بازیابی گرمای زمین برای گرمایش از کف تابشی
معرفی
گرمایش زمین گرمایی یک روش سازگار با محیط زیست و کارآمد انرژی برای تامین گرما خانه های مدرن و عایق بندی شده است. هزینههای سرمایهگذاری بیشتر از گرمایش گاز یا نفت است، بنابراین نیاز به بررسی احتمالات چیدمان کلکتورهای حرارتی در زیر سطح وجود دارد.

شکل 1: نمونه ای از کویل های بازیابی گرما در یک باغ که از طریق یک پمپ حرارتی به یک خانه متصل شده اند.
این مثال سه الگوی مختلف تعبیه شده در سطح زیرین را مقایسه می کند. برای محاسبات از خواص حرارتی معمولی بالاترین لایه خاک در باغ استفاده می شود.

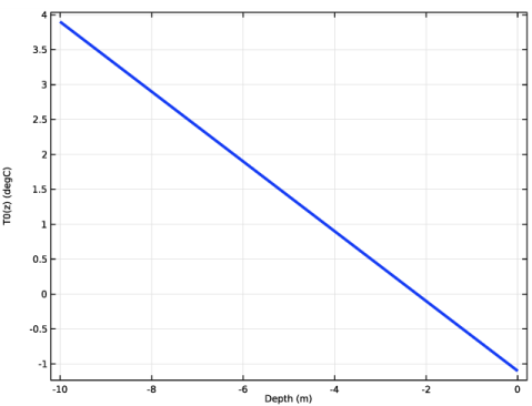
شکل 2: الگوهای کلکتورهای حرارتی.
تعریف مدل
سه الگوی آرایش لوله در شکل 2 نشان داده شده است . عملکرد دنبالهای هندسی در COMSOL Multiphysics امکان انجام آنالیز روی آرایش لولههای مختلف در یک مدل را با استفاده از یک جاروی پارامتریک ارائه میدهد.
این مدل از توابع و رویدادها برای توصیف شرایط عملیاتی واقعی استفاده می کند. برای سطح زیرین، یک گرادیان دما با عمق تجویز می شود. در سطح، یک دمای وابسته به زمان اعمال می شود که مربوط به تغییرات دمای معمولی در اروپای مرکزی است.
با فرض اینکه خصوصیات سیال مستقل از دما هستند، دمای ورودی کلکتور حرارتی مورد نیاز برای رسیدن به یک نرخ استخراج حرارت معین، P ( t ) توسط
(1)
که ρ و C p چگالی و ظرفیت گرمایی ویژه برای سیال داخل لولهها و
سرعت جریان حجمی است که در اینجا برابر با 1 لیتر در ثانیه است.
استخراج گرمای دینامیکی با توجه به نیاز گرمای معمولی روزانه یک خانه تکخانواری آغاز میشود. فرآیند استخراج گرما هر روز فعال است تا زمانی که گرمای مورد نیاز استخراج شود. با رسیدن به تقاضا، استخراج گرما متوقف می شود اما جریان سیال در لوله ها همچنان با سرعت کمتری ادامه می یابد. در این کاربرد، این دبی در هنگام غیرفعال بودن پمپ به 1/10 دبی عملیاتی یعنی 0.1 لیتر در ثانیه تنظیم می شود.
نتایج و بحث
دمای لوله برای الگوی سوم پس از دو روز در زیر نشان داده شده است.

شکل 3 دمای خروجی را در طول زمان برای الگوی سوم نشان می دهد. مهم است که مطمئن شوید که سیال داخل لوله ها بالاتر از مقدار مشخصی باقی می ماند. در این مثال از آب به عنوان سیال کار استفاده می شود. با این حال، در طول زمستان، دمای محیط در بالای سطح ممکن است به مقادیر زیر صفر درجه سانتیگراد برسد. در موقعیتهای عملی، ضدیخها – مانند گلیسرول – به آب اضافه میشوند و این کاربرد فرض میکند که چنین افزودنیهایی خواص حرارتی آن را تغییر نمیدهند.

شکل 3: دمای خروجی برای الگوی سوم.
تغییرات دما در شکل 3 مربوط به لحظات روشن یا خاموش شدن بخاری است. نمودار وضعیت بخاری در زمان در شکل 4 نشان داده شده است .

شکل 4: حالت گرمکن به موقع برای الگوی سوم. مقدار 0 نشان می دهد که بخاری خاموش است و 1 نشان می دهد که بخاری روشن است.
حالت بخاری خود به تولید گرمای روزانه بستگی دارد. به محض اینکه تولید گرما به نیاز روزانه برسد، حالت بخاری تا روز بعد خاموش می شود. شکل 5 تولید گرما را در دو روز زمان شبیه سازی نشان می دهد. درست پس از نیاز روزانه 30 کیلووات ساعت، تولید تا روز بعد متوقف می شود.

شکل 5: تولید گرما برای الگوی سوم.
نکاتی درباره پیاده سازی COMSOL
این مدل از چندین تابع درون یابی استفاده می کند که بر اساس تخمین های تقریبی و تغییرات دمای محلی است که ممکن است برای مورد شما متفاوت باشد. توابع باید با داده های اندازه گیری شده شما جایگزین شوند. سپس، باید مطمئن شوید که قدمت زمانی هنوز به اندازه کافی مناسب است تا آنها را برطرف کنید.
مسیر کتابخانه برنامه: Pipe_Flow_Module/Heat_Transfer/ground_heat_recovery
دستورالعمل های مدل سازی
از منوی File ، New را انتخاب کنید .
جدید
در پنجره جدید ، روی
Model Wizard کلیک کنید .
مدل جادوگر
1 | در پنجره Model Wizard ، روی |
2 | در درخت Select Physics ، Heat Transfer>Heat Transfer in Solids (ht) را انتخاب کنید . |
3 | روی افزودن کلیک کنید . |
4 | در درخت Select Physics ، Heat Transfer>Heat Transfer in Pipes (htp) را انتخاب کنید . |
5 | روی افزودن کلیک کنید . |
6 | در درخت Select Physics ، Mathematics>ODE و DAE Interfaces>Events (ev) را انتخاب کنید . |
7 | روی افزودن کلیک کنید . |
8 | در درخت Select Physics ، Mathematics>ODE و DAE Interfaces>Global ODEs and DAEs (ge) را انتخاب کنید . |
9 | روی افزودن کلیک کنید . |
10 |
11 | در درخت انتخاب مطالعه ، General Studies>Time Dependent را انتخاب کنید . |
12 |
هندسه 1
این مثال نحوه استفاده از وارد کردن قطعات و برنامه نویسی را برای انجام شبیه سازی برای هندسه های مختلف نشان می دهد. مطابق شکل زیر، با وارد کردن قطعات از یک فایل شروع کنید.
1 | در نوار ابزار Geometry ، روی |
2 | به پوشه Application Libraries مدل بروید و روی فایل ground_heat_recovery_geom_sequence.mph دوبار کلیک کنید . |
3 | در کادر محاورهای Load Part ، در لیست Select parts ، Pattern 1 ، Pattern 2 و Pattern 3 را انتخاب کنید . |
4 | روی OK کلیک کنید . |
تعاریف جهانی
پارامترهای 1
پارامتری را تعریف کنید که برای فراخوانی الگوهای مختلف استفاده می شود.
1 | در پنجره Model Builder ، در قسمت Global Definitions روی Parameters 1 کلیک کنید . |
2 | در پنجره تنظیمات برای پارامترها ، بخش پارامترها را پیدا کنید . |
3 | در جدول تنظیمات زیر را وارد کنید: |
نام | اصطلاح | ارزش | شرح |
الگو | 3 | 3 | پارامتر برای انتخاب الگو |
این پارامتر اکنون برای وارد کردن الگوهای مختلف به صفحه کار بر اساس یک عبارت منطقی استفاده می شود.
پارامترهای باقی مانده را اضافه کنید.
4 | در جدول تنظیمات زیر را وارد کنید: |
نام | اصطلاح | ارزش | شرح |
d_pipe | 36[mm] | 0.036 متر | قطر لوله در خاک |
flow rate_pipe | 1[l/s] | 0.001 m³/s | سرعت جریان در داخل لوله ها |
گرما_تقاضا | 30[کیلووات*ساعت] | 1.08E8 J | تقاضای گرمای روزانه |
قدرت | 4 [کیلووات] | 4000 وات | قدرت پمپ حرارتی |
dt | 30[s] | 30 ثانیه | منطقه انتقال حالت بخاری صاف |
عمق | 4[m] | 4 متر | عمق مبدل حرارتی |
Tz_depth | 0.5 [K/m] | 0.5 کیلو در متر | گرادیان دما |
ماه | 1 | 1 | شاخص ماه |
رطوبت | 1 | 1 | رطوبت خاک |
k_خاک | 0.18 [W/(m*K)]+(1.5-0.18)*رطوبت | 1.5 W/(m·K) | هدایت حرارتی خاک |
هندسه 1
صفحه کار 1 (wp1)
1 | در نوار ابزار هندسه ، روی صفحه |
2 | در پنجره تنظیمات برای صفحه کار ، قسمت تعریف هواپیما را پیدا کنید . |
3 | در قسمت متن مختصات z ، -depth را تایپ کنید . |
4 | قسمت Selections of Resulting Entities را پیدا کنید . زیربخش انتخاب تجمعی را پیدا کنید . روی New کلیک کنید . |
5 | در کادر محاوره ای New Cumulative Selection ، Pipes را در قسمت متن نام تایپ کنید . |
6 | روی OK کلیک کنید . |
مرحله فوق تضمین می کند که مستقل از الگوی انتخابی شما، لوله ها به درستی انتخاب شده اند.
7 | در پنجره تنظیمات برای صفحه کار ، روی نمایش صفحه کار کلیک کنید . |
صفحه کار 1 (wp1)>If 1 (if1)
1 | در نوار ابزار Work Plane ، روی |
2 | در پنجره تنظیمات برای If ، قسمت If را پیدا کنید . |
3 | در قسمت متن Condition ، الگو==1 را تایپ کنید . |
Work Plane 1 (wp1)>Import 1 (imp1)
1 | در نوار ابزار Work Plane ، روی |
2 | در پنجره تنظیمات برای واردات ، بخش واردات را پیدا کنید . |
3 | از لیست منبع ، ترتیب هندسه را انتخاب کنید . |
4 | از لیست هندسه ، الگوی 1 را انتخاب کنید . |
صفحه کار 1 (wp1)> Else If 1 (elseif1)
1 | در پنجره Model Builder ، روی Plane Geometry کلیک راست کرده و Programming>Else If را انتخاب کنید . |
2 | در پنجره تنظیمات برای Else If ، قسمت Else If را پیدا کنید . |
3 | در قسمت متن Condition الگو==2 را تایپ کنید . |
Work Plane 1 (wp1)>Import 2 (imp2)
1 | در نوار ابزار Work Plane ، روی |
2 | در پنجره تنظیمات برای واردات ، بخش واردات را پیدا کنید . |
3 | از لیست منبع ، ترتیب هندسه را انتخاب کنید . |
4 | از لیست هندسه ، الگوی 2 را انتخاب کنید . |
صفحه کار 1 (wp1)> Else 1 (else1)
روی Plane Geometry کلیک راست کرده و Programming>Else را انتخاب کنید .
Work Plane 1 (wp1)>Import 3 (imp3)
1 | در نوار ابزار Work Plane ، روی |
2 | در پنجره تنظیمات برای واردات ، بخش واردات را پیدا کنید . |
3 | از لیست منبع ، ترتیب هندسه را انتخاب کنید . |
4 | از لیست هندسه ، الگوی 3 را انتخاب کنید . |
چند ضلعی 1 (pol1)
1 | در پنجره Model Builder ، روی Geometry 1 کلیک راست کرده و More Primitives>Polygon را انتخاب کنید . |
2 | در پنجره تنظیمات چند ضلعی ، بخش مختصات را پیدا کنید . |
3 | در جدول تنظیمات زیر را وارد کنید: |
X (M) | Y (M) | Z (M) |
2.5 | 20 | 0 |
2.5 | 20 | -عمق |
4 | قسمت Selections of Resulting Entities را پیدا کنید . زیربخش انتخاب تجمعی را پیدا کنید . از فهرست مشارکت در ، Pipes را انتخاب کنید . |
کپی 1 (کپی1)
1 | در نوار ابزار Geometry ، روی |
2 | فقط شی pol1 را انتخاب کنید. |
3 | در پنجره تنظیمات برای کپی ، بخش Displacement را پیدا کنید . |
4 | در قسمت متن x ، 0.5 را تایپ کنید . |
5 | قسمت Selections of Resulting Entities را پیدا کنید . زیربخش انتخاب تجمعی را پیدا کنید . از فهرست مشارکت در ، Pipes را انتخاب کنید . |
بلوک 1 (blk1)
1 | در نوار ابزار Geometry ، روی |
2 | در پنجره تنظیمات برای Block ، قسمت Size and Shape را پیدا کنید . |
3 | در قسمت متن Width عدد 15 را تایپ کنید . |
4 | در قسمت Depth text عدد 22 را تایپ کنید . |
5 | در قسمت نوشتار Height ، depth+3[m] را تایپ کنید . |
6 | قسمت Position را پیدا کنید . در قسمت متن z ، -(depth+3[m]) را تایپ کنید . |
7 | قسمت Selections of Resulting Entities را پیدا کنید . زیربخش انتخاب تجمعی را پیدا کنید . روی New کلیک کنید . |
8 | در کادر محاوره ای New Cumulative Selection ، در قسمت متن نام، Ground را تایپ کنید . |
9 | روی OK کلیک کنید . |
10 | در پنجره تنظیمات برای Block ، روی |
11 |
تعاریف
پنهان کردن برای فیزیک 1
1 | در پنجره Model Builder ، گره Component 1 (comp1)>Definitions را گسترش دهید . |
2 | روی View 1 کلیک راست کرده و Hide for Physics را انتخاب کنید . |
3 | در پنجره تنظیمات برای پنهان کردن فیزیک ، قسمت انتخاب موجودیت هندسی را پیدا کنید . |
4 | از لیست سطح نهاد هندسی ، Boundary را انتخاب کنید . |
5 | فقط مرزهای 1، 2 و 4 را انتخاب کنید. |
تعاریف جهانی
توابع دمای سطح و دمای اولیه را تعریف کنید.
مشخصات دمای سالانه
1 | در نوار ابزار صفحه اصلی ، روی |
2 | در پنجره تنظیمات برای درون یابی ، نمایه دمای سالانه را در قسمت متن برچسب تایپ کنید . |
3 | قسمت Definition را پیدا کنید . در قسمت متن نام تابع ، T_z0 را تایپ کنید . |
4 |
5 | به پوشه Application Libraries مدل بروید و روی فایل ground_heat_recovery_T_surface.txt دوبار کلیک کنید . |
6 | بخش Interpolation و Extrapolation را پیدا کنید . از لیست Interpolation ، Piecewise cubic را انتخاب کنید . |
7 | قسمت Units را پیدا کنید . در جدول Argument تنظیمات زیر را وارد کنید: |
بحث و جدل | واحد |
تی | آ |
8 | در جدول Function تنظیمات زیر را وارد کنید: |
تابع | واحد |
T_z0 | tenC |
9 |
نتایج
مشخصات دما
1 | در پنجره تنظیمات برای گروه طرح 1 بعدی ، مشخصات دما را در قسمت نوشتار برچسب تایپ کنید . |
2 | برای گسترش بخش عنوان کلیک کنید . از لیست نوع عنوان ، هیچکدام را انتخاب کنید . |
3 | قسمت Plot Settings را پیدا کنید . |
4 | چک باکس x-axis label را انتخاب کنید . در قسمت متن مرتبط، ماه را تایپ کنید . |
تابع 1
1 | در پنجره Model Builder ، گره Temperature Profile را گسترش دهید ، سپس روی Function 1 کلیک کنید . |
2 | در پنجره تنظیمات برای تابع ، بخش y-Axis Data را پیدا کنید . |
3 | در قسمت متن Expression ، T_z0(root.t[a])[1/degC] را تایپ کنید . |
4 | قسمت x-Axis Data را پیدا کنید . در قسمت Expression text root.t*12 را تایپ کنید . |
5 | در قسمت متن با کران پایین ، 1 را تایپ کنید . |
6 | در قسمت متن کران بالا ، 12 را تایپ کنید . |
7 | در قسمت متن توضیحات ، ماه را تایپ کنید . |
8 | برای گسترش بخش Coloring and Style کلیک کنید . از لیست Width ، 3 را انتخاب کنید . |
نمودار خطی 1
1 | در پنجره Model Builder ، روی Temperature Profile کلیک راست کرده و Line Graph را انتخاب کنید . |
2 | در پنجره تنظیمات برای نمودار خط ، بخش داده را پیدا کنید . |
3 | از لیست Dataset ، Grid 1D 1 را انتخاب کنید . |
4 | قسمت y-Axis Data را پیدا کنید . در قسمت متن Expression ، T_z0(root.t[a])[1/degC] را تایپ کنید . |
5 | قسمت x-Axis Data را پیدا کنید . از لیست Parameter ، Expression را انتخاب کنید . |
6 | در فیلد متن Expression ، ماه را تایپ کنید . |
7 | برای گسترش بخش Coloring and Style کلیک کنید . از لیست رنگ ، سیاه را انتخاب کنید . |
8 | از لیست Width ، 3 را انتخاب کنید . |
9 | در نوار ابزار مشخصات دما ، روی ![]() |
تعاریف جهانی
گرادیان دما در عمق
1 | در نوار ابزار Home ، روی |
2 | در پنجره تنظیمات برای تحلیل ، Depth Temperature Gradient را در قسمت نوشتار Label تایپ کنید . |
3 | در قسمت متن نام تابع ، T0 را تایپ کنید . |
4 | قسمت Definition را پیدا کنید . در قسمت متن Expression ، T_z0(month[a]/12)[1/degC]+Tz_depth[m/K]*(-z) را تایپ کنید . |
5 | در قسمت متن Arguments ، z را تایپ کنید . |
6 | قسمت Units را پیدا کنید . در جدول تنظیمات زیر را وارد کنید: |
بحث و جدل | واحد |
z | متر |
7 | در قسمت متن تابع ، degC را تایپ کنید . |
8 | قسمت Plot Parameters را پیدا کنید . در جدول تنظیمات زیر را وارد کنید: |
بحث و جدل | حد پایین | حد بالا | واحد |
z | -10 | 0 | متر |
9 |
نتایج
گرادیان دما
1 | در پنجره تنظیمات برای گروه طرح 1 بعدی ، گرادیان دما را در قسمت نوشتار برچسب تایپ کنید . |
2 | قسمت عنوان را پیدا کنید . از لیست نوع عنوان ، هیچکدام را انتخاب کنید . |
3 | قسمت Plot Settings را پیدا کنید . |
4 | چک باکس x-axis label را انتخاب کنید . در قسمت متن مرتبط، Depth (m) را تایپ کنید . |
تابع 1
1 | در پنجره Model Builder ، گره Temperature Gradient را گسترش دهید ، سپس روی Function 1 کلیک کنید . |
2 | در پنجره تنظیمات برای Function ، بخش Coloring and Style را پیدا کنید . |
3 | از لیست Width ، 3 را انتخاب کنید . |
4 | در نوار ابزار Temperature Gradient ، روی ![]() |
تعاریف جهانی
عملکرد Heaviside صاف
1 | در نوار ابزار Home ، روی |
2 | در پنجره تنظیمات برای Step ، Smoothed Heaviside Function را در قسمت نوشتار Label تایپ کنید . |
3 | برای گسترش بخش Smoothing کلیک کنید . در قسمت متن Size of transition zone ، 1 را تایپ کنید . |
4 |
مواد
در مرحله بعد، خواص مواد برای سطح زیرین و سیال داخل لوله ها را اضافه کنید. خواص حرارتی و هیدرودینامیکی سیالات خنک کننده معمولی مشابه خواص آب است. از آب کتابخانه مواد داخلی به عنوان سیال داخل لوله ها استفاده کنید.
مواد را اضافه کنید
1 | در نوار ابزار Home ، روی |
2 | به پنجره Add Material بروید . |
3 | در درخت، Built-in>Water, liquid را انتخاب کنید . |
4 | روی Add to Component در نوار ابزار پنجره کلیک کنید . |
5 | در نوار ابزار Home ، روی |
مواد
آب، مایع (mat1)
1 | در پنجره تنظیمات برای مواد ، قسمت انتخاب موجودیت هندسی را پیدا کنید . |
2 | از لیست سطح موجودیت هندسی ، Edge را انتخاب کنید . |
3 | از لیست Selection ، Pipes را انتخاب کنید . |
خاک
1 | در پنجره Model Builder ، روی Materials کلیک راست کرده و Blank Material را انتخاب کنید . |
2 | در پنجره تنظیمات مواد ، خاک را در قسمت متن برچسب تایپ کنید . |
3 | قسمت انتخاب موجودیت هندسی را پیدا کنید . از لیست Selection ، Ground را انتخاب کنید . |
4 | بخش محتوای مواد را پیدا کنید . در جدول تنظیمات زیر را وارد کنید: |
ویژگی | متغیر | ارزش | واحد | گروه اموال |
رسانایی گرمایی | k_iso ; kii = k_iso، kij = 0 | k_خاک | W/(m·K) | پایه ای |
تراکم | rho | 1742 | کیلوگرم بر متر مکعب | پایه ای |
ظرفیت گرمایی در فشار ثابت | Cp | 1175 | J/(kg·K) | پایه ای |
رابط Heat Transfer in Solids را راه اندازی کنید. شرایط اولیه را روی دمای وابسته به عمق T_0 که قبلاً به عنوان یک تابع تعریف کرده بودید، تنظیم کنید.
انتقال حرارت در جامدات (HT)
مقادیر اولیه 1
1 | در پنجره Model Builder ، در قسمت Component 1 (comp1)>Heat Transfer in Solids (ht) روی مقادیر اولیه 1 کلیک کنید . |
2 | در پنجره تنظیمات برای مقادیر اولیه ، قسمت مقادیر اولیه را پیدا کنید . |
3 | در قسمت متن T ، T0(z) را تایپ کنید . |
دمای سطح، که به عنوان تابع T_z0 نیز تعریف می شود ، در زمان متفاوت است.
دما 1
1 | در نوار ابزار Physics ، روی |
2 | فقط مرز 4 را انتخاب کنید. |
3 | در پنجره تنظیمات دما ، قسمت دما را بیابید . |
4 | در قسمت متنی T 0 ، T_z0 (t+month[a]/12) را تایپ کنید . |
شار حرارتی 1
1 | در نوار ابزار Physics ، روی |
2 | فقط مرز 3 را انتخاب کنید. |
3 | در پنجره تنظیمات Heat Flux ، بخش Heat Flux را پیدا کنید . |
4 | در قسمت متن q 0 ، -ht.k_iso*Tz_depth را تایپ کنید . |
انتقال حرارت در لوله ها (HTP)
1 | در پنجره Model Builder ، در بخش 1 (comp1) روی انتقال حرارت در لولهها (htp) کلیک کنید . |
2 | در پنجره تنظیمات برای انتقال حرارت در لولهها ، قسمت Edge Selection را پیدا کنید . |
3 | از لیست Selection ، Pipes را انتخاب کنید . |
انتقال حرارت 1
1 | در پنجره Model Builder ، در قسمت Component 1 (comp1)>Heat Transfer in Pipes (htp) روی انتقال حرارت 1 کلیک کنید . |
2 | در پنجره تنظیمات برای انتقال حرارت ، بخش انتقال حرارت و انتقال حرارت را پیدا کنید . |
3 | در قسمت متن u ، flowrate_pipe*(1/10+heater_state_smoothed*9/10)/htp.A را تایپ کنید . |
خواص لوله 1
1 | در پنجره Model Builder ، روی Pipe Properties 1 کلیک کنید . |
2 | در پنجره تنظیمات برای ویژگی های لوله ، قسمت Pipe Shape را پیدا کنید . |
3 | از لیست، Circular را انتخاب کنید . |
4 | در قسمت متن d i ، d_pipe را تایپ کنید . |
تعاریف
برای ارزیابی دمای خروجی از یک جفت ادغام غیرمحلی استفاده کنید. سپس دمای ورودی برای لوله ها را می توان طبق رابطه 1 ارزیابی کرد .
ادغام 1 (در اول)
1 | در نوار ابزار تعاریف ، روی |
2 | در پنجره تنظیمات برای ادغام ، بخش انتخاب منبع را پیدا کنید . |
3 | از لیست سطح نهاد هندسی ، نقطه را انتخاب کنید . |
4 | فقط نقطه 11 را انتخاب کنید. |
ادغام 2 (intop2)
1 | در نوار ابزار تعاریف ، روی |
2 | در پنجره تنظیمات برای ادغام ، بخش انتخاب منبع را پیدا کنید . |
3 | از لیست سطح نهاد هندسی ، نقطه را انتخاب کنید . |
4 | فقط نقطه 7 را انتخاب کنید. |
متغیرهای 1
1 | در پنجره Model Builder ، روی Definitions کلیک راست کرده و Variables را انتخاب کنید . |
2 | در پنجره تنظیمات برای متغیرها ، بخش متغیرها را پیدا کنید . |
3 | در جدول تنظیمات زیر را وارد کنید: |
نام | اصطلاح | شرح |
بخاری_حالت_صاف شده | if(heater_state,1,step1((mod(t+dt/2,1[d])-dt)/dt))*if(t_stop>0,1-step1((t-(t_stop+dt/2) )/dt)، 1) | حالت گرمکن صاف |
T_out | در بالای 1 (T2) | دمای آب در خروجی لوله |
T_in | nojac(T_out-power*heater_state_smoothed/(intop1(htp.rho)*intop1(htp.Cp)*flow rate_pipe)) | دمای ورودی لوله ها |
انتقال حرارت در لوله ها (HTP)
دما 1
1 | در پنجره Model Builder ، در قسمت Component 1 (comp1)>Heat Transfer in Pipes (htp) روی Temperature 1 کلیک کنید . |
2 | در پنجره تنظیمات دما ، قسمت دما را بیابید . |
3 | در قسمت T in text، T_in را تایپ کنید . |
مقادیر اولیه 1
1 | در پنجره Model Builder ، روی مقادیر اولیه 1 کلیک کنید . |
2 | در پنجره تنظیمات برای مقادیر اولیه ، قسمت مقادیر اولیه را پیدا کنید . |
3 | در قسمت متن T 2 ، T0(z) را تایپ کنید . |
جریان گرما 1
1 | در نوار ابزار Physics ، روی |
2 | فقط نقطه 11 را انتخاب کنید. |
انتقال حرارت دیوار 1
1 | در نوار ابزار Physics ، روی |
2 | در پنجره تنظیمات برای انتقال حرارت دیوار ، قسمت Edge Selection را پیدا کنید . |
3 | از لیست Selection ، Pipes را انتخاب کنید . |
مقاومت فیلم داخلی 1
در نوار ابزار Physics ، روی
Attributes کلیک کنید و Internal Film Resistance را انتخاب کنید .
انتقال حرارت دیوار 1
در پنجره Model Builder ، روی Wall Heat Transfer 1 کلیک کنید .
لایه دیوار 1
1 | در نوار ابزار Physics ، روی |
2 | در پنجره تنظیمات برای لایه دیوار ، بخش مشخصات را پیدا کنید . |
3 | از فهرست k ، User defined را انتخاب کنید . |
4 | در قسمت متن، 400 را تایپ کنید . |
5 | از لیست Δ w ، User defined را انتخاب کنید . |
6 | در قسمت متن، 3.25[mm] را تایپ کنید . |
چند فیزیک
انتقال حرارت دیوار لوله 1 (pwhtc1)
در نوار ابزار Physics ، روی
Multiphysics Couplings کلیک کنید و Edge>Pipe Wall Heat Transfer را انتخاب کنید .
رویدادها (EV)
در پنجره Model Builder ، در قسمت Component 1 (comp1) روی رویدادها (ev) کلیک کنید .
حالات گسسته 1
1 | در نوار ابزار فیزیک ، روی |
2 | در پنجره تنظیمات برای وضعیت های گسسته ، بخش وضعیت های گسسته را پیدا کنید . |
3 | در جدول تنظیمات زیر را وارد کنید: |
نام | مقدار اولیه (U0) |
حالت_بخاری | 0 |
کشورهای شاخص 1
1 | در نوار ابزار فیزیک ، روی |
2 | در پنجره تنظیمات برای وضعیت های شاخص ، بخش متغیرهای شاخص را پیدا کنید . |
3 | در جدول تنظیمات زیر را وارد کنید: |
نام | G(V,VT,VTT,T) | مقدار اولیه (U0) |
حرارت_تفاوت | حرارت_تقاضا-حرارت_تولید | گرما_تقاضا |
رویداد صریح 1
1 | در نوار ابزار Physics ، روی |
2 | در پنجره تنظیمات برای رویداد واضح ، بخش زمانبندی رویداد را پیدا کنید . |
3 | در قسمت متن t i ، dt را تایپ کنید . |
4 | در قسمت متن T ، 24[h] را تایپ کنید . |
5 | قسمت Reinitialization را پیدا کنید . در جدول تنظیمات زیر را وارد کنید: |
متغیر | اصطلاح |
حالت_بخاری | 1 |
t_stop | تی |
heat_prod | 0 |
رویداد ضمنی 1
1 | در نوار ابزار فیزیک ، روی |
2 | در پنجره تنظیمات برای رویداد ضمنی ، بخش شرایط رویداد را پیدا کنید . |
3 | در قسمت متن Condition ، heat_diff<0 را تایپ کنید . |
4 | قسمت Reinitialization را پیدا کنید . در جدول تنظیمات زیر را وارد کنید: |
متغیر | اصطلاح |
حالت_بخاری | 0 |
ODE و DAE جهانی (GE)
معادلات جهانی 1
1 | در پنجره Model Builder ، در قسمت Component 1 (comp1)>Global ODEs and DAEs (ge) روی معادلات جهانی 1 کلیک کنید . |
2 | در پنجره تنظیمات برای معادلات جهانی ، بخش معادلات جهانی را پیدا کنید . |
3 | در جدول تنظیمات زیر را وارد کنید: |
نام | F(U,UT,UTT,T) (1) | مقدار اولیه (U_0) (1) | مقدار اولیه (U_T0) (1/S) |
heat_prod | power*heater_state-heat_prodt | 0 | 0 |
4 | قسمت Units را پیدا کنید . |
5 | در کادر محاورهای Physical Quantity ، انرژی را در قسمت متن تایپ کنید. |
6 |
7 | در درخت، General>Energy (J) را انتخاب کنید . |
8 | روی OK کلیک کنید . |
9 | در پنجره تنظیمات معادلات جهانی ، بخش واحدها را بیابید . |
10 |
11 | در کادر محاورهای Physical Quantity ، در قسمت متن، power را تایپ کنید. |
12 |
13 | در درخت، General>Power (W) را انتخاب کنید . |
14 | روی OK کلیک کنید . |
معادلات جهانی 2
1 | در نوار ابزار Global ODEs and DAEs ، روی معادلات |
2 | در پنجره تنظیمات برای معادلات جهانی ، بخش معادلات جهانی را پیدا کنید . |
3 | در جدول تنظیمات زیر را وارد کنید: |
نام | F(U,UT,UTT,T) (1) | مقدار اولیه (U_0) (1) | مقدار اولیه (U_T0) (1/S) |
t_stop | هیتر_وضعیت-ت_استاپ | 0 | 0 |
4 | قسمت Units را پیدا کنید . |
5 | در کادر محاورهای Physical Quantity ، زمان را در قسمت متن تایپ کنید. |
6 |
7 | در درخت، General>Time (s) را انتخاب کنید . |
8 | روی OK کلیک کنید . |
تعاریف
پروب ها را برای نظارت بر دمای خروجی، تولید گرما و وضعیت بخاری در حین حل تعریف کنید.
دمای خروجی
1 | در نوار ابزار تعاریف ، روی |
2 | در پنجره تنظیمات برای پروب متغیر جهانی ، دمای خروجی را در قسمت نوشتار برچسب تایپ کنید . |
3 | روی Replace Expression در گوشه سمت راست بالای بخش Expression کلیک کنید . از منو، Component 1 (comp1)>Definitions>Variables>T_out – دمای آب در خروجی لوله – K را انتخاب کنید . |
4 | قسمت Expression را پیدا کنید . از لیست جدول و واحد نمودار ، degC را انتخاب کنید . |
5 | کلیک کنید تا قسمت Table and Window Settings گسترش یابد . از لیست جدول خروجی ، جدول جدید را انتخاب کنید . |
6 | از لیست پنجره Plot ، پنجره جدید را انتخاب کنید . |
تولید حرارت
1 | در نوار ابزار تعاریف ، روی |
2 | در پنجره تنظیمات برای پروب متغیر جهانی ، Heat Production را در قسمت نوشتاری Label تایپ کنید . |
3 | قسمت Expression را پیدا کنید . از لیست جدول و واحد نمودار ، کیلووات ساعت را انتخاب کنید . |
4 | قسمت Table and Window Settings را پیدا کنید . از لیست جدول خروجی ، جدول جدید را انتخاب کنید . |
5 | از لیست پنجره Plot ، پنجره جدید را انتخاب کنید . |
حالت بخاری
1 | در نوار ابزار تعاریف ، روی |
2 | در پنجره تنظیمات برای پروب متغیر جهانی ، وضعیت گرمکن را در قسمت متن برچسب تایپ کنید . |
3 | روی Replace Expression در گوشه سمت راست بالای بخش Expression کلیک کنید . از منو، Component 1 (comp1)>Definitions>Variables>heater_state_smoothed -Smoothed heater state را انتخاب کنید . |
4 | قسمت Table and Window Settings را پیدا کنید . از لیست جدول خروجی ، جدول جدید را انتخاب کنید . |
5 | از لیست پنجره Plot ، پنجره جدید را انتخاب کنید . |
مش 1
لبه 1
1 | در نوار ابزار Mesh ، روی |
2 | در پنجره تنظیمات برای Edge ، قسمت Edge Selection را پیدا کنید . |
3 | از لیست Selection ، Pipes را انتخاب کنید . |
سایز 1
1 | روی Edge 1 کلیک راست کرده و Size را انتخاب کنید . |
2 | در پنجره تنظیمات برای اندازه ، قسمت انتخاب موجودیت هندسی را پیدا کنید . |
3 | از لیست سطح نهاد هندسی ، نقطه را انتخاب کنید . |
4 | فقط نقاط 7 و 11 را انتخاب کنید. |
5 | بخش اندازه عنصر را پیدا کنید . از لیست از پیش تعریف شده ، Extremely fine را انتخاب کنید . |
6 | روی دکمه Custom کلیک کنید . |
7 | قسمت پارامترهای اندازه عنصر را پیدا کنید . |
8 | کادر انتخاب حداکثر اندازه عنصر را انتخاب کنید . در قسمت متن مرتبط، 0.25 را تایپ کنید . |
سایز ۲
1 | در پنجره Model Builder ، روی Edge 1 کلیک راست کرده و Size را انتخاب کنید . |
2 | در پنجره تنظیمات برای اندازه ، قسمت اندازه عنصر را پیدا کنید . |
3 | از لیست از پیش تعریف شده ، Extra fine را انتخاب کنید . |
4 | روی دکمه Custom کلیک کنید . |
5 | قسمت پارامترهای اندازه عنصر را پیدا کنید . |
6 | کادر انتخاب حداکثر اندازه عنصر را انتخاب کنید . در قسمت متن مرتبط، 0.5 را تایپ کنید . |
7 | کادر حداقل اندازه عنصر را انتخاب کنید . در قسمت متن مرتبط، 0.02 را تایپ کنید . |
Tetrahedral رایگان 1
در نوار ابزار Mesh ، روی
Free Tetrahedral کلیک کنید .
اندازه
1 | در پنجره Model Builder ، روی Size کلیک کنید . |
2 | در پنجره تنظیمات برای اندازه ، قسمت اندازه عنصر را پیدا کنید . |
3 | از لیست Predefined ، Fine را انتخاب کنید . |
4 | در پنجره Model Builder ، روی Mesh 1 کلیک راست کرده و Build All را انتخاب کنید . |
مطالعه 1
جارو پارامتریک
1 | در نوار ابزار مطالعه ، روی |
2 | در پنجره تنظیمات برای جابجایی پارامتری ، بخش تنظیمات مطالعه را پیدا کنید . |
3 |
4 | در جدول تنظیمات زیر را وارد کنید: |
نام پارامتر | لیست مقادیر پارامتر | واحد پارامتر |
الگو (پارامتر برای انتخاب الگو) | 1 2 3 |
مرحله 1: وابسته به زمان
1 | در پنجره Model Builder ، روی Step 1: Time Dependent کلیک کنید . |
2 | در پنجره تنظیمات مربوط به زمان وابسته ، قسمت تنظیمات مطالعه را پیدا کنید . |
3 | از لیست واحد زمان ، d را انتخاب کنید . |
4 |
5 | در کادر محاورهای Range ، 3[h] را در قسمت متنی Step تایپ کنید . |
6 | در قسمت متن توقف ، 2 را تایپ کنید . |
7 | روی Replace کلیک کنید . |
راه حل 1 (sol1)
1 | در نوار ابزار مطالعه ، روی |
2 | در پنجره Model Builder ، گره Solution 1 (sol1) را گسترش دهید ، سپس روی Time-Dependent Solver 1 کلیک کنید . |
3 | در پنجره تنظیمات برای حل وابسته به زمان ، کلیک کنید تا بخش Time Steping گسترش یابد . |
4 | کادر مرحله اولیه را انتخاب کنید . در قسمت متن مرتبط، 0.1[s] را تایپ کنید . |
برای دقت بهتر، حلگر وابسته به زمان را مجبور کنید از مراحل زمانی کمتر از 30 دقیقه استفاده کند.
5 | از لیست محدودیت حداکثر گام ، Constant را انتخاب کنید . |
6 | در قسمت متن حداکثر گام ، 30[min] را تایپ کنید . |
برای حل موثر مشکل، تنظیم غیرخطی را شل کنید.
7 | در پنجره Model Builder ، گره Study 1>Solver Configurations>Solution 1 (sol1)>Time-Dependent Solver 1 را گسترش دهید ، سپس روی Fully Coupled 1 کلیک کنید . |
8 | در پنجره Settings for Fully Coupled ، برای گسترش بخش Method and Termination کلیک کنید . |
9 | در قسمت متنی Damping Factor ، 1 را تایپ کنید . |
10 | از لیست بهروزرسانی Jacobian ، Minimal را انتخاب کنید . |
11 | در نوار ابزار مطالعه ، |
نتایج
خط 1
1 | در پنجره Model Builder ، گره Temperature (htp) را گسترش دهید ، سپس روی Line 1 کلیک کنید . |
2 | در پنجره تنظیمات خط ، بخش Expression را پیدا کنید . |
3 | از لیست واحد ، degC را انتخاب کنید . |
4 | در نوار ابزار دما (htp) ، روی |
سطح 1
در پنجره Model Builder ، روی Temperature (pwhtc1) کلیک راست کرده و Surface را انتخاب کنید .
برش 1
در پنجره Model Builder ، بر روی Slice 1 کلیک راست کرده و Disable را انتخاب کنید .
سطح 1
1 | در پنجره Model Builder ، روی Surface 1 کلیک کنید . |
2 | در پنجره تنظیمات برای Surface ، بخش Expression را پیدا کنید . |
3 | از لیست واحد ، degC را انتخاب کنید . |
4 | برای گسترش بخش Inherit Style کلیک کنید . از لیست Plot ، خط 1 را انتخاب کنید . |
خط 1
1 | در پنجره Model Builder ، روی Line 1 کلیک کنید . |
2 | در پنجره تنظیمات خط ، بخش Expression را پیدا کنید . |
3 | از لیست واحد ، degC را انتخاب کنید . |
4 | قسمت Coloring and Style را پیدا کنید . در قسمت متن فاکتور مقیاس شعاع ، 5 را تایپ کنید . |
5 | در نوار ابزار دما (pwhtc1) ، روی |
دمای خروجی
1 | در پنجره Model Builder ، در بخش Results روی Probe Plot Group 8 کلیک کنید . |
2 | در پنجره تنظیمات برای گروه طرح 1 بعدی ، دمای خروجی را در قسمت نوشتار برچسب تایپ کنید . |
این گروه نمودار مطابق با شکل 3 است .
3 | در نوار ابزار دمای خروجی ، روی |
تولید حرارت
1 | در پنجره Model Builder ، در بخش Results روی Probe Plot Group 9 کلیک کنید . |
2 | در پنجره تنظیمات برای گروه طرح 1 بعدی ، تولید گرما را در قسمت نوشتار برچسب تایپ کنید . |
3 | قسمت Plot Settings را پیدا کنید . |
4 | کادر بررسی برچسب محور y را انتخاب کنید . در قسمت متن مرتبط، Heat Production (kWh) را تایپ کنید . |
5 | در نوار ابزار Heat Production ، روی |
حالت بخاری
1 | در پنجره Model Builder ، در بخش Results روی Probe Plot Group 10 کلیک کنید . |
2 | در پنجره Settings for 1D Plot Group ، Heater State را در قسمت نوشتار Label تایپ کنید . |
3 | قسمت Plot Settings را پیدا کنید . |
4 | کادر بررسی برچسب محور y را انتخاب کنید . در فیلد متن مرتبط، وضعیت گرمکن را تایپ کنید . |
5 | در نوار ابزار Heater State ، روی |

