلیک راست کرده و Point  Graph را انتخاب کنید .
2
در پنجره تنظیمات نمودار نقطه‌ای  ، روی Replace Expression در گوشه سمت راست بالای بخش y-Axis Data کلیک کنید . از منو، Component (comp1)> Alpha-Beta Phase Transformation> Phase Componation>abp.phase1.xi – Phase fraction را انتخاب کنید .
3
برای گسترش بخش Legends کلیک کنید . تیک Show  legends را انتخاب کنید .
4
از فهرست Legends ، Manual را انتخاب کنید .
5
در جدول تنظیمات زیر را وارد کنید:
 
افسانه ها
بتا
نمودار نقطه 2
1
در پنجره Model  Builder ، روی 1D  Plot  Group  6 کلیک راست کرده و Point  Graph را انتخاب کنید .
2
در پنجره تنظیمات نمودار نقطه‌ای  ، روی Replace Expression در گوشه سمت راست بالای بخش y-Axis Data کلیک کنید . از منو، Component (comp1)> Alpha-Beta Phase Transformation> Phase Componation>abp.phase2.xi – Phase fraction را انتخاب کنید .
3
قسمت Legends را پیدا کنید . تیک Show  legends را انتخاب کنید .
4
از فهرست Legends ، Manual را انتخاب کنید .
5
در جدول تنظیمات زیر را وارد کنید:
 
افسانه ها
Widmanstätten آلفا
نمودار نقطه 3
1
روی 1D  Plot  Group  کلیک راست کرده و Point  Graph را انتخاب کنید .
2
در پنجره تنظیمات نمودار نقطه‌ای  ، روی Replace Expression در گوشه سمت راست بالای بخش y-Axis Data کلیک کنید . از منو، Component (comp1)> Alpha-Beta Phase Transformation> Phase Componation>abp.phase3.xi – Phase fraction را انتخاب کنید .
3
قسمت Legends را پیدا کنید . تیک Show  legends را انتخاب کنید .
4
از فهرست Legends ، Manual را انتخاب کنید .
5
در جدول تنظیمات زیر را وارد کنید:
 
افسانه ها
آلفای مارتنزیتی
نمودار نقطه 4
1
روی 1D  Plot  Group  کلیک راست کرده و Point  Graph را انتخاب کنید .
2
در پنجره تنظیمات برای نمودار نقطه  ، بخش y-Axis را پیدا کنید .
3
کادر Plot  on  secondary  y-axis را انتخاب کنید .
4
قسمت y-Axis  Data را پیدا کنید . از لیست واحد ، degC را انتخاب کنید .
5
قسمت Legends را پیدا کنید . تیک Show  legends را انتخاب کنید .
6
از فهرست Legends ، Manual را انتخاب کنید .
7
در جدول تنظیمات زیر را وارد کنید:
 
افسانه ها
درجه حرارت
8
برای گسترش بخش Coloring  and  Style کلیک کنید . زیربخش Line  style را پیدا کنید . از لیست Line ، Dashed را انتخاب کنید .
9
در نوار ابزار 1D Plot Group 6 ، روی  Plot کلیک کنید .