ارزیابی ضرایب دینامیکی یک یاتاقان ژورنال ساده
معرفی
هنگام تجزیه و تحلیل روتورها، معمول است که یاتاقان ها از طریق ضرایب دینامیکی موثر آنها در مورد یک موقعیت تعادل ایستا مدل می شوند. این مثال روشی را برای محاسبه چنین ضرایبی برای یک یاتاقان ژورنال ساده نشان می دهد. ضرایب محاسبه شده با مقادیر تحلیلی به دست آمده از حل معادله رینولدز با استفاده از تقریب یاتاقان کوتاه مقایسه می شوند. برای معنی دار شدن مقایسه، طول بلبرینگ بسیار کوچکتر از قطر آن در نظر گرفته می شود.
تعریف مدل
یاتاقان ژورنال ساده دارای شعاع 0.1 متر و طول 0.04 متر است. سرعت زاویه ای ژورنال 1000  راد بر ثانیه و فاصله بین ژورنال و یاتاقان 0.0001  متر است. ویسکوزیته و چگالی روانکار به ترتیب 0.02  Pa·s و 866  کیلوگرم بر متر مکعب در نظر گرفته شده است . برای یافتن موقعیت تعادل مربوط به بارهای استاتیکی مختلف، وزن مجله از 500 نیوتن تا 50000 نیوتن متغیر است.
سختی یاتاقان و ضرایب میرایی برای موقعیتهای تعادلی با حل یک شکل آشفته معادله رینولدز محاسبه میشوند.
ضرایب سختی و میرایی بدون بعد به دست آمده از حل تحلیلی معادله رینولدز ( مرجع 1 ) عبارتند از:

و

پارامتر ε خارج از مرکز نسبی مجله است. Q توسط

فاکتورهای مقیاس برای پارامترهای بدون بعد فوق عبارتند از k 0  =  W / C برای سفتی و c 0  =  W / ( C Ω ) برای میرایی. بار تحمل W , C فاصله و Ω سرعت زاویه ای ژورنال است.
نتایج و بحث
شکل 1 نشان می دهد که چگونه خروج از مرکز ژورنال با بار استاتیکی روی یاتاقان تغییر می کند. شکل نشان می دهد که با افزایش بار، اثر آن بر خروج از مرکز کاهش می یابد. این به وضوح رفتار غیر خطی یاتاقان را نشان می دهد.

شکل 1: خروج از مرکز در مقابل بار.
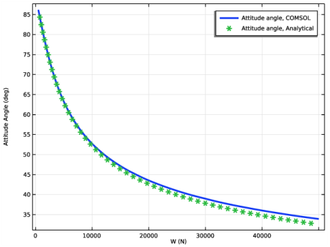
شکل 2 زاویه نگرش محاسبه شده را با توجه به جهت بارگذاری در مقایسه با منحنی تحلیلی نشان می دهد. برای بارهای کوچک، منحنی ها منطبق هستند. با افزایش بار، ژورنال به طور فزاینده ای در یاتاقان غیرعادی می شود. این باعث ایجاد تفاوت در نیروهای برشی در مکان های حداقل و حداکثر ضخامت فیلم می شود. این تفاوت منجر به نیروی خالص بر روی ژورنال می شود. در موارد خروج از مرکز بالا، محل تعادل ژورنال توسط تعادل بارهای خارجی بر یاتاقان و فشار و نیروهای برشی تعیین می شود.

شکل 2: زاویه نگرش در مقابل بار.
حداکثر فشار فیلم و حداقل ضخامت فیلم دو پارامتر مهم عملکرد برای یک یاتاقان هستند. اینها در شکل 3 نشان داده شده اند .

شکل 3: حداکثر فشار و حداقل ضخامت فیلم در برابر بار.
شکل 4 و شکل 5 مقادیر محاسبه شده سختی بدون بعد و ضریب میرایی بدون بعد را با مقادیر تحلیلی مربوطه مقایسه می کنند. مقادیر محاسبه شده با مقادیر تحلیلی مطابقت دارند.

شکل 4: سفتی بدون بعد.

شکل 5: میرایی بدون بعد.
ارجاع
1. JS Rao، Rotor Dynamics ، بخش 7.6، صفحات 179-191، New Age International (P) Limited، 2014.
مسیر کتابخانه برنامه: Rotordynamics_Module/Verification_Examples/journal_bearing_dynamic_coefficients
دستورالعمل های مدل سازی
از منوی File ، New را انتخاب کنید .
جدید
در پنجره جدید ، روی  Model  Wizard کلیک کنید .
 Model  Wizard کلیک کنید .
 Model  Wizard کلیک کنید .
 Model  Wizard کلیک کنید .مدل جادوگر
| 1 | در پنجره Model  Wizard ، روی   3D کلیک کنید . | 
| 2 | در درخت Select  Physics ، Structural  Mechanics>Rotordynamics>Hydrodynamic  Bearing  (hdb) را انتخاب کنید . | 
| 3 | روی افزودن کلیک کنید . | 
| 4 |  روی مطالعه کلیک کنید . | 
| 5 | در درخت انتخاب  مطالعه ، General  Studies>Stationary را انتخاب کنید . | 
| 6 |  روی Done کلیک کنید . | 
تعاریف جهانی
پارامترهای 1
| 1 | در پنجره Model  Builder ، در قسمت Global  Definitions روی Parameters  1 کلیک کنید . | 
| 2 | در پنجره تنظیمات برای پارامترها ، بخش پارامترها را پیدا کنید . | 
| 3 | در جدول تنظیمات زیر را وارد کنید: | 
| نام | اصطلاح | ارزش | شرح | 
| Rj | 0.1[m] | 0.1 متر | شعاع مجله | 
| اچ | 0.04[m] | 0.04 متر | عرض مجله | 
| سی | 1e-4[m] | 1E-4 متر | ترخیص کالا از گمرک | 
| امگا | 1000[rad/s] | 1000 راد در ثانیه | سرعت زاویهای | 
| mu0 | 0.02 [Pa*s] | 0.02 پاس | ویسکوزیته روان کننده | 
| put0 | 866 [kg/m^3] | 866 کیلوگرم بر متر مکعب | چگالی روان کننده | 
| دبلیو | 500 [N] | 500 نیوتن | بار استاتیک بر روی بلبرینگ | 
هندسه 1
سیلندر 1 (cyl1)
| 1 | در نوار ابزار Geometry ، روی   Cylinder کلیک کنید . | 
| 2 | در پنجره تنظیمات سیلندر ، قسمت Object  Type را پیدا کنید . | 
| 3 | از لیست Type ، Surface را انتخاب کنید . | 
| 4 | قسمت Size  and  Shape را پیدا کنید . در قسمت متن Radius ، Rj را تایپ کنید . | 
| 5 | در قسمت متن ارتفاع ، H را تایپ کنید . | 
| 6 | قسمت Axis را پیدا کنید . از لیست نوع محور  ، x-axis را انتخاب کنید . | 
| 7 |  روی Build  All  Objects کلیک کنید . | 
متغیرهای سختی تحلیلی و میرایی را تعریف کنید.
تعاریف
متغیرهای 1
| 1 | در پنجره Model  Builder ، گره Component  1  (comp1)>Definitions را گسترش دهید . | 
| 2 | روی Definitions کلیک راست کرده و Variables را انتخاب کنید . | 
| 3 | در پنجره تنظیمات برای متغیرها ، بخش متغیرها را پیدا کنید . | 
| 4 | در جدول تنظیمات زیر را وارد کنید: | 
| نام | اصطلاح | واحد | شرح | 
| k0 | دستشویی | N/M | پوسته پوسته شدن سفتی | 
| c0 | W/(C*Omega) | N·s/m | جرم گیری میرایی | 
| ه | hdb.hjb1.ec_rel | عجیب و غریب | |
| phi0 | atan2(pi*sqrt(1-e^2)،4*e) | راد | زاویه نگرش | 
| س | (ft^2+(16-ft^2)*e^2)^1.5 | متغیر کمکی | |
| k22 | 4*(16*e^2+pi^2*(2-e^2))/Q | سفتی بدون ابعاد، 22 جزء | |
| k23 | pi*(pi^2*(1-e^2)-16*e^4)/(e*sqrt(1-e^2)*Q) | سفتی بدون ابعاد، 23 جزء | |
| k32 | -pi*(pi^2*(1+2*e^2)*(1-e^2)+32*e^2*(1+e^2))/(e*sqrt(1-e^ 2)*س) | سفتی بدون ابعاد، 32 جزء | |
| k33 | 4*(pi^2*(1+2*e^2)*(1-e^2)+32*e^2*(1+e^2))/((1-e^2)*Q ) | سفتی بدون ابعاد، 33 جزء | |
| c22 | 2*pi*sqrt(1-e^2)*(pi^2*(1+2*e^2)-16*e^2)/(e*Q) | میرایی بدون ابعاد، 22 جزء | |
| c23 | 8*(16*e^2-pi^2*(1+2*e^2))/Q | میرایی بدون ابعاد، 23 جزء | |
| c32 | c23 | میرایی بدون بعد، 32 جزء | |
| c33 | 2*pi*(48*e^2+pi^2*(1-e^2)^2)/(e*sqrt(1-e^2)*Q) | میرایی بدون بعد، 33 جزء | 
بلبرینگ هیدرودینامیکی (HDB)
| 1 | در پنجره Model  Builder ، در قسمت Component  1  (comp1) روی Hydrodynamic  Bearing  (hdb) کلیک کنید . | 
| 2 | در پنجره تنظیمات برای یاتاقان هیدرودینامیکی  ، بخش ضرایب دینامیک را پیدا کنید . | 
| 3 | تیک محاسبه  ضرایب پویا  را انتخاب کنید . | 
یاتاقان ژورنال هیدرودینامیکی 1
| 1 | در پنجره Model  Builder ، در قسمت Component  1  (comp1)>Hydrodynamic  Bearing  (hdb) روی Hydrodynamic  Journal  Bearing  1 کلیک کنید . | 
| 2 | در پنجره تنظیمات مربوط به یاتاقان ژورنال هیدرودینامیک  ، بخش خصوصیات بلبرینگ را پیدا کنید . | 
| 3 | در قسمت متن C ، C را تایپ کنید . | 
| 4 | قسمت ویژگی های مجله  را پیدا کنید . از لیست Specify ، Load را انتخاب کنید . | 
| 5 | بردار W j را به صورت مشخص کنید | 
| 0 | ایکس | 
| 0 | y | 
| -دبلیو | z | 
| 6 | بردار u J 0 را به عنوان مشخص کنید | 
| 0 | ایکس | 
| 0 | y | 
| 0 | z | 
| 7 | در قسمت متن Ω ، Omega را تایپ کنید . | 
شرایط مرزی Gümbel را انتخاب کنید تا فیلم را با فشار مثبت فقط برای مشارکت در تعادل بار در نظر بگیرید.
| 8 | بخش شرایط مرزی فیلم  را پیدا کنید . از لیست نوع فیلم ، Gümbel را انتخاب کنید . | 
| 9 | قسمت Fluid  Properties را پیدا کنید . از لیست μ ، User  defined را انتخاب کنید . در قسمت متن مرتبط، mu0 را تایپ کنید . | 
| 10 | از لیست ρ ، User  defined را انتخاب کنید . در قسمت متن مرتبط، rho0 را تایپ کنید . | 
برای حل فشار از مش نقشه برداری شده استفاده کنید.
مش 1
نقشه برداری 1
| 1 | در نوار ابزار Mesh ، روی   Boundary کلیک کنید و Mapped را انتخاب کنید . | 
| 2 | در پنجره تنظیمات برای Mapped ، بخش انتخاب مرز  را پیدا کنید . | 
| 3 | از لیست انتخاب ، همه  مرزها را انتخاب کنید . | 
توزیع 1
| 1 | روی Mapped  1 کلیک راست کرده و Distribution را انتخاب کنید . | 
| 2 | فقط لبه های 1، 2، 4 و 6 را انتخاب کنید. | 
| 3 | در پنجره تنظیمات برای توزیع ، بخش توزیع را پیدا کنید . | 
| 4 | در قسمت متنی Number  of  Elements عدد 15 را تایپ کنید . | 
توزیع 2
| 1 | در پنجره Model  Builder ، روی Mapped  1 کلیک راست کرده و Distribution را انتخاب کنید . | 
| 2 | فقط Edge 7 را انتخاب کنید. | 
| 3 | در پنجره تنظیمات برای توزیع ، بخش توزیع را پیدا کنید . | 
| 4 | در فیلد متنی Number  of  elements ، 4 را تایپ کنید . | 
| 5 |  روی ساخت  همه کلیک کنید . | 
مطالعه 1
مرحله 1: ثابت
| 1 | در پنجره Model  Builder ، در بخش مطالعه  1 ، روی Step  1:  Stationary کلیک کنید . | 
| 2 | در پنجره تنظیمات برای Stationary ، برای گسترش بخش Study  Extensions کلیک کنید . | 
| 3 | کادر بررسی جارو کمکی  را انتخاب کنید . | 
| 4 |  روی افزودن کلیک کنید . | 
| 5 | در جدول تنظیمات زیر را وارد کنید: | 
| نام پارامتر | لیست مقادیر پارامتر | واحد پارامتر | 
| W (بار استاتیک روی یاتاقان) | محدوده (500,500,50000) | ن | 
| 6 | در نوار ابزار صفحه اصلی ،   روی محاسبه کلیک کنید . | 
نتایج
فشار سیال (hdb)
در نوار ابزار فشار سیال (hdb) ، روی  Plot کلیک کنید .
 Plot کلیک کنید .
 Plot کلیک کنید .
 Plot کلیک کنید .برای رسم منحنی خروج از مرکز در برابر بار نشان داده شده در شکل 1 از دستورالعمل های زیر استفاده کنید .
عجیب و غریب
| 1 | در نوار ابزار صفحه اصلی ، روی   Add  Plot  Group کلیک کنید و 1D  Plot  Group را انتخاب کنید . | 
| 2 | در پنجره Settings for 1D  Plot  Group ، Eccentricity را در قسمت نوشتار Label تایپ کنید . | 
جهانی 1
| 1 | بر روی Eccentricity کلیک راست کرده و Global را انتخاب کنید . | 
| 2 | در پنجره تنظیمات برای جهانی ، روی Replace  Expression در گوشه سمت راست بالای بخش y-Axis  Data کلیک کنید . از منو، Component  1  (comp1)>Hydrodynamic  Bearing>Hydrodynamic  Journal  Bearing  1>Eccentricity  and  attitude  angle>hdb.hjb1.ec_rel  –  Relative  excentricity را انتخاب کنید . | 
| 3 | برای گسترش بخش Coloring  and  Style کلیک کنید . از لیست Width ، 2 را انتخاب کنید . | 
| 4 | در نوار ابزار Eccentricity ، روی   Plot کلیک کنید . | 
| 5 |  روی دکمه Show  Legends در نوار ابزار Graphics کلیک کنید . | 
عجیب و غریب
| 1 | در پنجره Model  Builder ، بر روی Eccentricity کلیک کنید . | 
| 2 | در پنجره تنظیمات برای گروه طرح 1 بعدی  ، برای گسترش بخش عنوان کلیک کنید . | 
| 3 | از لیست نوع عنوان  ، هیچکدام را انتخاب کنید . | 
| 4 | در نوار ابزار Eccentricity ، روی   Plot کلیک کنید . | 
برای مقایسه زوایای نگرش محاسبه شده و تحلیلی نشان داده شده در شکل 2 ، دستورالعمل های زیر را دنبال کنید.
زاویه نگرش
| 1 | در نوار ابزار صفحه اصلی ، روی   Add  Plot  Group کلیک کنید و 1D  Plot  Group را انتخاب کنید . | 
| 2 | در پنجره تنظیمات برای گروه طرح 1 بعدی  ، زاویه نگرش را در قسمت نوشتار برچسب تایپ کنید . | 
جهانی 1
| 1 | روی Attitude  Angle کلیک راست کرده و Global را انتخاب کنید . | 
| 2 | در پنجره تنظیمات برای جهانی ، روی Replace  Expression در گوشه سمت راست بالای بخش y-Axis  Data کلیک کنید . از منو، Component  1  (comp1)>Hydrodynamic  Bearing>Hydrodynamic  Journal  Bearing  1>Eccentricity  and  attitude  angle>hdb.hjb1.phia  –  Attitude  angle  –  rad را انتخاب کنید . | 
| 3 | قسمت y-Axis  Data را پیدا کنید . در جدول تنظیمات زیر را وارد کنید: | 
| اصطلاح | واحد | شرح | 
| hdb.hjb1.phia | درجه | زاویه نگرش، COMSOL | 
| 4 | قسمت Coloring  and  Style را پیدا کنید . از لیست Width ، 3 را انتخاب کنید . | 
جهانی 2
| 1 | در پنجره Model  Builder ، روی Attitude  Angle کلیک راست کرده و Global را انتخاب کنید . | 
| 2 | در پنجره تنظیمات برای جهانی ، بخش y-Axis  Data را پیدا کنید . | 
| 3 | در جدول تنظیمات زیر را وارد کنید: | 
| اصطلاح | واحد | شرح | 
| phi0 | درجه | زاویه نگرش، تحلیلی | 
| 4 | قسمت Coloring  and  Style را پیدا کنید . زیربخش Line  style را پیدا کنید . از لیست Line ، هیچکدام را انتخاب کنید . | 
| 5 | زیربخش نشانگرهای خط  را پیدا کنید . از لیست نشانگر ، چرخه را انتخاب کنید . | 
| 6 | از لیست موقعیت یابی ، Interpolated را انتخاب کنید . | 
| 7 | در قسمت متن شماره ، 50 را تایپ کنید . | 
| 8 | در نوار ابزار Attitude Angle ، روی   Plot کلیک کنید . | 
زاویه نگرش
| 1 | در پنجره Model  Builder ، روی Attitude  Angle کلیک کنید . | 
| 2 | در پنجره Settings for 1D  Plot  Group ، قسمت Plot  Settings را پیدا کنید . | 
| 3 | کادر بررسی برچسب محور y  را انتخاب کنید . در فیلد متن مرتبط، زاویه نگرش (درجه) را تایپ کنید . | 
| 4 | قسمت عنوان را پیدا کنید . از لیست نوع عنوان  ، هیچکدام را انتخاب کنید . | 
نمودار خروج از مرکز را کپی کنید و دستورالعمل های زیر را دنبال کنید تا منحنی های حداکثر فشار و حداقل ضخامت فیلم را ترسیم کنید، همانطور که در شکل 3 نشان داده شده است .
فشار و ضخامت فیلم
| 1 | در پنجره Model  Builder ، بر روی Eccentricity کلیک راست کرده و Duplicate را انتخاب کنید . | 
| 2 | در پنجره تنظیمات برای گروه طرح 1 بعدی  ، فشار و ضخامت فیلم را در قسمت نوشتار برچسب تایپ کنید. | 
جهانی 1
| 1 | در پنجره Model  Builder ، گره Pressure  and  Film  Thickness را گسترش دهید ، سپس روی Global  1 کلیک کنید . | 
| 2 | در پنجره تنظیمات برای جهانی ، روی Replace  Expression در گوشه سمت راست بالای بخش y-Axis  Data کلیک کنید . از منو، Component  1  (comp1)>Hydrodynamic  Bearing>Pressure>hdb.hjb1.p_max  –  حداکثر  فشار بلبرینگ  – Pa را انتخاب کنید . | 
جهانی 2
| 1 | روی Results>Pressure  and  Film  Thickness>Global  1 کلیک راست کرده و Duplicate را انتخاب کنید . | 
| 2 | در پنجره تنظیمات برای جهانی ، روی Replace  Expression در گوشه سمت راست بالای بخش y-Axis  Data کلیک کنید . از منو، Component  1  (comp1)>Hydrodynamic  Bearing>Journal  and  bearing  properties>Film  thickness  and  clearance>hdb.hjb1.h_min  –  حداقل  ضخامت فیلم  – m را انتخاب کنید . | 
فشار و ضخامت فیلم
| 1 | در پنجره Model  Builder ، روی Pressure  and  Film  Thickness کلیک کنید . | 
| 2 | در پنجره Settings for 1D  Plot  Group ، قسمت Plot  Settings را پیدا کنید . | 
| 3 | چک باکس Two  y-axes را انتخاب کنید . | 
| 4 | در جدول، کادر Plot  on  secondary  y-axis را برای Global  2 انتخاب کنید . | 
| 5 |  روی دکمه Show  Legends در نوار ابزار Graphics کلیک کنید . | 
| 6 | در نوار ابزار فشار و ضخامت فیلم ، روی   Plot کلیک کنید . | 
شکل 4 سفتی بدون بعد محاسبه شده را با همتای تحلیلی آن مقایسه می کند. دستورالعمل های زیر را برای ایجاد این نمودار دنبال کنید.
سختی بلبرینگ
| 1 | در نوار ابزار صفحه اصلی ، روی   Add  Plot  Group کلیک کنید و 1D  Plot  Group را انتخاب کنید . | 
| 2 | در پنجره تنظیمات برای گروه طرح 1 بعدی  ، سختی یاتاقان را در قسمت نوشتار برچسب تایپ کنید . | 
جهانی 1
| 1 | روی Bearing  Stiffness کلیک راست کرده و Global را انتخاب کنید . | 
| 2 | در پنجره تنظیمات برای جهانی ، روی Replace  Expression در گوشه سمت راست بالای بخش y-Axis  Data کلیک کنید . از منو، Component  1  (comp1)>Hydrodynamic  Bearing>Dynamic  Coefficients>hdb.hjb1.k22  – سفتی  بلبرینگ  ،  y-component محلی  – N/m را انتخاب کنید . | 
| 3 | روی Add  Expression در گوشه سمت راست بالای بخش y-Axis  Data کلیک کنید . از منو، Component  1  (comp1)>Hydrodynamic  Bearing>Dynamic  Coefficients>hdb.hjb1.k23  – سفتی  بلبرینگ  ،  محلی  yz-component  –  N/m را انتخاب کنید . | 
| 4 | روی Add  Expression در گوشه سمت راست بالای بخش y-Axis  Data کلیک کنید . از منو، Component  1  (comp1)>Hydrodynamic  Bearing>Dynamic  Coefficients>hdb.hjb1.k32  –  سفتی بلبرینگ ،  محلی zy-component – N/m را انتخاب کنید . | 
| 5 | روی Add  Expression در گوشه سمت راست بالای بخش y-Axis  Data کلیک کنید . از منو، Component  1  (comp1)>Hydrodynamic  Bearing>Dynamic  Coefficients>hdb.hjb1.k33  – سفتی  یاتاقان  ، مؤلفه  محلی  zz  –  N/m را انتخاب کنید . | 
| 6 | قسمت y-Axis  Data را پیدا کنید . در جدول تنظیمات زیر را وارد کنید: | 
| اصطلاح | واحد | شرح | 
| hdb.hjb1.k22/k0 | 1 | k<sub>22</sub>، COMSOL | 
| hdb.hjb1.k23/k0 | 1 | k<sub>23</sub>، COMSOL | 
| hdb.hjb1.k32/k0 | 1 | k<sub>32</sub>، COMSOL | 
| hdb.hjb1.k33/k0 | 1 | k<sub>33</sub>، COMSOL | 
| 7 | قسمت Coloring  and  Style را پیدا کنید . از لیست Width ، 3 را انتخاب کنید . | 
جهانی 2
| 1 | در پنجره Model  Builder ، روی Bearing  Stiffness کلیک راست کرده و Global را انتخاب کنید . | 
| 2 | در پنجره تنظیمات برای جهانی ، بخش y-Axis  Data را پیدا کنید . | 
| 3 | در جدول تنظیمات زیر را وارد کنید: | 
| اصطلاح | واحد | شرح | 
| k22 | 1 | k<sub>22</sub>، تحلیلی | 
| k23 | 1 | k<sub>23</sub>، تحلیلی | 
| k32 | 1 | k<sub>32</sub>، تحلیلی | 
| k33 | 1 | k<sub>33</sub>، تحلیلی | 
| 4 | قسمت Coloring  and  Style را پیدا کنید . زیربخش Line  style را پیدا کنید . از لیست Line ، هیچکدام را انتخاب کنید . | 
| 5 | زیربخش نشانگرهای خط  را پیدا کنید . از لیست نشانگر ، چرخه را انتخاب کنید . | 
| 6 | از لیست موقعیت یابی ، Interpolated را انتخاب کنید . | 
| 7 | در قسمت متن شماره ، 50 را تایپ کنید . | 
سختی بلبرینگ
| 1 | در پنجره Model  Builder ، روی Bearing  Stiffness کلیک کنید . | 
| 2 | در پنجره Settings for 1D  Plot  Group ، قسمت Plot  Settings را پیدا کنید . | 
| 3 | کادر بررسی برچسب محور y  را انتخاب کنید . در فیلد نوشتاری مرتبط، Dimensionless Stiffness را تایپ کنید . | 
| 4 | قسمت عنوان را پیدا کنید . از لیست نوع عنوان  ، هیچکدام را انتخاب کنید . | 
| 5 | قسمت Legend را پیدا کنید . از لیست موقعیت ، پایین  سمت راست را انتخاب کنید . | 
شکل 5 میرایی بدون بعد محاسبه شده را با همتای تحلیلی آن مقایسه می کند. دستورالعمل های زیر را برای ایجاد این نمودار دنبال کنید.
ضریب میرایی بلبرینگ
| 1 | در نوار ابزار صفحه اصلی ، روی   Add  Plot  Group کلیک کنید و 1D  Plot  Group را انتخاب کنید . | 
| 2 | در پنجره تنظیمات برای گروه طرح 1 بعدی  ، ضریب میرایی باربری را در قسمت نوشتار برچسب تایپ کنید . | 
جهانی 1
| 1 | روی Bearing  Damping  Coefficient کلیک راست کرده و Global را انتخاب کنید . | 
| 2 | در پنجره تنظیمات برای جهانی ، روی Replace  Expression در گوشه سمت راست بالای بخش y-Axis  Data کلیک کنید . از منو، Component  1  (comp1)>Hydrodynamic  Bearing>Dynamic  Coefficients>hdb.hjb1.c22  –  Bearing  Damping  Coefficient،  Local  yy-component  –  N·s/m را انتخاب کنید . | 
| 3 | قسمت y-Axis  Data را پیدا کنید . در جدول تنظیمات زیر را وارد کنید: | 
| اصطلاح | واحد | شرح | 
| hdb.hjb1.c22/c0 | 1 | c<sub>22</sub>، COMSOL | 
| hdb. hjb1. c23/c0 | 1 | c<sub>23</sub>، COMSOL | 
| hdb.hjb1.c32/c0 | 1 | c<sub>32</sub>، COMSOL | 
| hdb. hjb1. c33/c0 | 1 | c<sub>33</sub>، COMSOL | 
| 4 | قسمت Coloring  and  Style را پیدا کنید . از لیست Width ، 3 را انتخاب کنید . | 
جهانی 2
| 1 | در پنجره Model  Builder ، روی Bearing  Damping  Coefficient کلیک راست کرده و Global را انتخاب کنید . | 
| 2 | در پنجره تنظیمات برای جهانی ، بخش y-Axis  Data را پیدا کنید . | 
| 3 | در جدول تنظیمات زیر را وارد کنید: | 
| اصطلاح | واحد | شرح | 
| c22 | 1 | c<sub>22</sub>، تحلیلی | 
| c23 | 1 | c<sub>23</sub>، تحلیلی | 
| c32 | 1 | c<sub>32</sub>، تحلیلی | 
| c33 | 1 | c<sub>33</sub>، تحلیلی | 
| 4 | قسمت Coloring  and  Style را پیدا کنید . زیربخش Line  style را پیدا کنید . از لیست Line ، هیچکدام را انتخاب کنید . | 
| 5 | زیربخش نشانگرهای خط  را پیدا کنید . از لیست نشانگر ، چرخه را انتخاب کنید . | 
| 6 | از لیست موقعیت یابی ، Interpolated را انتخاب کنید . | 
| 7 | در قسمت متن شماره ، 50 را تایپ کنید . | 
| 8 | در نوار ابزار Bearing Damping Coefficient ، روی   Plot کلیک کنید . | 
ضریب میرایی بلبرینگ
| 1 | در پنجره Model  Builder ، روی Bearing  Damping  Coefficient کلیک کنید . | 
| 2 | در پنجره Settings for 1D  Plot  Group ، قسمت Title را پیدا کنید . | 
| 3 | از لیست نوع عنوان  ، هیچکدام را انتخاب کنید . | 
| 4 | قسمت Plot  Settings را پیدا کنید . | 
| 5 | کادر بررسی برچسب محور y  را انتخاب کنید . در فیلد متن مرتبط، Dimensionless Damping را تایپ کنید . | 
 
